Abstract
Background: The prognostic value of COO classification by immunohistochemistry (IHC) for de novo untreated advanced DLBCL remains controversial after Rituximab-based frontline therapy. Other biomarkers such as BCL2 or MYC protein expression have been proposed to predict survival. IHC characteristics were investigated in a large multicenter randomized study.
Methods: Three hundred twenty-three patients (pts) younger than 60 years with de novo untreated advanced DLBCL were randomized in the french prospective multicenter trial GOELAMS-075 to receive either 8 courses of RCHOP14 (n=161) or 2 courses of RCEEP (Rituximab, Cyclophosphamide, Eldisine, Epirubicine, Prednisone) and 1 course of Rituximab-Methotrexate-Cytarabine (RMC) followed by intensive BEAM conditionning with autologous transplant (ASCT) (n=162) upon negative interim PET-CT (visual analysis). In case of positivity, salvage regimen followed by ASCT was applied. Three years Event-free-survival (3y-EFS) was the primary endpoint. Event was defined by interim PET-CT positivity, progression or relapse, or death from any cause. Central pathology review confirmed de novo DLBCL diagnosis for 300 pts (93%). COO determination using Hans algorithm, BCL2 protein expression (clone 124, Dako) and MYC protein expression (clone Y69, Abcam) were recorded. Cut-off values were 70% for BCL2, and 40% for MYC.
Results: COO analysis could be performed for 125/161 pts in RCHOP arm and 134/162 pts in intensive regimen arm including 36 and 34 Primary-Mediastinal-B-Cell subtype (PMBL) respectively. Repartition of non-PMBL was: 33/89 (37%) Germinal-Center subtype (GC), 56/89 (63%) Non-Germinal-Center subtype (NGC) in R-CHOP arm; 48/100 (48%) GC, 52/100 (52%) NGC in intensive regimen arm. Of 70 PMBL there were 50 NGC, 4 GC and 16 NE equally distributed in both arms. Clinical characteristics were similar in both GC and NGC subtypes, whereas PMBL presented with more frequent bulky disease and predominantly female gender. BCL2 ≥70% and MYC ≥40% were found in 147/285 (55%) and 85/185 (46%) of available samples, without difference between two arms. No correlation was found between BCL2 or MYC protein expression and GC or NGC subtype, however there were seen in a significantly lower proportion of PMBL (34% and 17% respectively). Coexpression of BCL2≥70% and MYC≥40% (MYC+/BCL2+) occurred in 52/184 (28%) cases, without difference between two arms or COO subtypes. By contrast, PMBL subtype displayed an extremely low rate of MYC+/BCL2+ cases (1/49, 2%).
3y-EFS rates were 52% ± 6% for GC, 58% ± 5% for NGC and 49% ± 6% for PMBL (p= 0,42) with no significant difference according to treatment arm. Of note, in PMBL, the majority of events was positive interim PET-CT. Worse EFS was seen in BCL2≥70% cases (3y-EFS: 47% ± 4% vs 60% ± 4%, p= 0,05) but this difference was erased in RCHOP arm (3y-EFS: 52% ± 6% vs 58% ± 6%).
3y-Progression Free Survival (PFS) rates were 73% ± 6% for GC, 76% ± 6% for NGC and 94% ± 4% for PMBL (p=0,03) with no difference between the two arms (Fig 1). There was no PFS difference in BCL2≥70% vs <70% cases (3y-PFS: 71% ± 4% vs 82% ± 4%, p= 0,11). EFS and PFS rates were similar between MYC≥40% and <40% cases (3y-EFS: 56% vs 59%; 3y-PFS: 78% vs 84%) without further advantage of one arm compared to another. Same results were obtained for MYC+/BCL2+ vs non MYC+/BCL2+ cases (3y-EFS: 53% vs 58%; 3y-PFS: 78% vs 81%).
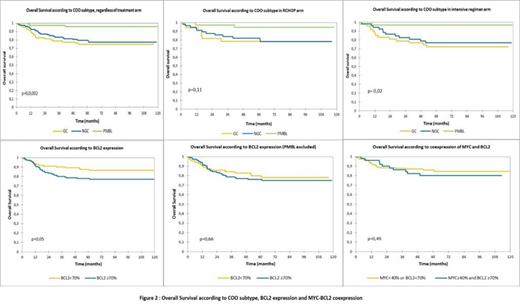
After a median follow-up of 71 months, PMBL was associated with significant better overall survival (OS) whereas no difference was observed between GC and NGC subtypes (5y-OS : 96% vs 75% and 78% respectively, p= 0,002) (Fig 2). OS rates were similar for BCL2 positive and BCL2 negative cases after exclusion of PMBL (5y-OS: 75% vs 78%, p=0,65). There was no significant impact of IHC MYC positivity (5y-OS : 80% vs 86% for MYC negative cases, p=0,29) or MYC+/BCL2+ coexpression (5y-OS : 80% vs 85% for negative cases, p=0,50) on outcome. There was no significant impact of treatment on OS of MYC and/or BCL2 positive cases.
Conclusion: In younger patients, outcome of IHC defined GC and NGC subtype of non-PMBL DLBCL was not different following R-CHOP14 or intensive treatment including ASCT. Similarly, regardless of treatment arm, BCL2 or MYC or both overexpression did not impair significantly the prognosis. IHC defined COO or BCL2/MYC overexpression could not identify DLBCL in need of intensive therapy with ASCT. Finally the good prognosis of PMBL subtype with excellent PFS and OS was confirmed.
Cartron:Sanofi: Honoraria; Celgene: Honoraria; Gilead: Honoraria; Roche: Consultancy, Honoraria; GSK: Honoraria.
Author notes
Asterisk with author names denotes non-ASH members.

