Abstract
Abstract
598
Several biological parameters have been described, which define patients with multiple myeloma with a high-risk of progression. Nevertheless, apart from the International Staging System (ISS), no clear, simple and reliable prognostic index has yet been identified, especially for the classification of patients with very high-risk disease. We aimed to characterize the group of patients who have a high risk of early death from progression in the context of frontline therapy using novel agents-based induction therapy and autologous stem cell transplantation.
We investigated prognostic parameters of patients enrolled in the IFM2005-01 trial, which compared bortezomib-dexamethasone versus VAD induction followed by ASCT (Harousseau et al, J Clin Oncol 2010;28:4621–4629).
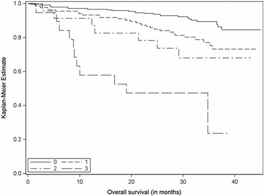
In a multivariate logistic regression analysis, the risk of death from progressive disease (and not toxicity) (42 cases out of 482 patients) within the first 2 years from the start of therapy was related to 3 independent adverse baseline characteristics: high LDH > normal value (p = 0.0014), ISS 3 (p = 0.0097) and cytogenetic abnormalities defined by the presence of either t(4;14) or 17p deletion (p = 0.0002). These 3 variables enabled the definition of a simple scoring system consisting of 4 categories (scores 0–3) that predicts for overall survival (OS). Score 0 was defined by the absence of adverse factors (neither high LDH, nor ISS 3, nor t(4;14) and/or del(17p)); in this group of patients, representing 57% of the overall population, the 4-year OS rate was 84%. A score of 1 was defined by the presence of only 1 adverse factor (either high LDH or ISS 3 or t(4;14) and/or del(17p)). The 4-year OS rate in this group of patients (32% of the overall population) was 73%. A score of 2 defined by the presence of high LDH plus ISS 3 in the absence of t(4;14) and/or del(17p), was found in 6% of the overall population. The 4-year OS rate in this group was 68%. Score 3 was defined by the presence of t(4;14) and/or del(17p) in addition to either ISS 3 or high LDH. In this group of patients, representing 5% of the overall population, the median OS was only 19 months (Figure).
We have defined a new and simple scoring system that allows the identification of a small group of patients with very high-risk disease and a shortened survival despite the use of intensive novel agents-based therapy. These preliminary findings require confirmation using data from a large number of patients enrolled in the most recent prospective clinical trials investigating triplet induction regimens prior to ASCT. The subgroup of patients with a score of 3, which is associated with a detrimental outcome, might benefit from innovative therapeutic approaches.
Moreau:janssen: Membership on an entity's Board of Directors or advisory committees; millenium: Membership on an entity's Board of Directors or advisory committees; celgene: Membership on an entity's Board of Directors or advisory committees. Attal:janssen: Membership on an entity's Board of Directors or advisory committees; celgene: Membership on an entity's Board of Directors or advisory committees. Hulin:janssen: Membership on an entity's Board of Directors or advisory committees; celgene: Honoraria, Membership on an entity's Board of Directors or advisory committees. Facon:millenium: Membership on an entity's Board of Directors or advisory committees; janssen: Membership on an entity's Board of Directors or advisory committees; celgene: Membership on an entity's Board of Directors or advisory committees; onyx: Membership on an entity's Board of Directors or advisory committees. Kolb:celgene: Honoraria; janssen: Honoraria. Roussel:janssen: Honoraria; celgene: Honoraria. Leleu:celgene: Honoraria; janssen: Honoraria. Avet-Loiseau:janssen: Membership on an entity's Board of Directors or advisory committees; celgene: Membership on an entity's Board of Directors or advisory committees.
Author notes
Asterisk with author names denotes non-ASH members.

This icon denotes a clinically relevant abstract
