Abstract
Abstract 5106
Heart failure secondary to myocardial siderosis remains the main cause of death in regularly transfused patients with β-thalassemia. Once-daily oral iron chelation therapy with deferasirox (Exjade®) has been shown to reduce body iron burden in patients with transfusion-dependent anemias, and the removal of myocardial iron has been demonstrated in several clinical studies including the prospective, multicenter EPIC study. Here we report for the first time an evaluation of right ventricular (RV) function assessed using magnetic resonance (MR) techniques in β-thalassemia patients with myocardial siderosis treated with deferasirox in the EPIC study.
The cardiac sub-study of EPIC enrolled patients with β-thalassemia aged ≥10 yrs who had MR myocardial T2* >5–<20 ms (indicating cardiac siderosis), left ventricular ejection fraction ≥56%, serum ferritin (SF) levels of >2500 ng/mL, MR (R2) liver iron concentration (LIC) of >10 mg Fe/g dry weight (dw), and a lifetime minimum of 50 transfused blood units. Deferasirox was initiated at 30 mg/kg/day and subsequent dose adjustments of 5–10 mg/kg/day were based on changes in SF, month-6 cardiac T2* and safety parameters. The following RV parameters were assessed using MR; ejection fraction (RVEF), volumes (end-systolic [RVESV] and end-diastolic [RVEDV]) and mass (RVM). All parameters were assessed at the CMR core laboratory in London, UK after 6 and 12 months of deferasirox treatment.
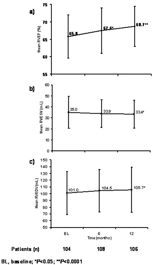
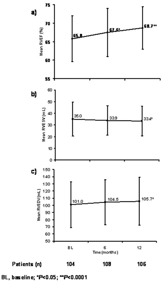
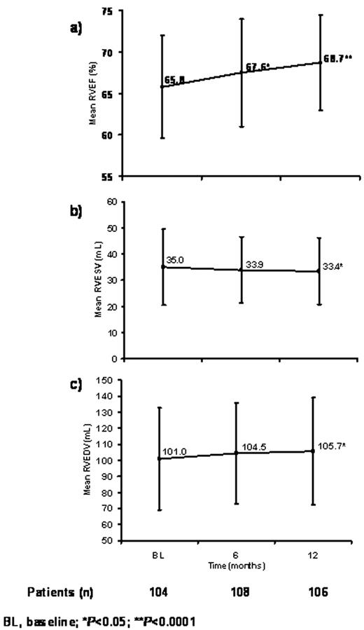
114 patients were enrolled in the cardiac sub-study (54 male, 60 female; mean age 20.9 ± 7.3 years). Baseline myocardial T2* was <10 ms in 47 (41%), and 10–20 ms in 67 (59%) patients. Mean baseline LIC was 28.2 ± 10.0 mg Fe/g dw, median serum ferritin was 5235 ng/mL, and the mean amount of transfused blood in the previous year was 185 mL/kg. 68% of patients had received prior deferoxamine (DFO) and 32% DFO/deferiprone combination chelation therapy. Mean actual deferasirox dose over 12 months was 32.6 mg/kg/day. RVEF increased significantly from a mean ± SD baseline of 65.8 ± 6.2% to 67.6 ± 6.4% at 6 months (P=0.013) and 68.7 ± 5.7% at 12 months (P<0.0001; Figure). RVESV significantly decreased from 35.0 ± 14.5 mL at baseline, to 33.4 ± 12.8 mL (P=0.034; Figure) by 12 months and RVEDV significantly increased from 101.0 ± 31.8 mL at baseline to 105.7 ± 33.4 mL (P=0.04; Figure) by 12 months. There were no significant correlations between any of the RV function parameters assessed and T2*. There was a borderline significant reduction in RVM from 46.8 ± 14.6 g at baseline to 44.9 ± 12.4 g at 12 months (P=0.088). Reference RVEF, RVESV, RVEDV and RVM have been defined in healthy subjects as 66 ± 6 %, 50 ± 14 mL, 144 ± 23 mL and 48 ± 12 g, respectively (A M Maceira et al. Eur Heart J 2006;27:2879–88), although values were shown to vary significantly by gender, body surface area and age.
Mean ± SD a) RVEF b) RVESV and c) RVEDV over 12 months of deferasirox therapy (Per protocol analysis)
Mean ± SD a) RVEF b) RVESV and c) RVEDV over 12 months of deferasirox therapy (Per protocol analysis)
To our knowledge, this is the first study to show a change in RV volumes and improvement in RV function associated with iron chelation. The RVEF improved with increased RVEDV and decreased RVESV, which is suggestive of improved RV and left ventricular compliance respectively resulting from removal of myocardial iron. However, improvements in pulmonary vascular resistance may also play a role.
Smith:Novartis Pharma AG: Consultancy, Employment at Royal Brompton Hospital funded by Novartis Pharma AG. Pennell:Novartis: Consultancy, Honoraria, Membership on an entity's Board of Directors or advisory committees, Research Funding; Apopharma: Consultancy, Honoraria; Cardiovascular Imaging Solutions: Equity Ownership; Siemens: Research Funding. Off Label Use: THE SPECIFIC USE OF CHELATION FOR CARDIAC SIDEROSIS IS OFF-LABEL. Porter:Novartis: Membership on an entity's Board of Directors or advisory committees, Research Funding, Speakers Bureau; Vifor International: Membership on an entity's Board of Directors or advisory committees. Cappellini:Novartis: Membership on an entity's Board of Directors or advisory committees, Speakers Bureau; Genzyme: Membership on an entity's Board of Directors or advisory committees. Chan:Novartis: Honoraria, Research Funding. Aydinok:Novartis: Honoraria, Membership on an entity's Board of Directors or advisory committees, Research Funding, Speakers Bureau. Ibrahim:Novartis: Research Funding. Lee:Novartis: Consultancy, Speakers Bureau. Viprakasit:Thai Government: Employment; Novartis: Honoraria, Research Funding; GPO-L-ONE clinical study sponsor by Government Pharmaceutical Organization of Thailand: Honoraria, Research Funding. Kattamis:Novartis: Consultancy, Honoraria, Speakers Bureau. Habr:Novartis Pharmaceuticals: Employment. Domokos:Novartis Pharma AG: Employment. Hmissi:Novartis Pharma AG: Employment. Taher:Novartis: Honoraria, Research Funding.
Author notes
Asterisk with author names denotes non-ASH members.
