Background:
Consolidation therapy with allogeneic hematopoietic stem cell transplant (HSCT) is recommended to prevent relapse and improve survival in patients with intermediate and poor risk acute myeloid leukemia (AML) and myelodysplastic syndrome (MDS). Due to toxicity, older patients with comorbidities were historically not candidates for HSCT. The development of reduced-intensity conditioning (RIC) regimens has allowed more patients to proceed to HSCT by reducing toxicities associated with myeloablative conditioning (MAC).The cornerstone of reducing conditioning regimen intensity is modification of busulfan exposure, expressed as an area under the curve (AUC). This can be achieved by the use of patient-specific pharmacokinetic targets. Previous studies (including BMT CTN 0901) have demonstrated RIC regimens were associated with less toxicity at the cost of potentially decreased survival relative to weight-based MAC regimens. At OSU, we have utilized an AUC target of 4,000 μmol-min/L per day x 4 days in a subset of patients to balance reduced toxicity with risk of relapse. Here we compare outcomes of AUC 4,000 to weight-based RIC Flu/Bu2.
Methods:
To compare the two regimens, a retrospective, IRB-approved cohort study was conducted. The inclusion criteria were as follows: age 18-89 years, HSCT for a diagnosis of AML or MDS, and fludarabine + busulfan conditioning regimen ± antithymocyte globulin. In the AUC 4,000 group, the target busulfan exposure was 16,000 μmol-min/L divided over 4 daily doses. In the RIC group, patents received busulfan 0.8 mg/kg/dose for 8 doses (Flu/Bu2). The primary outcome was relapse free survival (RFS). Secondary outcomes included overall survival (OS); time to neutrophil recovery; time to platelet recovery; incidence of acute and chronic graft vs host disease (GVHD); sinusoidal obstructive syndrome; febrile neutropenia; graft failure; and grade 3-5 mucositis, acute kidney injury, or hepatic dysfunction. The log-rank test was used to compare RFS and OS, and Cox proportional hazard regression model was used to estimate the hazard ratio. Gray's test was used for competing risks analysis of relapse, acute GVHD, and chronic GVHD. Fine and Gray regression models were used to estimate the hazard ratio.
Results:
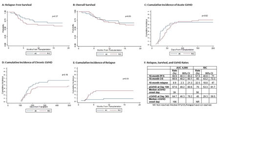
Seventy-four patients who received conditioning from 2015-2018 with either AUC 4,000 or RIC were identified. Disease type was similar between groups with 61.8% AML in the AUC 4,000 group and 52.5% in the RIC group. There were no significant differences in disease risk status. In the AUC 4,000 group, 17.6% had either AML with myelodysplastic changes or therapy-related AML/MDS, compared to 17.5% in the RIC group. The percent of patients with HCT-Comorbidity Index score of ≥ 3 was 52.9% for AUC 4,000 and 77.5% for RIC. At 18 months, RFS was not significantly different, at 66.9% with AUC 4,000 compared to 57.5% with RIC (p=0.37) (A). Eighteen-month overall survival was also not significantly different with 66.9% alive in the AUC 4,000 group and 60% in the RIC group (p=0.63) (B). Cumulative incidence of acute and chronic GVHD were not significantly different (p=0.82, p=0.18, respectively) (C,D). There was, however, a statistically significant difference in the cumulative incidence of relapse over 18 months in favor of the AUC 4,000 regimen (hazard ratio 4.08, 95% confidence interval 1.15-14.5) (E). Grade 2-4 mucositis was more common in the AUC 4,000 group (85.3% vs 30%, p<0.01), but there were no significant differences in transaminitis, kidney injury, neutropenic fever, sinusoidal obstructive syndrome, or graft failure.
Discussion:
Though no significant difference existed in disease risk between the groups, choice of regimen was driven by physician judgement, perceived fitness, and ability to tolerate potential adverse effects. Thus, the results of this study indicate that with patient selection, there is no significant RFS or OS difference, or risk of acute or chronic GVHD between targeted AUC 4,000 and RIC. However, AUC 4,000 was associated with a significantly lower cumulative incidence of relapse. Adverse effects other than mucositis were not significantly different between groups. In order to definitively compare these two conditioning regimens, a prospective study is needed.
Brammer:Verastem, Inc: Research Funding; Viracta Therapeutics, Inc.: Research Funding; Bioniz Therapeutics, Inc.: Research Funding. Jaglowski:Kite: Consultancy, Other: advisory board, Research Funding; Juno: Consultancy, Other: advisory board; Unum Therapeutics Inc.: Research Funding; Novartis: Consultancy, Other: advisory board, Research Funding. Mims:Jazz Pharmaceuticals: Membership on an entity's Board of Directors or advisory committees; Astellas Pharmaceuticals: Membership on an entity's Board of Directors or advisory committees; PTC Therapeutics: Membership on an entity's Board of Directors or advisory committees; Agios Pharmaceuticals: Membership on an entity's Board of Directors or advisory committees; Abbvie: Membership on an entity's Board of Directors or advisory committees. Vasu:Boehringer Ingelheim: Other: Travel support; Seattle Genetics: Other: Clinical trial support. William:Guidepoint Global: Consultancy; Techspert: Consultancy; Celgene Corporation: Consultancy; Kyowa Kirin, Inc.: Consultancy; Defined Health: Consultancy. Saad:Actinium Pharma Inc: Consultancy; Amgen: Other: Research Support; Kadmon: Other: Research Support; OrcaBio: Other: Research Support.
Author notes
Asterisk with author names denotes non-ASH members.
