In this issue of Blood, Wang et al suggest an algorithm for the selection of the best donor in HLA haplotype-mismatched transplantation of T-replete granulocyte colony-stimulating factor (G-CSF)-mobilized bone marrow and peripheral blood stem cells.1
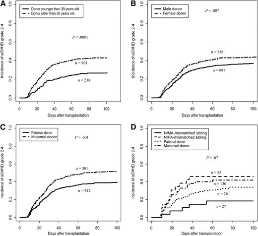
Influence of (A) donor age, (B) donor gender, (C) family relationship, and (D) NIMA or NIPA disparity on the cumulative incidence of acute GVHD grades 2 to 4. See Figures 1 to 3 in the article by Wang et al that begins on page 843.
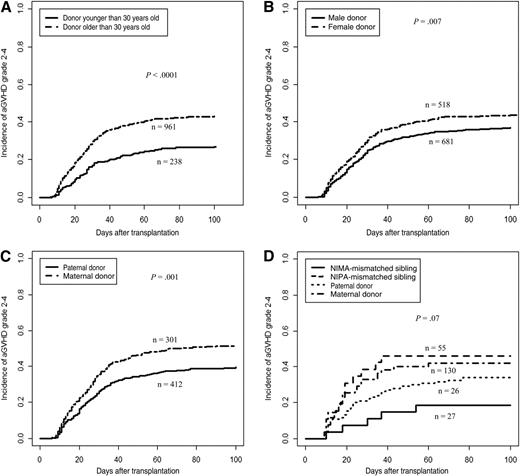
Influence of (A) donor age, (B) donor gender, (C) family relationship, and (D) NIMA or NIPA disparity on the cumulative incidence of acute GVHD grades 2 to 4. See Figures 1 to 3 in the article by Wang et al that begins on page 843.
Donor selection in HLA haplotype-mismatched stem cells transplantation might have a significant impact on the development of acute and chronic graft-versus-host disease (GVHD), transplant-related mortality (TRM), incidence of relapse, and overall survival. In contrast to transplantation from allogeneic unrelated donors, where the major focus is on identifying the best HLA-matched donor to achieve optimal outcomes, other factors might be of more importance in HLA-mismatched transplants from haploidentical donors. These factors might depend on the way haploidentical transplantation is performed, ie, with or without in vitro T-cell depletion. In in vitro T cell-depleted transplantation using mobilized peripheral stem cell (PBSC) grafts, especially the killer immunoglobuline-like receptor (KIR) system seems to play an important role in defining alloreactivity of donor-derived natural killer (NK) cells against recipients' leukemic blasts. By using different models to determine NK alloreactivity, a significant impact, especially on the incidence of relapse in patients with leukemia, has been observed.2-4 In T cell-replete haploidentical transplantation, the effect of alloreactive NK cells might be overridden by alloreactive T cells, requiring intensive pharmacologic GVHD prophylaxis,5 although an important role of the donor KIR repertoire was reported in patients after T cell-replete haploidentical transplantation using posttransplant cyclophosphamide.6 Less data exist concerning the influence of age, gender, and degree of relationship of the donor in HLA haplotype mismatch transplantation. It has thus far only been reported that mother donors confer a lower risk of relapse and better survival in T cell-depleted transplants.7
Wang et al report on the outcome of 1210 consecutive patients with hematological malignancies who received an HLA haplotype mismatch transplant using a uniform protocol in a single center.1 Their transplantation approach is the use of G-CSF-mobilized T cell-replete bone marrow and PBSCs as introduced by the Beijing transplant group of Huang.8 Each patient received a graft from a family member sharing 1 HLA haplotype with the recipient, but they differed to a variable degree for the unshared haplotype. Based on their large patient number, they could identify donor characteristics that significantly impact the outcome of haploidentical transplantation with respect to the development of GVHD and the incidence of TRM and survival. First, they found that the degree of HLA matching or mismatching had no influence on TRM, acute or chronic GVHD, or survival. Younger donors (<30 years) were associated with a lower incidence of acute GVHD than older donors (>30 years), and younger male donors were associated with less TRM and better survival than older or female donors.
The degree of the donors' family relationship also had a significant impact on the outcome. Mother donors induced a higher risk of acute GVHD independent of the gender of the recipient and were associated with a higher rate of TRM and lower survival when the patient was a male recipient compared with a female recipient. The mothers' ages had no impact in this subgroup analysis, and father donors were better than mother donors especially for male recipients. In the child vs sibling donor analysis, offspring donors conferred a lower risk of acute GVHD compared with sibling donors, but donor age had a greater impact on TRM and survival than the offspring or sibling family relationship. The analysis of other subsets showed a lower risk of acute GVHD for sibling donors <30 years of age compared with older siblings (>30 years) or father donors, whereas the outcome was not different from brother donors >30 years of age compared with father donors. Older sisters (>30 years) conferred a higher TRM and lower survival, especially for male recipients. Another factor with respect to the development of acute GVHD was the noninherited maternal antigen (NIMA) and noninherited paternal antigen (NIPA) disparity, and transplantation from NIMA-mismatched siblings showed a lower incidence of acute GVHD compared with NIPA-mismatched sibling donors or paternal and maternal donors, although the NIMA or NIPA mismatch had no influence on TRM, chronic GVHD, relapse, or survival.
Based on their analysis, Wang et al propose an algorithm for donor selection focused to reduce the incidence of TRM and GVHD and, according to their analysis, young, male, and NIMA-mismatched donors are preferred over NIPA-mismatched donors or older mothers (see figure).
Despite the large numbers of patients and the uniform treatment protocol, some questions regarding haploidentical donor selection remain. Factors such as cytomegalovirus status, number of donor pregnancies, or KIR disparity were not analyzed, and it is unclear whether these factors play a role in this setting of T cell-replete haploidentical transplantation. There might be fundamental differences between T cell-replete and T cell-depleted transplantations, because, in contrast to this study, mothers were found to be better donors in T cell-depleted transplants.7 The influence of NIMA disparity on the occurrence of GVHD in haploidentical transplantation has already been reported in non-T cell-depleted transplantation, and NIMA-mismatched siblings conferred a lower risk of acute GVHD and TRM compared with NIPA-mismatched siblings.9
The limitation of the study by Wang et al is that the analysis might only be applied to the setting of T cell-replete haploidentical transplantation of G-CSF-mobilized bone marrow and PBSCs mainly used in China and might not be applicable to T cell-depleted transplants or T cell-replete transplants followed by high-dose posttransplant cyclophosphamide mainly used in the western world. Based on the large Chinese patient population, it can be anticipated that more than half of the HLA haplotype-mismatched transplantations performed worldwide will follow similar protocols as described in this study. Therefore, the analysis by Wang et al and their proposed algorithm for haploidentical donor selection will have a major impact on outcome for a large number of patients.
Conflict-of-interest disclosure: The author declares no competing financial interests.

