Abstract
Background: Therapeutic options for patients with Multiple myeloma (MM) whose disease has relapsed after a prior autologous stem cell transplant (SCT) include an expanding armamentarium of novel agents, often combined with traditional chemotherapy, or a second SCT, with no clear standard of care. Upfront tandem transplantation has been shown to improve both progression free survival and overall survival. But currently, there is little data regarding the application of tandem SCT in relapsed multiple myeloma patients.
Methods: We retrospectively analyzed the outcomes of patients who underwent salvage melphalan-based tandem SCT for relapsed MM at University of Iowa Hospitals and clinics. Progression free survival (PFS) was defined as the time from date of the first salvage SCT to disease progression or death, whereas overall survival (OS) was defined from the date of the first salvage SCT to the date of death from any cause.
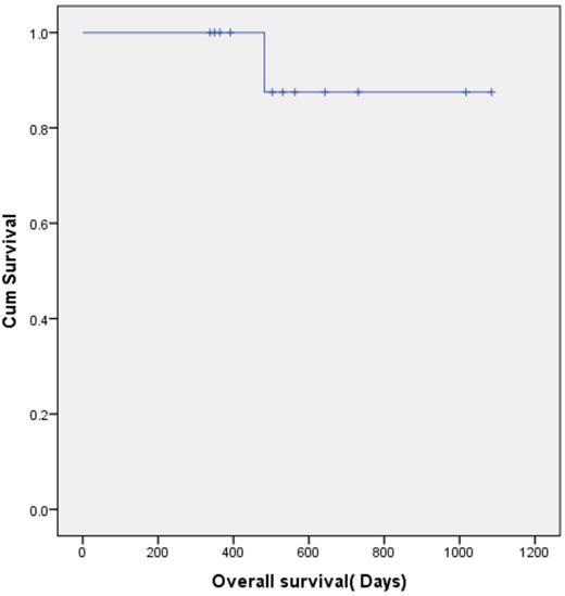
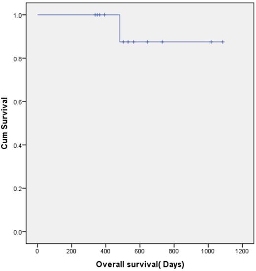
Results: Between 2012 and 2015, 12 patients with MM received tandem autograft (total 24 transplants) for relapsed disease at our center. Conditioning was with VDT-melphalan 200mg/m2 (21/24), VDT-MEL 140mg/m2 (2/24) and Velcade, gemcitabine, BCNU, melphalan and dexamethasone (1/24). The median age at the salvage SCT was 48 years (range 37-58); 7 patients were female. 17% had high risk cytogenetics (including t(4;14), +1q, p53 loss) at the time of salvage SCT. Median time between previous transplant and progression of disease was 34 months (range 8-108). Of the 7 patients, who received re-induction therapy, 71% had chemotherapy refractory disease prior to salvage SCT. Response was assessed at 2-3 months post-SCT. Overall response rate was 92%. 7/12 (58%) patients achieved stringent complete remission, one patient achieved CR, one patient achieved near CR, 2/12 patients achieved VGPR and 1/12 had stable disease (SD). Following salvage tandem SCT, all patients received consolidation therapy with three drug combination, intended to be given for two years. Three patients have shown progressive disease at the time of analysis. The median PFS was 390 days (range 265- 1085) (Table-1); the median OS was 517 days (range 338-1085) (Table-2). Rate of progression free survival in the 10 evaluable patients at one year was 80%. There was no transplant related mortality. One patient died of progressive disease.
Conclusions: Salvage tandem SCT is an effective strategy for relapsed MM and is especially effective in patients who had received less intensive therapy initially (single transplant and no maintenance therapy). Incorporation of novel agents (monoclonal antibodies and high doses of carfilzomib) into maintenance strategies may further improve outcomes.
Progression free survival for all the patients
Overall survival for all the patients
Farooq:Kite Pharma: Research Funding.
Author notes
Asterisk with author names denotes non-ASH members.

