Abstract

Vaso-occlusive crisis (VOC) is the hallmark of sickle cell anemia (SCA), yet VOC treatment has not improved in decades. Recently the role of adhesive interactions between leukocytes, erythrocytes, and the vascular endothelium has been recognized in VOC. GMI 1070, a pan-selectin inhibitor, was designed to decrease the contribution of leukocyte adhesion to VOC. Herein, we report a sub-analysis of the pediatric patients enrolled in a study of GMI 1070 with the aims of determining the efficacy and toxicities in this subgroup and comparing pediatric to adult patients.
This multi-center, randomized, double-blind, placebo-controlled phase 2 trial enrolled afebrile patients ≥ 12 yrs with HbSS or HbSβ0 thalassemia presenting with VOC. Subjects had no organ dysfunction or other acute SCA complications. GMI 1070 was administered IV as a loading dose, then in up to 14 q12 h maintenance doses. Following a pre-specified interim PK analysis including 1 pediatric and 10 adult subjects, the loading and maintenance doses were doubled. Other management was at the discretion of the treating physician. Pain intensity was measured with a 10 cm visual analog scale. The primary outcome was time to resolution of VOC, defined as either a sustained 1.5 cm decrease in the pain score and cessation of IV analgesics; readiness for discharge; or hospital discharge. Secondary outcomes included time to discharge, time to transition from IV to oral analgesics, opioid usage, and safety profile. Median time-to-event was compared between arms using the Kaplan-Meier (KM) method. Analysis of covariance was used to compare the mean hourly opioid use, by hospital day.
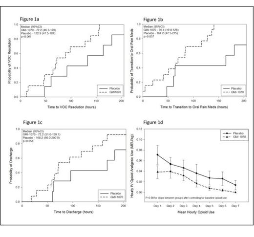
Seven sites enrolled 20 pediatric subjects: GMI 1070 - 13 vs placebo - 7. The median age was 14 years, and 40% were female. Time to 1st dose of study drug was a mean of 15 h from initial medical evaluation. Median length of stay was 105 h. The GMI 1070 arm had a 60.7 h reduction in the median time to resolution of VOC compared to placebo (Fig. 1a). Similarly, the median difference in time to transition to oral opioids and time to discharge were clinically significant between GMI 1070 and placebo at 87.8 h and 96 h, respectively (Fig. 1b & 1c). Mean hourly opioid use was lower with GMI 1070 than placebo in the first 24 h, but the trajectory thereafter did not differ (Fig. 1d). The effect of GMI 1070 on the primary and secondary outcomes was similar for pediatric and adult subjects (Table 1). Differences between pediatric and adult subjects included which opioid was used (pediatrics – 80% morphine vs adults – 80% hydromorphone). Also more pediatric subjects received IV antibiotics (Table 1), particularly in the first 24 hrs of study drug (pediatrics – 35% vs adults – 14%).
The proportion of pediatric subjects experiencing a serious adverse event (SAE) was similar between arms (GMI 1070 – 31% vs placebo – 43%). Most SAE's were VOC recurrence; 1 SAE was an episode of acute chest syndrome (ACS) in the GMI 1070 arm (0 in the placebo arm). Of 4 total ACS events (1 SAE, 3 AE), 3 occurred within 24 h of 1st study drug, 1 required red blood cell transfusion and 0 required intensive care. No severe or unusual infections occurred in either arm.
GMI 1070 is a promising agent for reducing duration of VOC in SCA. Compared to adults, pediatric subjects demonstrated similar efficacy and safety. The ACS cases in the GMI 1070 arm are noteworthy but are not definitively associated with study drug. The strong efficacy signal in adolescents, along with minimal safety concerns, warrants inclusion of younger children in a subsequent phase 3 clinical trial of GMI 1070.
McCavit:Pfizer, Inc.: Consultancy; GlycoMimetics, Inc.: Research Funding. Krishnamurti:GlycoMimetics, Inc.: Research Funding. Hsu:GlycoMimetics, Inc.: Research Funding. Quinn:Glycomimetics: Research Funding; Eli Lilly: Research Funding; MAST Therapeutics: Research Funding; American Society of Hematology: Advisory Committees, Advisory Committees Other, Honoraria. Odame:Glycomimetics: Research Funding. Alvarez:Glycomimetics: Research Funding. Driscoll:Glycomimetics: Research Funding. Smith-Whitley:GlycoMimetics, Inc: Research Funding. Rhee:Rho, Inc.: Employment; GlycoMimetics, Inc.: Research Funding. Wun:Emmaus, Inc.: Clinical Adjudication Committee Other; Pfizer, Inc.: Consultancy; GlycoMimetics: Research Funding. Telen:GlycoMimetics, Inc.: Research Funding; Dilaforette, NA: Research Funding; Pfizer, Inc.: Consultancy. Thackray:GlycoMimetics, Inc.: Employment, Equity Ownership.
Author notes
Asterisk with author names denotes non-ASH members.

This icon denotes a clinically relevant abstract
