Abstract
We have continued the preclinical evaluation of the efficacy and safety of the hexadentate phenolic aminocarboxylate iron chelatorN, N′-bis(2-hydroxybenzyl) ethylenediamine-N, N′-diacetic acid monosodium salt (NaHBED) for the treatment of both chronic transfusional iron overload and acute iron poisoning. We examined the effect of route of administration by giving equimolar amounts of NaHBED and deferoxamine (DFO) to Cebus apella monkeys as either a subcutaneous (SC) bolus or a 20-minute intravenous (IV) infusion. By both routes, NaHBED was consistently about twice as efficient as DFO in producing iron excretion. For both chelators at a dose of 150 μmol/kg, SC was more efficient than IV administration. The biochemical and histopathologic effects of NaHBED administration were assessed. No systemic toxicity was found after either IV administration once daily for 14 days to iron-loaded dogs or after SC administration every other day for 14 days to dogs without iron overload. Evidence of local irritation was found at some SC injection sites. When the NaHBED concentration was reduced to 15% or less in a volume comparable to a clinically useful one, no local irritation was found with SC administration in rats. Because treatment of acute iron poisoning may require rapid chelator infusion, we compared the effects of IV bolus administration of the compounds to normotensive rats. Administration of DFO produced a prompt, prolonged drop in blood pressure and acceleration of heart rate; NaHBED had little effect. NaHBED may provide an alternative to DFO for the treatment of both chronic transfusional iron overload and of acute iron poisoning.
Introduction
Over the past 3 decades, deferoxamine B (DFO, Figure 1) has demonstrated its iron-chelating efficacy for the treatment of both chronic iron overload and acute iron poisoning.1,2 For patients who require chronic transfusion for thalassemia, sickle cell disease, myelodysplasia, or other refractory anemias, DFO has been a generally safe and effective therapeutic agent that can control body iron; alleviate hepatic, cardiac, and endocrine dysfunction; improve growth and sexual maturation; and extend survival.3-6 In the treatment of acute iron poisoning, DFO may be lifesaving. Enteral administration can bind unabsorbed iron in the gastrointestinal tract, and intravenous (IV) infusion can help clear iron from the systemic circulation.
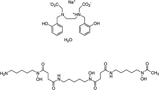
Structures of the iron chelators chosen for evaluation.
N,N′-bis(2-hydroxybenzyl)ethylenediamine-N, N′-diacetic acid monosodium salt (NaHBED, top), and deferoxamine B (DFO, bottom).
Structures of the iron chelators chosen for evaluation.
N,N′-bis(2-hydroxybenzyl)ethylenediamine-N, N′-diacetic acid monosodium salt (NaHBED, top), and deferoxamine B (DFO, bottom).
Despite this admirable record, the limitations of DFO as an iron-chelating agent have also become evident. For patients with chronic iron overload, treatment with DFO is costly, inefficient, cumbersome, and unpleasant. The siderophore is still produced by large-scale fermentation of a strain of Streptomyces pilosus,7 contributing to the expense of the drug. DFO is inefficient as an iron chelator; typically only 5% or less of the drug administered promotes iron excretion. Because gastrointestinal absorption is poor and circulatory elimination is rapid, effective therapy for chronic iron overload usually requires subcutaneous (SC) or IV administration by a portable infusion pump for 9 to 12 hours for 5 or 6 days each week.8-10 Not surprisingly, most patients have difficulty in complying with such a demanding regimen. Moreover, a variety of toxic effects of treatment with DFO have become evident.11-13 Allergy to DFO is rare but develops in some patients14,15; painful reactions at the site of SC infusion are nearly universal.16,17 Other adverse reactions include visual and auditory neurotoxicity,18 pulmonary toxicity,19 bony changes,20 growth failure,21 and promotion of Yersinia enterocolitica infections.22 Although improved management strategies have decreased the prevalence of neurotoxicity, bony changes, and growth failure, compliance with DFO remains an important problem.1
Although slow IV infusions of DFO (< 10 mg/kg per hour) have been well tolerated in patients with chronic iron overload,23-25 rapid IV administration for the treatment of acute iron poisoning can produce severe hypotension.26In addition, IV infusions of DFO at doses higher than the recommended 15 mg/kg per hour for more than 24 hours for therapy of acute iron poisoning have resulted in several instances of acute respiratory distress syndrome (ARDS).19,27 ARDS has also been reported in a child who had been treated with IV DFO according to the current guidelines.28 Finally, the manufacturer recommends that the total daily parenteral dose of DFO should not exceed 6 g. Because 1 g DFO only binds about 90 mg elemental iron, and a single tablet for the treatment of iron deficiency in adults may contain as much as 65 mg elemental iron, 6 g DFO given parenterally may not be adequate in patients with severe iron poisoning.
N, N′-Bis(2-hydroxybenzyl)ethylenediamine-N, N′-diacetic acid (HBED, Figure 1) is a synthetic hexadentate ligand that, like DFO, forms a 1:1 complex with iron with high affinity and selectivity.29 We have previously reported studies of the efficacy and safety of parenteral administration of this synthetic iron chelator, predominantly as its monosodium salt (NaHBED). For the treatment of acute iron poisoning, NaHBED administered orally would bind and inactivate iron in the gastrointestinal tract and prevent its absorption. Administered IV, NaHBED would also bind and inactivate excess iron in the systemic circulation but without producing the hypotension that results from rapid IV administration of DFO. For treatment of chronic iron overload, we anticipate that administration of NaHBED would require a single SC or IV injection once every other day or, perhaps, once or twice weekly. This schedule of parenteral administration might be preferable to daily prolonged SC infusions of DFO or to ingestion of a large number of tablets on several occasions daily. Other efforts to develop substitutes for DFO for chronic iron-chelating therapy have concentrated on bidentate or tridentate ligands to be administered orally.30 31 HBED, as a hexadentate chelator, would be free of the risk of exacerbating iron-related tissue damage that may be present with some of these partial ligands. Because HBED is a synthetic product, problems of local reactions to potential fermentation by-products not removed during purification would be absent. Finally, for patients allergic to DFO, HBED, a member of a different family of chelators, would be unlikely to provoke a similar response.
In our earlier studies, we found that SC administration of HBED to iron-loaded monkeys consistently induced iron clearance that was 2 to 3 times greater than that induced by an equimolar dose of DFO and have observed no adverse effects of chelator administration.32 33 We now report further preclinical investigations of this compound, including (1) a comparison of the iron clearing efficiency of IV versus SC administration of NaHBED in primates, (2) the systemic toxicity of IV NaHBED in dogs, (3) the systemic toxicity of SC NaHBED in dogs, (4) an assessment of the local tolerability of SC NaHBED in rodents, and (5) the impact of IV NaHBED on the blood pressure and heart rate of normotensive rodents. Based on the data available thus far, NaHBED, administered IV as well as SC, continues to be a strong candidate for a much-needed alternative to DFO that may provide patients with chronic iron overload or acute iron poisoning with a safe, clinically effective form of iron-chelating therapy.
Materials and methods
Materials
Deferoxamine B in the form of the methanesulfonate salt, Desferal, was obtained from Novartis Pharma (Basel, Switzerland). The monosodium salt of HBED was obtained from either Strem Chemical (Newburyport, MA) or Prime Organics (Lowell, MA). Sprague-Dawley rats (Crl:CD(SD)BR-CD) were purchased from Charles River (Wilmington, MA).Cebus apella monkeys were obtained from World Wide Primates (Miami, FL). Male beagle dogs were purchased from Harlan Sprague-Dawley (Indianapolis, IN). All reagents and standard iron solutions were obtained from Aldrich Chemical (Milwaukee, WI). Atomic absorption measurements were made on a Perkin-Elmer model 5100 PC (Norwalk, CT). Ultrapure salts were obtained from Johnson Matthey Electronics (Royston, United Kingdom). All hematologic and biochemical studies34 were performed by Antech Diagnostics (Tampa, FL). Histologic evaluation of necropsy tissues was performed by Florida Vet Path (Bushnell, FL).
Iron loading of C apella monkeys
The monkeys were overloaded with IV iron dextran as previously described to provide about 500 mg Fe/kg body weight35; the serum transferrin iron saturation rose to between 70% and 80%. We waited at least 20 half-lives, 60 days,36 before using any of the animals in experiments evaluating iron-chelating agents.
Iron-balance studies in C apella monkeys
Seven days before the administration of the drug, the animals were placed in metabolic cages37 and started on a low-iron liquid diet.34 The monkeys were maintained on the low-iron liquid diet for the duration of the experiment. They were given food according to their body weight, and intake was very carefully monitored.
The total amount of iron intake was compared with the total amount of iron excreted: net iron balance = dietary iron intake − (urinary + fecal iron excretion). Animals in a negative iron balance are excreting more iron than they are absorbing.
Primate fecal and urine samples
Drug preparation and administration to primates
Deferoxamine was dissolved in sterile water at a concentration of 50 or 100 mg/mL and given to the monkeys SC at a volume of 1 mL/kg. For animals receiving the drug as an IV infusion, the appropriate amount of drug solution was injected into a 50-mL bag of saline and was administered as a 20-minute IV infusion. NaHBED monohydrate was put into solution with sterile normal saline at a concentration of 32.4 or 64.9 mg/mL (75 and 150 μmol/kg, respectively) and was given SC to the monkeys at a volume of 1 mL/kg. For IV administration at a dose of 50 or 75 μmol/kg, the drug was dissolved in distilled water and was administered as an IV push at a volume of 1 mL/kg. The drug for the animals dosed at 150 or 225 μmol/kg was prepared as for the bolus injection, except that the appropriate dose of the drug solution was injected into a 50-mL bag of saline and was given as a 20-minute IV infusion. The NaHBED solutions were sterilized by filtration via a 0.2-μm pore size syringe filter.
Calculation of iron chelator efficiency
Iron overloading of beagle dogs
Iron dextran (Iron-Gard100, Boehringer Ingelheim Vetmedica, Kansas City, MO) at a concentration of 100 mg Fe/mL and a dose of 100 mg/kg (1 mL/kg) was administered IV in 100 mL saline over approximately 30 minutes to young adult (10-12 months old, 8-11 kg) male beagle dogs. The procedure was repeated every 10 to 14 days until a total iron burden of 300 mg/kg was reached. Once iron overloading was completed, the iron pools were allowed to equilibrate for at least 1 month before drug dosing began. The equilibration time to allow for iron redistribution for the dogs was shorter than for the monkeys, 30 days versus 60 days, to take account of the increased rate of iron excretion in the dog.39 Previous studies in which dogs were iron overloaded via IV transfusion of either red blood cells or saccharated iron oxide and underwent tissue biopsies 1 or 4 months later found that there was little difference histologically between the animals biopsied 30 days after overload or those biopsied 4 months after overload.40 Although the initial rates of release from the 2 carbohydrate polymers are probably different, the dynamics of the iron distribution in and release from the storage compartments would be expected to be similar.
Canine toxicity studies
In one study, iron-overloaded beagles were given either isotonic saline (50 mL, n = 2) or NaHBED (75 μmol/kg in 50 mL isotonic saline, n = 4) IV once daily as a 20-minute infusion for 14 days. Blood was drawn before drug dosing on days 1 and 8 and immediately before euthanizing the dogs for hematologic studies. A routine urinalysis was also carried out at this time. One control and 2 treated animals were euthanized on day 15 (24 hours after drug); the remaining 3 dogs were killed 48 hours after drug administration. On euthanizing, the following tissues were harvested for histologic evaluation: liver, kidney, spleen, lung, right and left atria, right and left ventricles, pericardium, tongue, lymph node, urinary bladder, prostate, mandibular salivary gland, adrenal glands, skin, diaphragm, stomach, duodenum, trachea, right and left papillary muscles, gallbladder, thyroid, small intestine, pancreas, thymus, esophagus, testicle, thigh muscle, jugular vein, cecum, colon, fat, aorta, and rib.
In another experiment, normal dogs (not iron overloaded, 1 year old, n = 2/group) were given NaHBED as a SC bolus at a concentration of 25% (wt/vol) at a dose of 75, 150, or 300 μmol/kg (32.5, 65, or 130 mg/kg) in distilled H2O. The volume of injection was 1.3, 2.6, or 5.2 mL/10 kg for the 75, 150, and 300 μmol/kg doses, respectively. The drug was administered SC every other day for 14 days (7 doses); the NaHBED injection site was rotated between the right shoulder and left flank such that approximately 96 hours elapsed between injections at the same site. Saline was injected on a similarly rotating basis between the left shoulder and right flank such that each dog served as its own control. Blood was drawn for hematologic and biochemical analyses before drug dosing began, on day 7, and immediately before the animal was euthanized. A routine urinalysis was also carried out at this time. On euthanizing, either 24 or 48 hours after drug administration, the same tissues as those listed above were removed for histopathologic analysis. In addition, skin samples from the drug injection sites and saline injection sites were taken for histologic evaluation.
Assessment of local tolerability in rodents
The general procedure was as follows. The rats (n = 4/group) were anesthetized with sodium pentobarbital (55 mg/kg intraperitoneally) and were given additional anesthetic as needed to keep the animals immobile. The injection sites were the flanks because there is better circulation and much less SC fat in the flanks than in the shoulder area. Skin sections on the flanks were clipped and prepped with an alcohol pad. The drug solutions were sterilized via filtration through a 0.2-μm pore size syringe filter and administered to the rats via a 27-gauge needle. For the infusions, the needle was taped into place for the duration of the infusion. Two rats from each group were killed 48 hours after drug administration, and the remaining 2 were euthanized 1 week after drug administration. Skin sections were removed, examined grossly for signs of irritation, and sent out for histopathologic analysis.
In the SC bolus studies, a single injection was administered to male Sprague-Dawley rats (400 g, 100 μL/ animal) The rats were anesthetized, the skin was prepped, and a 27-gauge needle was used as above. The animals were divided as follows: group 1 received 100 μL isotonic saline; group 2 was given 100 μL 10% (wt/vol) NaHBED in distilled H2O; group 3 received 100 μL 15% (wt/vol) NaHBED in distilled H2O, and group 4 was given 100 μL 20% (wt/vol) NaHBED in distilled H2O.
In the infusion experiments, the rats (400 g) received the drug as a 5-hour SC infusion (100 μL/animal at 20 μL/h). The infusions were delivered using Cadd-Micro Ambulatory Infusion Pumps, model 21-5900 (Deltec, Minneapolis, MN). The animals were anesthetized as described above, and the drug was infused via a 27-gauge needle taped into place. The control rats received saline only (100 μL) as a 5-hour SC infusion. The other rats received NaHBED at 10%, 15%, or 20% concentrations (wt/vol in distilled H2O) as a 5-hour SC infusion.
Rodent blood pressure and heart rate studies
The basic procedure has been described in an earlier publication.41 Briefly, normotensive adult male Sprague-Dawley rats (400 g) were anesthetized with sodium pentobarbital (55 mg/kg intraperitoneally). After the neck and shoulder areas were prepared for surgery, an incision was made into the neck area. The proximal end of the carotid artery was tied off with 3-0 silk; the other end was clamped. Once a piece of polyethylene-50 tubing was inserted approximately 3 cm into the artery and tied into place, the tubing was skin tunneled to the shoulder area. The jugular vein was cannulated using a similar procedure. Both of the tubings were flushed with heparin (100 U/mL); a stylet was inserted.
Approximately 24 hours after the surgery, the animals were placed into individual cages and were connected to the blood pressure transducer (AD Instruments, Milford, MA) via the carotid catheter. The blood pressure transducer and the MacLab Bio Amplifier were in turn connected to a Mac Bridge 4 (AD Instruments), a computer-controlled transducer interface. The data were then transmitted to the MacLab 4e data acquisition system powered by a Macintosh Quadra 650. The MacLab Chart program was used to display and analyze the data.
After a half-hour stabilization period, 0.5 mL saline was administered as an IV bolus via the jugular vein catheter, and the blood pressure and heart rate were monitored for 5 minutes. Then, the compound of interest was administered IV at a dose of 300 μmol/kg in a 0.5-mL volume of distilled H2O as a bolus (n = 5 for both drugs). Once the drug administration was completed, additional saline was given to make sure that all of the drug had been delivered. The blood pressure and heart rate readings were taken for 1 hour after drug administration, during which the animals were unrestrained.
Rats receiving the drug as a 20-minute IV infusion (n = 5 for HBED, n = 4 for DFO) were allowed to acclimate as above. Due to the dead space of the tubing, the infusion pump was allowed to run for approximately 4 minutes before starting the timer. The drug was then given for an additional 20 minutes and the pump was stopped; no additional saline was given as a flush. Blood pressure and heart rate were monitored during the infusion and for 1 hour thereafter.
Statistical analysis
Data are presented as the mean ± SEM. For comparisons of the means of 2 groups, the 2-sample t test (without the assumption of equality of variances) was used for analyzing the primate and rodent data. All tests were one-tailed, and a significance level ofP < .05 was used.
Results
Comparisons of chelator-induced iron excretion in C apella monkeys given SC versus IV NaHBED and those given SC versus IV DFO
These studies (Table 1) were carried out in iron-overloaded (∼500 mg/kg) primates.35 In brief, DFO was administered either SC at doses of 75 and 150 μmol/kg or as a 20-minute IV infusion at doses of 75 and 150 μmol/kg. Three methods of administration of NaHBED were investigated: SC bolus at doses of 75 and 150 μmol/kg, IV bolus at doses of 50 and 75 μmol/kg, and 20-minute IV infusion at doses of 150 and 225 μmol/kg.
Comparison of efficiencies and net iron balance of IV and SC HBED versus those of IV and SC DFO in C apella primates
| Drug . | Route . | Dose (μmol/kg) . | Dose (mg/kg) . | n . | Efficiency (%) . | Induced Fe (μg/kg) . | Fe balance (μg/kg)* . |
|---|---|---|---|---|---|---|---|
| DFO | SC bolus | 75 | 50 | 4 | 5.0 ± 2.6 | 213 ± 112 | −60 ± 135 |
| DFO† | SC bolus | 150 | 100 | 6 | 5.1 ± 1.3 | 435 ± 115 | −278 ± 185 |
| DFO | 20-min IV inf | 75 | 50 | 5 | 5.6 ± 1.6 | 237 ± 67 | −22 ± 197 |
| DFO | 20-min IV inf | 150 | 100 | 5 | 3.9 ± 0.8 | 332 ± 66 | −168 ± 51 |
| HBED‡ | SC bolus | 75 | 32.4 | 4 | 14.2 ± 2.2 | 597 ± 91 | −524 ± 84 |
| HBED1-153 | SC bolus | 150 | 64.9 | 5 | 13.6 ± 4.5 | 1139 ± 383 | −899 ± 365 |
| HBED | IV bolus | 50 | 21.6 | 5 | 12.1 ± 2.5 | 338 ± 68 | −195 ± 114 |
| HBED | IV bolus | 75 | 32.4 | 4 | 11.5 ± 1.3 | 482 ± 54 | −407 ± 73 |
| HBED | 20 min IV inf | 150 | 64.9 | 4 | 7.7 ± 0.8 | 644 ± 65 | −408 ± 77 |
| HBED | 20 min IV inf | 225 | 97.3 | 5 | 6.3 ± 1.0 | 798 ± 126 | −570 ± 248 |
| Drug . | Route . | Dose (μmol/kg) . | Dose (mg/kg) . | n . | Efficiency (%) . | Induced Fe (μg/kg) . | Fe balance (μg/kg)* . |
|---|---|---|---|---|---|---|---|
| DFO | SC bolus | 75 | 50 | 4 | 5.0 ± 2.6 | 213 ± 112 | −60 ± 135 |
| DFO† | SC bolus | 150 | 100 | 6 | 5.1 ± 1.3 | 435 ± 115 | −278 ± 185 |
| DFO | 20-min IV inf | 75 | 50 | 5 | 5.6 ± 1.6 | 237 ± 67 | −22 ± 197 |
| DFO | 20-min IV inf | 150 | 100 | 5 | 3.9 ± 0.8 | 332 ± 66 | −168 ± 51 |
| HBED‡ | SC bolus | 75 | 32.4 | 4 | 14.2 ± 2.2 | 597 ± 91 | −524 ± 84 |
| HBED1-153 | SC bolus | 150 | 64.9 | 5 | 13.6 ± 4.5 | 1139 ± 383 | −899 ± 365 |
| HBED | IV bolus | 50 | 21.6 | 5 | 12.1 ± 2.5 | 338 ± 68 | −195 ± 114 |
| HBED | IV bolus | 75 | 32.4 | 4 | 11.5 ± 1.3 | 482 ± 54 | −407 ± 73 |
| HBED | 20 min IV inf | 150 | 64.9 | 4 | 7.7 ± 0.8 | 644 ± 65 | −408 ± 77 |
| HBED | 20 min IV inf | 225 | 97.3 | 5 | 6.3 ± 1.0 | 798 ± 126 | −570 ± 248 |
Net iron balance = dietary iron intake − (urinary iron + fecal iron). Animals in a negative iron balance are excreting more iron than they are absorbing. To maintain iron balance, 250 to 400 μg Fe/kg/day42 = 1750 to 2800 μg Fe/kg/week must be cleared.
Previously published.32
Derived from our previously published study33in which the monkeys were given 75 μmol/kg as an SC bolus in saline on days 0, 2, and 4; the day +1 to day +2 versus day −3 to day 0 iron balance figures are shown.
Previously published.33
Deferoxamine administered SC at a dose of 75 μmol/kg induced the excretion of 213 ± 112 μg Fe/kg; the efficiency was 5.0% ± 2.6%. Increasing the dose to 150 μmol/kg resulted in the excretion of approximately twice the amount of iron, 435 ± 115 μg/kg, an efficiency of 5.1% ± 1.3% (P > .4). DFO given IV at a dose of 75 μmol/kg induced the excretion of 237 ± 67 μg Fe/kg and had an efficiency of 5.6% ± 1.6%. Increasing the dose to 150 μmol/kg resulted in the excretion of 332 ± 66 μg Fe/kg and an efficiency of 3.9% ± 0.8% (P < .04). Interestingly, although the efficiency of DFO given either SC or IV at a dose of 75 μmol/kg was similar, 5.0% ± 2.6% versus 5.6% ± 1.6% (P > .3), this was not the case when the dose was increased to 150 μmol/kg. DFO given SC at 150 μmol/kg resulted in an iron clearing efficiency of 5.1% ± 1.3%, but the same dose given as an IV infusion resulted in an efficiency of 3.9% ± 0.8% (P < .05).
At a dose of 75 μmol/kg SC, NaHBED induced the excretion of 597 ± 91 μg Fe/kg, an efficiency of 14.2% ± 2.2%. Doubling the dose to 150 μmol/kg SC resulted in the excretion of almost twice as much iron, 1139 ± 383 μg/kg and an efficiency of 13.6% ± 4.5% (P > .3). The efficiencies of the drug administered as an IV bolus at doses of 50 and 75 μmol/kg were also similar, 12.1% ± 2.5% and 11.5% ± 1.3% (P > .3), with a corresponding iron excretion of 338 ± 68 μg/kg and 482 ± 54 μg/kg, respectively. Finally, the efficiency of NaHBED given SC at a dose of 75 μmol/kg was greater than that for the same dose given as an IV bolus, 14.2% ± 2.2% versus 11.5% ± 1.3%, respectively (P < .05). When given as a 20-minute IV infusion, an increase in the dose of NaHBED from 150 to 225 μmol/kg resulted in the excretion of more iron (from 644 ± 65 to 798 ± 126 μg/kg) but a decline in efficiency (from 7.7% ± 0.8% to 6.3% ± 1.0%).
Systemic toxicity of NaHBED in dogs
Four beagles that had been iron loaded to a level of 300 mg Fe/kg were given an IV dose of 75 μmol/kg NaHBED in 50 mL isotonic saline as a 20-minute infusion once daily for 14 days. Two additional dogs, also iron loaded to a level of 300 mg Fe/kg, served as saline-treated controls. On euthanizing, 24 or 48 hours after dosing and extensive histopathologic analysis, the most significant finding was the accumulation of hemosiderin in the macrophages of the liver, spleen, and lymph nodes of both test and control animals. There was no systemic toxicity that could be attributed to the NaHBED.
A second systemic toxicity trial was carried out in dogs using SC administration of NaHBED. These non–iron-overloaded dogs (n = 2/dose) were given NaHBED at doses of 75, 150, or 300 μmol/kg. The drug was injected as an SC bolus every other day into 1 of 2 sites on a rotating basis such that about 96 hours elapsed between injections at the same site. On euthanizing, either 24 or 48 hours after drug delivery, histopathologic analysis did not reveal any drug-related abnormalities beyond those in the skin. The skin at the sites that were injected with NaHBED did present with mild to significant reactions. The descriptions of the reactions ranged from early, focally extensive fibroplasia and mild, superficial subcutis to panniculitis (both lymphohistiocytic and neutrophilic), which was subacute and focally extensive, and moderate to severe deep subcutis. The descriptions of the skin from the sites injected with saline included early fibroplasia, which ranged from diffuse, moderate, and superficial to focally extensive, and deep subcutis; one site presented with panniculitis (both lymphohistiocytic and neutrophilic).
Recall that the drug was administered to the dogs SC at a concentration of 25% (wt/vol) and a volume of injection of 1.3, 2.6, or 5.2 mL/10 kg for the 75-, 150-, and 300-μmol/kg doses, respectively. In addition, there did appear to be a graded response, with the animals receiving higher volumes having more local irritation than those receiving lower volumes. This observation is in keeping with a surface-to-volume problem, in which the surrounding tissues could not supply sufficient fluid to compensate for the hypertonicity of the larger volumes of solution administered. The local irritation at the injection sites observed in the dogs was explored further in a rodent model.
Studies of local irritation at NaHBED injection sites in rodents
The results in dogs and preliminary experiments in rodents suggested to us that the hypertonicity of the 25% (wt/vol) solution used might be responsible for the local irritation observed. Accordingly, groups of 4 rodents were given a 100-μL SC bolus of (1) isotonic saline, (2) 10% NaHBED in distilled H2O, (3) 15% NaHBED in distilled H2O, or (4) 20% NaHBED in distilled H2O. Animals were also administered the same volume (100 μL) as a 5-hour SC infusion (ie, at a rate of 20 μL/h). These groups (n = 4) were given (1) isotonic saline, (2) 10% NaHBED in distilled H2O, (3) 15% NaHBED in distilled H2O, or (4) 20% NaHBED in distilled H2O. Note that a 300-g rat receiving 100 μL of the drug solution would be receiving a volume of drug solution roughly comparable to administration of 20 mL of the drug solution to a 60-kg person. Again, 2 animals from each group were killed 48 hours after dosing and 2 more 7 days after dosing. The histopathologic descriptors for both bolus and infusion saline controls at 48 hours and 7 days included endothelial hypertrophy, minimal inflammation, scattered mast cells, and subcutis. With the exception of the rats treated with 20% NaHBED as a SC bolus, in which mild panniculitis was noted in one each of the rodents killed 48 hours or 1 week after dosing, all of the test animals presented with essentially the same histopathology as the control animals. Therefore, we have demonstrated that it is possible to prevent NaHBED-related irritation by either giving the drug as a slow SC infusion or as a SC bolus at concentrations of 15% wt/vol or less.
Impact of NaHBED and DFO on blood pressure and heart rate in rodents
Owing to the profound impact that DFO administered IV can have on blood pressure and cardiac function,26 the manufacturer recommends that the drug be given by this route at doses not to exceed 15 mg/kg per hour (22 μmol/kg per hour), even under circumstances of cardiovascular collapse from acute iron toxicity. On consideration of this, we elected to compare the impact of DFO and NaHBED administered IV on blood pressure and heart rate in normotensive rodents. The chelators were administered at a dose of 300 μmol/kg in a 0.5-mL volume either by IV bolus (n = 5 for both drugs) or by IV infusion over a 20-minute period (n = 5 for NaHBED, n = 4 for DFO).
When rodents were given 300 μmol/kg DFO as an IV bolus, there was a 25% decrease in blood pressure that did not return to baseline levels until 35 minutes after drug delivery (P < .001 fort = 5.5 to 15 minutes and P < .005 fort = 25 minutes, Figure 2A). The heart rate in these animals also increased by 16% and likewise did not return to predrug levels until more than 35 minutes after dosing (P < .001 for t = 5.5 to 35 minutes, Figure2B). When DFO was administered at 300 μmol/kg as a 20-minute IV infusion, no effect on either blood pressure or heart rate (Figure3) was recorded. In contrast, there was no effect on either blood pressure or heart rate in rats given the same dose of NaHBED as an IV bolus (Figure 4) or as a 20-minute IV infusion (Figure5). The lack of an effect of NaHBED administered IV on either blood pressure or heart rate makes NaHBED an attractive therapeutic for the treatment of acute iron poisoning.
DFO by IV bolus.
The effect of IV bolus administration of DFO (300 μmol/kg) on the blood pressure (A, mm Hg) and heart rate (B, beats/min) is shown for normotensive rats (n = 5). For panel A, P < .001 for t = 5.5 to 15 minutes; P < .005 fort = 25 minutes. For panel B, P < .001 fort = 5.5 to 35 minutes.
DFO by IV bolus.
The effect of IV bolus administration of DFO (300 μmol/kg) on the blood pressure (A, mm Hg) and heart rate (B, beats/min) is shown for normotensive rats (n = 5). For panel A, P < .001 for t = 5.5 to 15 minutes; P < .005 fort = 25 minutes. For panel B, P < .001 fort = 5.5 to 35 minutes.
DFO by IV infusion.
The effect of IV infusion administration of DFO (300 μmol/kg, 0.5 mL over 20 minutes) on the blood pressure (A, mm Hg) and heart rate (B, beats/min) is shown for normotensive rats (n = 4).
DFO by IV infusion.
The effect of IV infusion administration of DFO (300 μmol/kg, 0.5 mL over 20 minutes) on the blood pressure (A, mm Hg) and heart rate (B, beats/min) is shown for normotensive rats (n = 4).
NaHBED by IV bolus.
The effect of IV bolus administration of NaHBED (300 μmol/kg) on the blood pressure (A, mm Hg) and heart rate (B, beats/min) is shown for normotensive rats (n = 5).
NaHBED by IV bolus.
The effect of IV bolus administration of NaHBED (300 μmol/kg) on the blood pressure (A, mm Hg) and heart rate (B, beats/min) is shown for normotensive rats (n = 5).
NaHBED by IV infusion.
The effect of IV infusion administration of NaHBED (300 μmol/kg) on the blood pressure (A, mm Hg) and heart rate (B, beats/min) is shown for normotensive rats (n = 5).
NaHBED by IV infusion.
The effect of IV infusion administration of NaHBED (300 μmol/kg) on the blood pressure (A, mm Hg) and heart rate (B, beats/min) is shown for normotensive rats (n = 5).
Discussion
We have continued the preclinical evaluation of the efficacy and safety of NaHBED for the treatment of both chronic transfusional iron overload and of acute iron poisoning with a series of studies in monkeys, rodents, and dogs. First, we extended our previous investigation of the effect of HBED given SC on iron excretion in the iron-loaded C apella monkey with comparative studies of NaHBED and DFO after SC and IV administration. To provide a quantitative frame of reference, most patients who are dependent on transfusions receive about 200 to 300 mL blood/kg body weight per year, an amount corresponding to about 250 to 400 μg Fe/kg body weight per day.42 Clinically, the recommended dose of DFO for the treatment of transfusional iron overload is 75 μmol/kg (50 mg DFO/kg) or less; doses more than 150 μmol/kg (100 mg DFO/kg) are used only in exceptional circumstances because of the increased risk of neurotoxicity and other adverse effects.
As detailed in Table 1, we compared NaHBED and DFO when equimolar amounts were given as a SC bolus injection or as a 20-minute IV infusion and calculated the efficiency of iron chelation, which is expressed as a percent. The observed iron excretion with DFO in the primates after SC injection at doses of 75 and 150 μmol/kg is consistent with the established ability of DFO to control body iron in patients with transfusional iron overload. With SC bolus injection, the efficiency of iron chelation with DFO remained about the same at both doses, approximately 5%. By comparison, the observed iron excretion with NaHBED after SC injection at doses of 75 and 150 μmol/kg was almost 3-fold greater than that seen with an injection of SC DFO. The efficiency of iron chelation with SC injection of NaHBED also remained approximately constant at both doses, about 14%.
When DFO was given as a 20-minute IV infusion at a dose of 75 μmol/kg, the efficiency of chelation, 5.6% ± 1.6%, was about the same as that found with SC injection at the same dose. At the higher dose of 150 μmol DFO/kg, more iron was excreted, but the efficiency of chelation fell to 3.9% ± 0.8% (P < .04). This nonlinear dose response, also observed in patients treated with escalating IV doses of DFO,43 suggests that the chelatable iron pool accessible to DFO with this mode of administration is limited. For comparison, at the equimolar dose of 150 μmol/kg also given as a 20-minute IV infusion, the efficiency of NaHBED, 7.7% ± 0.8%, was almost twice that of DFO (P < .001). Nonetheless, the brief IV infusion of 150 μmol NaHBED/kg was only about half as efficient as the same dose of NaHBED administered SC, presumably because of the longer duration of action for this dose provided by the SC route. With a still higher dose of 225 μmol NaHBED/kg, efficiency fell further, to 6.3% ± 1.0% (P < .01 versus the 150 μmol/kg SC dose). Moreover, at the lower dose of 75 μmol NaHBED/kg, given as an IV bolus, the observed efficiency of chelation, 11.5% ± 1.3%, was slightly lower than that of the same dose of NaHBED given SC, 14.2% ± 2.2% (P < .05). Nevertheless, these results suggest that, at the doses of NaHBED likely to be used clinically, 75 μmol/kg or less, the iron excretion with bolus administration by either the SC or IV route will be well within the range of 250 to 400 μg Fe/kg necessary to maintain iron balance and will be 2- to 3-fold greater than that observed with equimolar doses of SC DFO.
We next examined the safety of NaHBED, administered by 20-minute IV infusion at a dose of 75 μmol/kg daily to iron-loaded beagle dogs, and by SC bolus at doses of 75, 150, or 300 μmol/kg as a 25% (wt/vol) solution every other day to beagle dogs without iron overload. No evidence of systemic toxicity was found in either study. In the study of SC administration, more local irritation was found at injection sites with the hypertonic solutions of NaHBED than at those sites with isotonic saline. To determine the source of the irritation at injection sites, we carried out a series of experiments with male Sprague-Dawley rats. In brief, these studies indicated that the tonicity of the solution injected was the factor producing irritation at the injection sites. Irritation could be avoided by using volumes comparable to those that would be used clinically and by using less hypertonic solutions (≤ 15% [wt/vol]).
Finally, because treatment of acute iron poisoning may require rapid chelator infusion, we compared the effects of IV administration of NaHBED or DFO on the blood pressure and heart rate of normotensive Sprague-Dawley rats. Iron salts remain the leading cause of death from accidental poisoning in children in the United States. Although toxicity associated with the ingestion of less than 20 mg/kg elemental iron is generally self-limiting, intake of 20 to 60 mg/kg elemental iron may result in mild to moderate toxicity; the consumption of more than 60 mg/kg elemental iron is potentially life-threatening.44 Owing to the profound impact that IV DFO can have on blood pressure and cardiac function,26 the manufacturer recommends that the drug be given by this route to these patients at doses not to exceed 15 mg/kg per hour (22 μmol/kg per hour). In addition, IV DFO should be given only under circumstances of cardiovascular collapse, and even then at doses not to exceed 15 mg/kg per hour for the first 1000 mg. Subsequent IV administration, if needed, must be at a slower rate not to exceed 125 mg/hour. Our results suggest that IV infusion of NaHBED for the treatment of acute iron poisoning will not be subject to these restrictions. In our studies, rapid IV infusion of DFO to normotensive rats promptly produced a substantial, prolonged drop in blood pressure and acceleration in heart rate. By contrast, NaHBED had no significant effect. NaHBED could thus potentially be administered much more rapidly and in greater amounts than DFO in the treatment of acute iron poisoning.
Our results have provided additional evidence for the safety and tolerability of NaHBED when administered either in the manner that would be used chronically, for the treatment of iron overload, or acutely, for the treatment of iron poisoning. Comparative studies of iron excretion in the iron-loaded C apella monkey have found that NaHBED is 2 to 3 times more efficient as an iron chelator than DFO after either SC or IV administration. Overall, these results indicate the need for prompt completion of the preclinical evaluation of parenteral NaHBED in preparation for studies of iron balance in human volunteers. NaHBED may provide an alternative to DFO for the treatment of both chronic transfusional iron overload and of acute iron poisoning.
The authors would like to thank Katie Ratliff-Thompson, Tammy Fannin, and Michael A. Slusher for their technical assistance and Dr Eileen Eiler-McManis for her editorial comments.
Supported in part by research grants from the National Institutes of Health (DK49108, DK57209, and HL62882) and by Geltex, Waltham, MA.
R.J.B. and G.M.B. serve as consultants to Geltex Pharmaceuticals, which has licensed the patent for HBED from the University of Florida, Gainesville. G.M.B. also serves as consultant to Watson Pharmaceuticals, which has a sublicense for the development of HBED from Geltex Pharmaceuticals. J.W. has received honoraria from GelTex.
The publication costs of this article were defrayed in part by page charge payment. Therefore, and solely to indicate this fact, this article is hereby marked “advertisement” in accordance with 18 U.S.C. section 1734.
References
Author notes
Raymond J. Bergeron, Box 100485 JHMHC, Department of Medicinal Chemistry, University of Florida, Gainesville, FL 32610; e-mail: bergeron@mc.cop.ufl.edu.





This feature is available to Subscribers Only
Sign In or Create an Account Close Modal