Background
Angioimmunoblastic T-cell lymphoma (AITL) is a rare and aggressive malignancy, representing approximately 18.5% of Peripheral T-cell lymphomas. The clinical presentation varies greatly, and literature describing this disease is limited. In this study we utilized the National Cancer Database (NCDB) to describe the patient characteristics, demographics, and overall survival of AITL.
Methods
The NCDB for non-Hodgkin's lymphoma was used to identify 3,708 patients diagnosed with AITL between 2004 and 2016. We examined demographic information including age, race, gender, stage, and treatment modality. Kaplan-Meier analysis was used to analyze overall survival and compare survival by patient age, stage, and year of diagnosis. Bivariate and multivariate analysis was used to obtain hazard ratios and assess the association of patient characteristics and treatment methods with survival.
Results
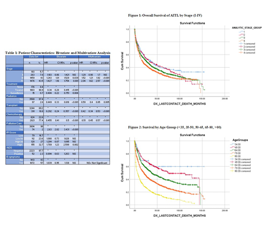
The majority of AITL patients were white 87.8%, males 53%, with an average age of 67 years. 90% of patients received treatment, with 77.4% receiving chemotherapy, 10.8% receiving hematopoietic transplant, and 2.6% receiving radiation. B symptoms were present in 57% of patients. 43% were diagnosed with Stage III disease and 43.5% at Stage IV.
Median survival was 22 months (CI 19.7-24.4), with a five- and ten-year survival of 30% and 22%. Median survival for patients aged 35-50 was 74 months, 50-65 was 37.7 months, 65-80 was 20.5 months, and for patients aged >80 years old median survival was 6.4 months. Patients with Stage I disease survived 35.1 months whereas those with Stage IV disease survived 17.2 months. On multivariate analysis black race, increasing age, charleson-deyo comorbidity score, and stage at diagnoses were significantly associated with increased mortality risk. All forms of treatment, including chemotherapy, hematopoietic transplant, and radiation were all associated with improved survival.
Discussion
Our study found that the majority of AITL patients present with late stage disease, often with B symptoms, and have poor prognosis. We found a five-year survival of 30% for this malignancy when all stages of disease were combined. Knowledge of the patient characteristics, treatment modalities, and overall survival in AITL can serve to enhance the care of providers who encounter this uncommon diagnosis.
No relevant conflicts of interest to declare.
Author notes
Asterisk with author names denotes non-ASH members.
