Abstract
INTRODUCTION: High-risk cytogenetic abnormalities, such as del(17p), t(4;14), and/or t(14;16), are associated to an unfavorable prognosis. Several trials investigating current approved regimens have shown that high-risk multiple myeloma (MM) patients have shorter progression-free survival (PFS) and overall survival (OS) as compared to standard-risk patients. Carfilzomib, a second generation proteasome inhibitor, demonstrated to be able to improve the survival of high-risk MM patients in the relapse setting. Here we present a pooled analysis of two phase 1/2 studies to investigate the role of carfilzomib in high-risk, newly diagnosed (ND) MM patients.
METHODS: Transplant ineligible patients with NDMM enrolled in the IST-CAR 561 and IST-CAR 506 studies were pooled together and analyzed. All patients received 9 28-day induction cycles of carfilzomib, either 70 mg/m2 once weekly (IST-CAR 561) or 36 mg/m2 twice weekly (IST-CAR 506), combined with weekly cyclophosphamide (300 mg/m2) and dexamethasone (40 mg) (CCyd). After the induction phase, patients proceeded to maintenance with single-agent carfilzomib until progressive disease or intolerable toxicity. The primary objective was to compare response to treatment, PFS, PFS-2 and OS in standard versus high-risk FISH, defined by the presence of del(17p), t(4;14), and/or t(14;16). A 15% cut-off point was used for detection of translocation [t(4;14) and t(14;16)] and 10% for detection of del(17p).
RESULTS: 121 NDMM patients were enrolled in the IST-CAR 561 (n=63) and in the IST-CAR 506 (n=58) study. Cytogenetic data were available in 94 patients: 37 (31%) had high-risk chromosomal abnormalities by FISH, including 10% of patients with t(4;14), 3% with t(14;16) and 18% with del(17p), while 57 patients (47%) were classified as standard-risk.
After the induction phase, no difference in terms of overall response rate (ORR; 86% vs. 92%; p=0.52) and at least near complete response (39% vs. 41%; p=1) was observed between standard and high-risk patients.
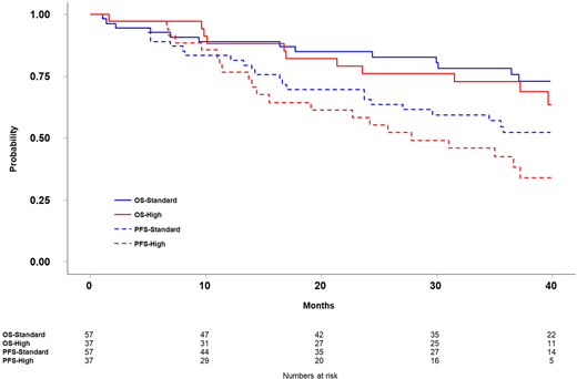
After a median follow-up of 39 months, median PFS from enrollment was NR in standard-risk patients and 27.8 months in high-risk ones (HR: 0.76; p=0.38) (Figure 1); at 3 years, 52% and 43% of patients, respectively, were alive and free from progression. The PFS benefit for the comparison between standard and high-risk patients was more pronounced in patients who received once weekly carfilzomib at 70 mg/m2, (median: NR vs. 39.6 months; HR: 0.78, p=0.63) as compared to those treated with twice weekly carfilzomib at 36 mg/m2 (median: NR vs. 24.2 months; HR: 0.52, p=0.12).
Median PFS-2 from enrollment was NR in standard-risk patients and 44.1 months in high-risk ones (HR: 0.66; p=0.26), without significant differences in the once weekly (median, NR vs. 39.6; p=0.27) and the twice weekly group (median; NR vs. 44.1; p=0.63).
Median OS from enrollment was NR in standard-risk patients and 47.5 months in high-risk ones (HR:0.71; p=0.36) (Figure 1). In patients who received once weekly carfilzomib, median OS was NR and 47.5 months (HR:0.66, p=0.48) in standard and high-risk patients, respectively, while median OS in the twice weekly group was NR in standard-risk patients and 44.1 months (HR:0.73; p=0.55) in high-risk ones.
CONCLUSION: In transplant ineligible patients with NDMM, carfilzomib combined with cyclophosphamide and dexamethasone as initial treatment mitigated the poor prognosis of high-risk FISH in terms of PFS, PFS-2 and OS. The median PFS of high-risk patients treated with CCyd compares favorably with those reported with current standard of care. As compared to twice weekly carfilzomib at 36 mg/m2, once weekly carfilzomib, at the dose of 70 mg/m2, confirmed to be effective in high-risk patients. These data support the use of carfilzomib for the treatment of high-risk NDMM patients.
Larocca:Janssen-Cilag: Honoraria; Celgene: Honoraria; Bristol-Myers Squibb: Honoraria; Amgen: Honoraria. Petrucci:Amgen: Honoraria, Other: Advisory Board; Takeda: Honoraria, Other: Advisory Board; Bristol-Myers Squibb: Honoraria, Other: Advisory Board; Janssen-Cilag: Honoraria, Other: Advisory Board; Celgene: Honoraria, Other: Advisory Board. Gaidano:AbbVie: Other: Advisory Board; Janssen: Other: Advisory Board, Speakers Bureau. Musto:Amgen: Honoraria; BMS: Honoraria; Takeda: Honoraria; Janssen: Honoraria; Celgene: Honoraria. Offidani:Janssen: Honoraria, Other: Advisory Board; Takeda: Honoraria, Other: Advisory Board; Amgen: Honoraria, Other: Advisory Board; Bristol-Myers Squibb: Honoraria, Other: Advisory Board; Celgene: Honoraria, Other: Advisory Board. Cavo:Takeda: Honoraria, Membership on an entity's Board of Directors or advisory committees; GlaxoSmithKline: Honoraria, Membership on an entity's Board of Directors or advisory committees; AbbVie: Honoraria, Membership on an entity's Board of Directors or advisory committees; Adaptive Biotechnologies: Honoraria, Membership on an entity's Board of Directors or advisory committees; Bristol-Myers Squibb: Honoraria, Membership on an entity's Board of Directors or advisory committees; Janssen: Honoraria, Membership on an entity's Board of Directors or advisory committees, Research Funding, Speakers Bureau; Celgene: Honoraria, Membership on an entity's Board of Directors or advisory committees, Research Funding, Speakers Bureau; Amgen: Honoraria, Membership on an entity's Board of Directors or advisory committees. Caravita di Toritto:Bristol-Myers Squibb: Honoraria, Other: Travel and Accomodation EMN; Amgen: Other: Advisory Board; Johnson & Johnson: Other: Advisory Board, Travel and Accomodation EHA; Celgene: Other: Advisory Board, Travel and Accomodation ASH, Research Funding; Takeda: Other: Advisory Board. Montefusco:Janssen: Other: Advisory Board; Amgen: Other: Advisory Board; Celgene: Other: Advisory Board. Palumbo:Takeda: Employment. Boccadoro:Bristol-Myers Squibb: Honoraria, Research Funding; AbbVie: Honoraria; Novartis: Honoraria, Research Funding; Janssen: Honoraria, Research Funding; Amgen: Honoraria, Research Funding; Celgene: Honoraria, Research Funding; Sanofi: Honoraria, Research Funding; Mundipharma: Research Funding. Bringhen:Celgene: Honoraria; Amgen: Honoraria, Other: Advisory Board; Janssen: Honoraria, Other: Advisory Board; Takeda: Consultancy; Bristol-Myers Squibb: Honoraria.
Author notes
Asterisk with author names denotes non-ASH members.
