Abstract
NOX-A12 is a novel, potent, L-stereoisomer RNA aptamer (Spiegelmer(®)) that binds and neutralizes CXCL12/SDF-1, a chemokine which attracts and activates immune- and non-immune cells via interaction with its receptors, CXCR4 and CXCR7. The signaling of CXCL12 has been shown to play an important role in the pathophysiology of chronic lymphocytic leukemia (CLL), especially in the interaction of leukemic cells with tissue microenvironment. The therapeutic concept of NOX-A12 is to mobilize these bone marrow- and tissue-resident CLL cells into the blood, thereby removing CLL cells from the nurturing milieu and sensitizing them to cytotoxic drugs such as bendamustine and rituximab (BR).
To date, 19/33 planned patients have been enrolled into a multicenter Phase IIa study of NOX-A12 alone and in combination with BR in relapsed CLL patients. Here we report interim data on PK, PD and preliminary efficacy of a pilot group consisting of 3 cohorts of 3 patients each. In the pilot phase, cohorts received single doses of 1, 2 or 4 mg/kg NOX-A12 alone, respectively, two weeks prior to 6 cycles of combined treatment of NOX-A12 with BR repeated every 28 days. During combination therapy, NOX-A12 was administered 1-2 hours prior to rituximab following a dose titration design for all patients: NOX-A12 doses were increased from 1 mg/kg to 2 mg/kg and 4mg/kg at cycles 1, 2 and 3, respectively. During cycles 4-6, doses of NOX-A12 were kept at the highest individually titrated dose. Bendamustine (70 - 100 mg/m², according to SPC) was given on day 2 and 3 (cycle 1) or 1 and 2 (cycle 2-6), combined with 375 mg/m2 rituximab on day 1 for the first cycle and 500 mg/m2 for subsequent cycles. Tumor response was assessed according to NCI-WG 1996 criteria (updated by iwCLL 2008).
In total, 10 patients were enrolled in the pilot group (one additional patient was enrolled due to one patients' under dosing). The median age was 69 years (range 57-77) with 8 women and 2 men being included. Median prior therapies were 2 (range 1-2), whereby all patients were bendamustine naïve and 6 patients had received rituximab treatment prior to enrolment. 2, 4 and 4 patients presented at screening with Binet stage A, B, and C, respectively. 8 patients showed at least 1 cytogenetic aberration at the beginning of treatment. Tumor assessments before enrolment and at end of cycles 3 and 6 were evaluated.
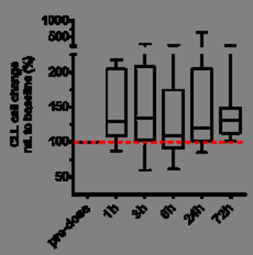
Plasma profiles of NOX-A12 in the patient population of the pilot group (Figure 1) were similar to those of healthy volunteers in which a plasma half-life of approximately 38 h was observed. After single doses of NOX-A12, the exposure was dose-linear with peak plasma concentrations of 1.7, 3.5, and 6.7 µM in the corresponding cohorts. CLL cells in the peripheral blood were found to be increased throughout the observational period of 3 days (Figure 2). In all patients presenting with lymphadenopathy, the lymph node size decreased markedly. NOX-A12 as single agent was safe and very well tolerated.
Kinetics of plasma levels in the cohorts of patients treated with different NOX-A12 doses (pilot phase) and in all patients together after combined treatment of NOX-A12 and BR (cycle 1 and 4)
Kinetics of plasma levels in the cohorts of patients treated with different NOX-A12 doses (pilot phase) and in all patients together after combined treatment of NOX-A12 and BR (cycle 1 and 4)
Mobilization kinetics of CLL cells after a single dose of NOX-A12 alone (n = 10 patients)
Mobilization kinetics of CLL cells after a single dose of NOX-A12 alone (n = 10 patients)
All patients responded to the combination treatment of NOX-A12 and BR (ORR 100%); one patient had to be withdrawn from treatment due to multiple infections during cycle 4 having achieved a partial response (PR). At the end of cycle 6, seven patients (78%) showed a PR and two patients (22%) achieved a complete remission (CR). In combination with BR, NOX-A12 was equally safe and well tolerated.
Proof of principle was achieved as single doses of NOX-A12 reached the expected plasma exposure which translated into an effective and prolonged mobilization of CLL cells into the peripheral blood. In addition, the 100% ORR and 22% CR as well as the virtual absence of additional toxicity on top of BR observed in this pilot group compares very favorably with historical controls. Provided that this promising clinical picture will be maintained in the total sample of 33 patients, further development of this novel anti-CXCL12/SDF-1 Spiegelmer(®) seems warranted.
Montillo:Janssen: Honoraria, Membership on an entity's Board of Directors or advisory committees, Research Funding; Mundipharma: Honoraria, Membership on an entity's Board of Directors or advisory committees, Research Funding; GSK: Honoraria, Membership on an entity's Board of Directors or advisory committees, Research Funding; Roche: Honoraria, Membership on an entity's Board of Directors or advisory committees, Research Funding. Dümmler:NOXXON Pharma AG: Employment. Zöllner:NOXXON Pharma AG: Employment. Zeitler:NOXXON Pharma AG: Employment. Riecke:NOXXON Pharma AG: Employment. Kruschinski:NOXXON Pharma AG: Employment.
Author notes
Asterisk with author names denotes non-ASH members.

