Abstract
The molecular mechanisms that regulate self-renewal and differentiation of very primitive hematopoietic stem and progenitor cells in vivo are still poorly understood. Despite the clinical relevance, even less is known about the mechanisms that regulate these cells in old animals. In a forward genetic approach, using quantitative trait linkage analysis in the mouse BXD recombinant inbred set, this study identified loci that regulate the genetic variation in the size of primitive hematopoietic cell compartments of young and old C57BL6 and DBA/2 animals. Linked loci were confirmed through the generation and analysis of congenic animals. In addition, a comparative linkage analysis revealed that the number of primitive hematopoietic cells and hematopoietic stem cells are regulated in a stage-specific and an age-specific manner.
Introduction
The hematopoietic stem cell (HSC) is found at the top of the hematopoietic hierarchy and is the cellular source of all mature myeloid and lymphoid cells.1 Despite the accumulation of knowledge on the in vitro behavior of hematopoietic stem and progenitor cells,2 the regulation of these cells in their physiologic environment, the bone marrow (BM), is still poorly understood. This is, at least in part, due to the fact that regulation of the HSC system is a complex quantitative trait and available experimental methods are not efficient in detecting the components and networks of traits affecting whole organs. Another problem is inaccessibility of the BM as an intact structure, which makes it difficult to study the functional relationships between hematopoietic cells and stroma. Different approaches have been used to gain more insight into in vivo stem cell regulation, mostly in mice. In a molecular approach, a first step was taken to obtain a complete summary of the genes transcribed in murine HSCs,3 an index that points to the regulatory pathways stem cells use. Unfortunately, this type of analysis does not provide functional information. Other data on stem cell regulation have been generated by transplantation experiments, by surrogate in vitro assays that measure different aspects of stem cell behavior in vitro, and by the analysis of genetically modified animals.4-10 Some approaches, including ours, use genetic methods.11-16 Such an approach is based on the phenotype and proceeds toward the underlying genes (a forward genetic approach),17 and it can provide information on the function of complex regulatory mechanisms by means of quantitative trait locus (QTL) analysis.18
A common point of view is that self-renewal and differentiation of HSCs and progenitor cells, at each level of differentiation, are precisely regulated,19 as imbalance in this system will be deleterious to the organism. Evidence for this view comes mostly from investigations of the in vitro differentiation of progenitor cells and the analysis of genetically modified animals.2,7 20-22These experiments showed that specific factors (usually cytokines or transcription factors) are required for a lineage-specific progenitor cell to further differentiate, and, conversely, a missing factor will lead to a block of hematopoiesis at a certain point in differentiation. It is assumed that the same rules apply to the in vivo regulation of HSCs and very early progenitor cells.
Even less is known about the biology of the HSC compartment in old animals. Compelling evidence has been presented that stem cells age, and, thus, function of these cells is presumably reduced in old animals.23,24 This finding is contradictory to the usual definition of stem cells, which supposes unlimited self-renewal capacity. In addition, the rate of aging of stem cells differs among mouse inbred strains. Whereas C57BL/6 animals extend their stem cell numbers and retain repopulating activity of the BM with age, old DBA/2 and BALB/c animals possess reduced stem cell numbers with reduced functional capacity compared with young animals.23-27 The molecular mechanisms that regulate these age-related changes remain largely unknown.
Materials and methods
Animals
Female DBA/2J, C57BL/6J, and BXD/Ty recombinant inbred mice were purchased from the Jackson Laboratory (Bar Harbor, ME) and housed under barrier conditions with acidified water and food ad libitum in our animal facility. The BXD recombinant inbred set of mouse strains (BXD RI set) is based on the 2 parental strains C57BL/6J (B6) and DBA/2J (DBA). Altogether the set now consists of 34 strains.
Preparation of BM-derived cells
Animals were killed by cervical dislocation and femora were removed. To obtain a cell suspension of BM cells, femora were flushed with 2 mL Iscove modified Dulbecco media (IMDM; Life Technologies, Grand Island, NY) containing 2% fetal calf serum (HyClone Laboratories, Logan, UT), 80 U/mL penicillin, and 80 mg/mL streptomycin (Life Technologies). For the analysis of the BXD recombinant inbred animals, BM cells from 1 to 3 animals were pooled. Cell counts were taken on a Coulter MD8 (Beckman Coulter, Fullerton, CA). The cells were subsequently used for the cobblestone area-forming cell (CAFC) assay, without any further processing.
CAFC assay
The CAFC assay is an in vitro–limiting dilution type cell culture assay. Stem/progenitor cells of a particular developmental stage form a clonal cobblestonelike colony beneath a stromal cell layer after a characteristic latent time period. The longer the latency before a cell proliferates and forms a cobblestone area, the more primitive the nature of the cell. The CAFC assay was performed as described previously.28 In brief, confluent monolayers of FBMD-1 stromal cells were established in tissue culture–treated 96-well plates coated with 0.1% gelatin. BM cells were seeded in limiting dilution on these feeders in IMDM (Life Technologies), 20% horse serum (Life Technologies), 10−4 2-ME, 10−5 M hydrocortisone (Sigma, St. Louis, MO), 80 U/mL penicillin, 80 mg/mL streptomycin (both Life Technologies), starting with 81 000 BM cells per well. Further dilutions were 3-fold. We usually evaluated 20 replicate wells per cell concentration. Individual wells were screened at day 7, 14, 21, 28, and 35 for the presence of a cobblestone area. Frequencies of CAFCs were calculated by using maximum likelihood analysis. The frequency of CAFCs equals 1 divided by the number of cells yielding 37% negative wells. For all reported experiments, only female animals were analyzed. The numbers of stem and progenitor cells are given as number per femur.
Congenic animals
Congenic animals were generated by marker-assisted backcrossing.29 30 DBA/2, BXD-31/Ty, and BXD-29/Ty animals were used as founders in the backcross strategy. In brief, through subsequent male backcrossing and a genotype-based selection protocol with genetic markers spaced approximately every 20 cM throughout the genome, congenic animals were obtained after 5 to 8 generations. BXD-31/Ty was backcrossed to C57BL/6, and BXD-29/Ty was backcrossed to DBA/2. All polymerase chain reaction primers for the analysis of mouse simple sequence repeat (SSR) elements were bought from Research Genetics, Huntsville, AL. Amplified SSRs were analyzed on a 3.5% MetaPhore (ISC BioExpress, Kaysville, UT) agarose gel. The introgressed congenic intervals were derived from BXD founder animals, except for B6.DBA chr.3/chr.5 animals. B6.DBA chr.3/chr.5 animals were generated with a DBA/2 animal as founder. The length of the congenic intervals was determined by SSR analysis.
Linkage analysis
Linkage analysis was performed as described previously.13 Values for each of the traits, measured individually in both young and old animals of the BXD set, were determined with the CAFC assay and were subsequently used to perform genome-wide searches for linked loci (MapManager QTb28;http://mcbio.med.buffalo.edu/mmQT.html). This search was based on a published strain distribution pattern compiled specifically for the entire set of BXD strains.31 This BXD marker database contains 319 marker loci with a complete strain distribution pattern, providing on average a 3.75-cM mapping resolution. The linkage analysis of the hematopoietic traits was based on trait values of all of the then-available 26 strains, and the linkage analysis for the hematopoietic traits in old animals included trait values of 20 strains, because of attrition during aging. Linkage was also calculated with a composite interval mapping strategy.32 Point-wise probabilities for analyses in the young and old RI set were pooled according to Williams et al32 to asses genome-wide significance of the loci on chromosomes 7 (50 cM) and 18 (27 cM). The allele of a linked locus that leads to a higher trait value was determined by the addition value, provided by MapManager. The initial search for linkage was performed with a search and linkage criterion ofP = .01. The genome-wide statistical significance values for these loci were then calculated based on a 5000-permutation test.32 This results in computation of likelihood ratio statistics values for genome-wide levels for suggestive linkage (P = .5) and for significant linkage (P = .05) for a given trait. The relative importance of the significance levels of linkage are discussed in more detail elswhere,33 but an estimate might be that on average half of the suggestive linkages and 5% of the significant linkages will be false positives.
Candidate gene search
The selection of candidate genes as well as the determination of the homologous human regions of the linked loci was based on information provided by the mouse genome database (MGD;http://www.informatics.jax.org).
Correlation analysis
The correlation analysis was performed by linear regression analysis using the “least square” method.
Results
Strain-specific changes of the number of early hematopoietic progenitor cells with age
The CAFC assay is an in vitro–limiting dilution cell culture assay. Its correlation with the HSC hierarchy has been previously described.14,34 Cells that form a cobblestone after 35 days in culture are correlated with HSCs, whereas cells that form a cobblestone area after 21 days in culture are referred to here as early hematopoietic progenitor cells (eHPCs). The latter are more differentiated than HSCs but still retain their self-renewing and multilineage differentiation potential.28,35 CAFC assay analysis on BM cells from 2- and 20-month-old C57BL/6 (B6) and DBA/2 (DBA) animals were performed (Figure 1). As previously shown, the number of HSCs per femur as well as the change in the number of HSCs per femur as animals age is strain dependent.13 The same strain dependency was also found for the number of eHPCs per femur. Femora of young DBA animals contain 2.2-fold higher numbers of eHPCs than femora of young B6 animals. In old animals, the relationship was reversed: DBA animals show a slight reduction to 90% of the value of young animals, whereas B6 animals show a 3.5-fold expansion during aging. Thus, femora of old B6 animals contain nearly twice as many eHPCs as femora of old DBA animals.
Strain- and age-specific numbers of eHPCs.
Number of HSCs and eHPCs per femur in young and old B6 and DBA animals. Note the logarithmic y-axis. The data for the number of HSCs in young and old animals have been previously published.13 The differences in the number of HSCs between B6 and DBA and in the number of eHPCs between B6 and DBA in young and in old animals showed nonoverlapping 95% confidence intervals with P < .05 (n = 19 for young B6 animals, n = 16 for young DBA animals, n = 2 [BM pooled from 3 animals] for old B6, and n = 2 [BM pooled from 5 animals] for old DBA animals). Mean values ± 1 SEM are shown.
Strain- and age-specific numbers of eHPCs.
Number of HSCs and eHPCs per femur in young and old B6 and DBA animals. Note the logarithmic y-axis. The data for the number of HSCs in young and old animals have been previously published.13 The differences in the number of HSCs between B6 and DBA and in the number of eHPCs between B6 and DBA in young and in old animals showed nonoverlapping 95% confidence intervals with P < .05 (n = 19 for young B6 animals, n = 16 for young DBA animals, n = 2 [BM pooled from 3 animals] for old B6, and n = 2 [BM pooled from 5 animals] for old DBA animals). Mean values ± 1 SEM are shown.
Change of HSC and eHPC numbers correlates
Because the change in the number of eHPCs and HSCs with age paralleled each other, albeit in a distinctly strain-dependent manner, we asked if this similarity was based on a common genetic regulatory mechanism for the change in number of eHPCs and HSCs over time. To address this question, trait values for the number of eHPCs and HSCs, measured individually in 26 strains of both young and old BXD mice, were determined.11,32,36 We then correlated the number of eHPCs and HSCs in young and old animals in BXD mice. On the basis of regression analysis, only a weak positive correlation with anr2 value of 0.44 for the number of HSCs and eHPCs in young animals was observed (Figure2A). The number of HSCs and eHPC in old animals was also positively, but weakly, correlated (data not shown). Interestingly, we found a strong positive correlation (r2 = 0.83) between the change in the number of eHPCs and HSCs as animals age (Figure 2B). This finding reveals that, although we may not expect the number of HSCs and eHPCs to be regulated by the same regulatory pathways, we do so for the change in their numbers with age.12
Correlation between the number of HSCs and eHPCs.
(A) The number of HSCs and eHPCs are weakly correlated in young animals. (B) A strong correlation exists between the percentage of change with age in the number of HSCs and the percentage of change with age of the number of eHPCs. The number next to each data point refers to the BXD strain number. P = 1 × 10−4 for A and P = 3.8 × 10−9 for B.
Correlation between the number of HSCs and eHPCs.
(A) The number of HSCs and eHPCs are weakly correlated in young animals. (B) A strong correlation exists between the percentage of change with age in the number of HSCs and the percentage of change with age of the number of eHPCs. The number next to each data point refers to the BXD strain number. P = 1 × 10−4 for A and P = 3.8 × 10−9 for B.
Differentiation stage-specific linkage
We then identified genomic regions involved in the regulation of the number of eHPCs and HSCs. Trait values for the number of eHPCs and HSCs per femur in young and old animals of the BXD RI set were used to perform genome-wide searches for linked loci, based on a published strain distribution pattern (SDP) compiled specifically for the entire set of BXD strains.31 This SDP compilation is edited and contains on average a marker every 3.75 cM genome-wide. There are 2 major points to be made from the comparative linkage analysis shown in Table 1. First, a larger number of loci affect the femoral content of eHPCs and HSCs in young than in old animals (9 versus 5). Second, in both young and old animals, the same loci rarely affect both eHPC and HSC number, indicating that most are differentiation stage specific. Exceptions are a locus on chromosome 1 (38 cM) in young animals and loci on chromosomes 2 and 18 in old animals, which showed linkage to the determination of both eHPC and HSC number. As both cell types are close relatives in the hematopoietic hierarchy, this implies a stage-specific fine regulation of the number of primitive cell types in the HSC hierarchy.
Comparative quantitative trait linkage analysis
| . | Linked locus . | Trait . | |||
|---|---|---|---|---|---|
| Young animals (< 3 mo) . | Old animals (> 18 mo) . | ||||
| eHPCs/femur . | HSCs/femur . | eHPCs/femur . | HSCs/femur . | ||
| Chr1 | (D1Mit282, 38 cM) | B++ | B+++ | ||
| (D1Mit150, 100 cM) | D+ | ||||
| Chr2 | (D2Mit423, 72 cM) | B++ | B+++ | ||
| Chr3 | (D3Mit6, 24 cM) | D++ | |||
| Chr5 | (D5Mit352, 20 cM) | D++ | |||
| Chr7 | (D7Mit114, 8 cM) | D+ | |||
| (D7Mit145, 25 cM) | D+ | ||||
| (Hbb, 50 cM) | D++ | D+++ | |||
| Chr14 | (D14Mit45, 13 cM) | D++ | |||
| Chr15 | (D15Mit42, 59 cM) | B+ | |||
| Chr18 | (D18Mit53, 27 cM) | D+ | D++ | D++ | |
| ChrX | (DXMit38, 51 cM) | B++ | |||
| . | Linked locus . | Trait . | |||
|---|---|---|---|---|---|
| Young animals (< 3 mo) . | Old animals (> 18 mo) . | ||||
| eHPCs/femur . | HSCs/femur . | eHPCs/femur . | HSCs/femur . | ||
| Chr1 | (D1Mit282, 38 cM) | B++ | B+++ | ||
| (D1Mit150, 100 cM) | D+ | ||||
| Chr2 | (D2Mit423, 72 cM) | B++ | B+++ | ||
| Chr3 | (D3Mit6, 24 cM) | D++ | |||
| Chr5 | (D5Mit352, 20 cM) | D++ | |||
| Chr7 | (D7Mit114, 8 cM) | D+ | |||
| (D7Mit145, 25 cM) | D+ | ||||
| (Hbb, 50 cM) | D++ | D+++ | |||
| Chr14 | (D14Mit45, 13 cM) | D++ | |||
| Chr15 | (D15Mit42, 59 cM) | B+ | |||
| Chr18 | (D18Mit53, 27 cM) | D+ | D++ | D++ | |
| ChrX | (DXMit38, 51 cM) | B++ | |||
In the first column all loci that were mapped with an at least suggestive linkage value are shown with their peak centimorgan (cM) position. The type of capital letter indicates which segment (either DBA/2 [D] or C57BL/6 [B] derived) is responsible for a higher trait value. The linkage analysis for the hematopoietic traits was based on trait values of all then-available 26 strains, and the linkage analysis for the hematopoietic traits in old animals included trait values of 20 strains. The BXD marker database contains 319 marker loci with a complete strain distribution pattern, providing on average a 3.75-cM mapping resolution. On the basis of a 5000-permutation test, for all linked loci the suggestive, significant, and highly significant likelihood ratio statistics (LRS) values were individually calculated: +, suggestive; ++, higher than suggestive and up to significant; and +++, above significant.
eHPC, early hematopoietic progenitor cell; HSC, hematopoietic stem cell.
Age-specific linkage
Figure 3 summarizes the change in contributions loci make to the determination of eHPC and HSC numbers as mice age, from 2 to 20 months. The locus on chromosome 18 at 27 cM is linked to the number of stem cells in young and old animals, with a combined logarithm of odds (LOD) score of 7.5. The locus on chromosome 7 at 50 cM is linked to the number of progenitor cells in young and old animals, with a combined LOD score of 10.1. This finding suggests that these 2 loci regulate the numbers of both HSCs and eHPCs over an entire lifetime. However, all the remaining loci contributed to the traits in an age-specific manner. The locus on chromosome 2 (72 cM), for example, is linked to the number of HSCs and eHPCs only in old animals, fulfilling requirements for a special “aging” locus. This locus seems to be the major determinant regulating the stem/progenitor cell number in old animals, resulting in the strong correlation between the change in number of eHPCs and HSCs with age (Figure 2). This implies that, besides the stage-specific regulatory patterns mentioned above, the number of eHPCs and HSCs depends on age-specific regulatory influences.
Change in the significance of linkage between young and old animals.
Loci that are linked to the number of eHPCs (A) and HSCs (B) in young versus old animals. Relative significance values (taken from Table 1: 0 = no linkage, 1 = +, 2 = ++, 3 = +++) are shown.
Change in the significance of linkage between young and old animals.
Loci that are linked to the number of eHPCs (A) and HSCs (B) in young versus old animals. Relative significance values (taken from Table 1: 0 = no linkage, 1 = +, 2 = ++, 3 = +++) are shown.
Nonlinear interaction of loci
It is possible that the interaction of loci/genes is nonlinear, a result consistent with epistasis. If there is epistasis between our linked loci, a congenic approach to study loci individually may not be possible. We, therefore, used a type of data analysis that identifies loci that do not act independently. The trait values of the BXD mice were grouped according to their genotype at the linked loci into every possible combination (either DBA or B6), taken 2 at a time (altogether 4 possibilities), and their average phenotypic values were compared. If the influence of the linked loci is additive, and, thus, their actions independent, the lines connecting the data points along the x-axis will be parallel. Deviation from this pattern points toward an interaction of the loci. Figure 4 shows the results of the analysis for the number of HSCs in young animals. All tested pair-wise combinations of linked loci showed independent action, except for linked loci on chromosome 5 and chromosome 1. In this combination, the B6 allele on chromosome 1 suppresses the influence of the DBA allele on chromosome 5. A similar analysis of eHPC number showed independent action for all linked loci (data not shown). Taken together, these findings reveal that nearly all of the linked loci act independently, making it possible to study most loci in congenic animals.
Independent action of loci linked to the number of HSCs.
The average trait values ± 1 SEM for the possible combinations of 2 loci and 2 allelic variations (4 possibilities) for all loci linked to the number of HSCs are shown.
Independent action of loci linked to the number of HSCs.
The average trait values ± 1 SEM for the possible combinations of 2 loci and 2 allelic variations (4 possibilities) for all loci linked to the number of HSCs are shown.
Congenic animals confirm linked loci
To experimentally verify the existence, function, and location of linked loci from Table 1, congenic animals were generated by a “speed” congenic approach.29 30 As B6D2F1 animals showed a trait value for the number of eHPCs and HSCs that was neither of the DBA nor of the B6 type (data not shown), neither the DBA nor the B6 alleles at the loci are dominant. This finding allowed us to analyze the influence of the linked loci in heterozygous congenic animals. The trait values presented in Figure 5A confirm loci on chromosome 7 regulating the number of eHPCs, as predicted by the data shown in Table 1. Congenic B6 animals, in which an interval on chromosome 7 containing the QTL was replaced by the DBA segment, switch to the DBA phenotype for numbers of eHPC. Conversely, congenic DBA animals, in which an interval on chromosome 7 was replaced by the B6 type genomic segment, convert to the B6 phenotype. In keeping with the prediction from Table 1 that these QTLs are stage specific, these loci do not confer a switch in the number of HSCs. Rather, the congenic animals maintain the recipient-strain pattern for this trait (Figure 5B), although the absolute number of HSCs was reduced in both congenic strains compared with their background strain. It should be noted that both congenic lines share the same genotype (heterozygous) at the interval on chromosome 7 that contains the linked loci, but their trait values for numbers of eHPCs are significantly different. This finding supports the function of the linked locus on chromosome 1 (38 cM). The B6 allele at this locus, provided by the recipient strain in B6.DBA congenic animals, increases eHPC numbers in B6.DBA animals. Conversely, the DBA allele, provided by the recipient strain in DBA.B6 congenic animals, decreases eHPC numbers in DBA.B6 animals. Overall, these results support the concept of a stage-specific regulatory pattern during stem cell differentiation.
Congenic mice confirm the presence of linked loci on chromosome 7 that influence early progenitor cell number.
Numbers of eHPCs (A) and HSCs (B) per femur in heterozygous congenic animals (B6.DBA chr.7 [0-37, 42-50 cM]/B6, DBA.B6 chr.7 [0-18, 23-50 cM]/DBA) are shown (see “Materials and methods”). The inbreeding coefficient for each line is 0.95; the remaining 5% donor genomic background was different in each animal and did not include any other mapped linked loci. The combined inbreeding coefficient for both congenic lines is 0.9975. P < .05 for numbers of eHPCs per femur for B6 versus B6.DBA, DBA versus DBA.B6, and B6.DBA versus DBA.B6; n = 10 for C57BL/6, n = 7 for DBA/2, n = 4 for B6.DBA, n = 6 for DBA.B6 eHPCs, and n = 1 for DBA.B6 HSCs. Mean values ± 1 SEM are shown.
Congenic mice confirm the presence of linked loci on chromosome 7 that influence early progenitor cell number.
Numbers of eHPCs (A) and HSCs (B) per femur in heterozygous congenic animals (B6.DBA chr.7 [0-37, 42-50 cM]/B6, DBA.B6 chr.7 [0-18, 23-50 cM]/DBA) are shown (see “Materials and methods”). The inbreeding coefficient for each line is 0.95; the remaining 5% donor genomic background was different in each animal and did not include any other mapped linked loci. The combined inbreeding coefficient for both congenic lines is 0.9975. P < .05 for numbers of eHPCs per femur for B6 versus B6.DBA, DBA versus DBA.B6, and B6.DBA versus DBA.B6; n = 10 for C57BL/6, n = 7 for DBA/2, n = 4 for B6.DBA, n = 6 for DBA.B6 eHPCs, and n = 1 for DBA.B6 HSCs. Mean values ± 1 SEM are shown.
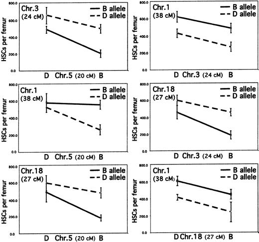
Linked loci determining numbers of HSCs in young animals were confirmed by animals doubly congenic for intervals on chromosome 3 and 5 (Figure6). Compared with the B6 strain, heterozygous B6.DBA animals show a 2-fold increase in the number of eHPCs and a 2.5-fold increase in the number of HSCs. Homozygous DBA.B6 animals show a 2-fold decrease in the number of eHPCs and HSCs compared with the DBA background strain. In this case, the congenic intervals also influence the number of eHPCs, a result not predicted by the linkage analysis in Table 1.
Congenic mice confirm the presence of linked loci on chromosome 3 and 5 that influence stem cell number.
Relative numbers of eHPCs and HSCs per femur of the congenic animals B6.DBA chr.3 [14-33 cM]/chr.5 [8-29 cM/B6] and DBA.B6 chr.3 (19-60 cM)/chr.5 (5-38 cM) compared with their background strain (either B6 or DBA) are shown. The inbreeding coefficient for the line B6.DBA is 0.98; the remaining 2% donor genomic background was different in each animal and did not include any other mapped linked loci. The homozygous line DBA.B6 shows an inbreeding coefficient of more than 99%.P < .05 for B6.DBA versus DBA.B6; n = 3 (BM pooled from 6 animals) for DBA.B6 and n = 6 for B6.DBA. Mean values ± 1 SEM are shown.
Congenic mice confirm the presence of linked loci on chromosome 3 and 5 that influence stem cell number.
Relative numbers of eHPCs and HSCs per femur of the congenic animals B6.DBA chr.3 [14-33 cM]/chr.5 [8-29 cM/B6] and DBA.B6 chr.3 (19-60 cM)/chr.5 (5-38 cM) compared with their background strain (either B6 or DBA) are shown. The inbreeding coefficient for the line B6.DBA is 0.98; the remaining 2% donor genomic background was different in each animal and did not include any other mapped linked loci. The homozygous line DBA.B6 shows an inbreeding coefficient of more than 99%.P < .05 for B6.DBA versus DBA.B6; n = 3 (BM pooled from 6 animals) for DBA.B6 and n = 6 for B6.DBA. Mean values ± 1 SEM are shown.
Possible candidate genes
Table 2 lists possible candidate genes in the vicinity of each of the linked loci. Although this compilation might be biased toward genes known to have a function in the hematopoietic system or in other stem cell types, and it can include only known genes, it is still surprising that almost all intervals contain genes that are known to have an influence on properties of HSCs. The table also lists the human syntenic regions, which allows cross-species comparison of the linked loci and their possible involvement in human disease.37 38
Candidate genes
| Locus (peak location) . | Possible candidate genes in this chromosomal region . | Human synteny . |
|---|---|---|
| Chr1 (38 cM) | Igfbp2 | 2q33-q35 |
| Igfbp5 | ||
| Dilute suppressor | ||
| Chemokine (C-X-C) receptor 2 | ||
| Chr1 (100 cM) | Stem cell frequency regulator 1 | 1q41-q43 |
| (Scfr1) | ||
| H2.0 like homeo box gene (Hlx) | ||
| Tgfb-2 | ||
| Chr2 (72 cM) | Il1a | 15p13-p22 |
| Il1b | 20p12-p13 | |
| FGF7 (by human synteny) | ||
| delta-like 4 homolog (by human synteny) | ||
| Bmp2 | ||
| Chr3 (24 cM) | Il2 | 3q25-p27 |
| Fgf2 | 4q26-p28 | |
| Chr5 (20 cM) | Il6 | 7p21-p15 |
| Hmx homeobox gene 1 | 4p15-p16 | |
| Fgfr3 | ||
| msh-like homeobox (formerly Hox7) | ||
| Chr7 (8 cM) | Est2 repressor factor | 19q13.1-q13.2 |
| Tgfb | ||
| delta-like 3 | ||
| Chr7 (25 cM) | Bax | 19q13.3-q13.4 |
| Egfbp1,2,3 | 11p15.1-p15.1 | |
| Flt31 | ||
| Rras | ||
| Stem cell growth factor (by human synteny) | ||
| Chr7 (50 cM) | Embryonic ectoderm development | 11q13-q13.5 |
| (eed) | ||
| Stromal interaction molecule 1 | 11p15-p15.5 | |
| Chr14 (13 cM) | Pkcd | 3pter-qter |
| Bmpr, type 1A, | 10q22-q22 | |
| Telomerase associated protein 1 | 14q11-q12 | |
| Bmp4 | ||
| Chr15 (59 cM) | Pdgf, endothelial cell | 12q12-q13 |
| Homeobox C cluster | ||
| Integrin alpha 5 | ||
| Integrin beta 7 | ||
| Chr18 (27 cM) | Fgf1 | 5q31-33 |
| Csfr1 | ||
| Pdgfrb | ||
| Caudal type homeo box-1 | ||
| ChrX (51 cM) | ? | Xq21-27 |
| Locus (peak location) . | Possible candidate genes in this chromosomal region . | Human synteny . |
|---|---|---|
| Chr1 (38 cM) | Igfbp2 | 2q33-q35 |
| Igfbp5 | ||
| Dilute suppressor | ||
| Chemokine (C-X-C) receptor 2 | ||
| Chr1 (100 cM) | Stem cell frequency regulator 1 | 1q41-q43 |
| (Scfr1) | ||
| H2.0 like homeo box gene (Hlx) | ||
| Tgfb-2 | ||
| Chr2 (72 cM) | Il1a | 15p13-p22 |
| Il1b | 20p12-p13 | |
| FGF7 (by human synteny) | ||
| delta-like 4 homolog (by human synteny) | ||
| Bmp2 | ||
| Chr3 (24 cM) | Il2 | 3q25-p27 |
| Fgf2 | 4q26-p28 | |
| Chr5 (20 cM) | Il6 | 7p21-p15 |
| Hmx homeobox gene 1 | 4p15-p16 | |
| Fgfr3 | ||
| msh-like homeobox (formerly Hox7) | ||
| Chr7 (8 cM) | Est2 repressor factor | 19q13.1-q13.2 |
| Tgfb | ||
| delta-like 3 | ||
| Chr7 (25 cM) | Bax | 19q13.3-q13.4 |
| Egfbp1,2,3 | 11p15.1-p15.1 | |
| Flt31 | ||
| Rras | ||
| Stem cell growth factor (by human synteny) | ||
| Chr7 (50 cM) | Embryonic ectoderm development | 11q13-q13.5 |
| (eed) | ||
| Stromal interaction molecule 1 | 11p15-p15.5 | |
| Chr14 (13 cM) | Pkcd | 3pter-qter |
| Bmpr, type 1A, | 10q22-q22 | |
| Telomerase associated protein 1 | 14q11-q12 | |
| Bmp4 | ||
| Chr15 (59 cM) | Pdgf, endothelial cell | 12q12-q13 |
| Homeobox C cluster | ||
| Integrin alpha 5 | ||
| Integrin beta 7 | ||
| Chr18 (27 cM) | Fgf1 | 5q31-33 |
| Csfr1 | ||
| Pdgfrb | ||
| Caudal type homeo box-1 | ||
| ChrX (51 cM) | ? | Xq21-27 |
Discussion
Our understanding of regulatory pathways that govern self-renewal and differentiation of HSCs, and thus determine the number of HSCs in the BM, remains poorly understood. In a forward genetic approach, using QTL analysis and congenic animals, we identified and confirmed linked loci that regulate the genetic variation in the HSC compartments of C57BL6 (B6) and DBA/2 (DBA) animals. QTL approaches have also been used successfully for the analysis of other complex quantitative traits.11,32,36 38-40 This type of approach is different from the more common reverse genetic approaches, which focus on proceeding from the genetic sequence of individual genes to their functional effect on HSC regulation. By using the BXD recombinant inbred set, we identified loci that showed linkage to the number of eHPCs and HSCs per femur. Because we analyzed HSCs and eHPCs in both young and old animals, we could further investigate age-related influences on the HSC compartment.
We extend our previous findings13,14 on loci that regulate traits in the HSC compartment in multiple ways. First, by using a new and more reliable database with better resolution, we describe new loci linked to the number of HSCs in young animals, including loci on chromosomes 1, 3, 5, and X. Animals doubly congenic for the loci on chromosome 3 and 5 confirmed our linkage analysis. Surprisingly, these loci also influence the number of eHPCs, which was not predicted by the linkage analysis. In the lack of solid evidence, we speculate that this influence on the number of eHPCs might be due to epistatic interactions between our introgressed intervals and loci in the background strains that were not detected by our type of interaction analysis. An influence on HSCs has been previously reported for loci on chromosome 1 (52 and 100 cM) and chromosome 11 (32 cM).11 In the latter study, which was also based on the analysis of BXD RI strains, loci were identified that influence the frequency of long-term culture-initiating cells, and the locus on chromosome 1 at 100 cM was confirmed by congenic animals. We show linkage of this locus on chromosome 1 to the number of HSCs as well, but we could not confirm linkage of the other loci on chromosome 1 and 11. This discrepancy is most likely due to the improvement in density and reliability of the marker database used in our analysis. Consistent with several observations that link genes on the X-chromosome to the regulation of HSCs in cats and humans,41 we report a locus on chromosome X that regulates the number of HSCs.16,42 By comparing the location of linked loci in young and old animals, we present strong evidence for the existence of a locus on chromosome 18 regulating the number of HSCs. Additional support for this locus comes from recently published data on 5q-deleted myelodysplastic syndromes.43The human 5q chromosomal region is syntenic to the linked locus on chromosome 18. It was reported that HSCs are dysregulated in this human disorder, a finding that links this region to stem cell regulation.
Second, we extended our linkage analysis to the number of eHPCs, progeny of HSCs in the hematopoietic hierarchy, and identified loci on chromosomes 1 and 7 that are involved in their regulation in young animals. Only one locus showed linkage to both HSC and eHPC number, underscoring the stage-specific regulation of eHPCs and HSCs. This finding is noteworthy because highly purified LIN−, Sca-1+, c-kit+ cells contain both eHPCs and HSCs, placing these cells in close proximity in the hierarchy.35 Our analysis of animals congenic for an interval on chromosome 7 confirmed this stage-specific regulation. Stage-specific regulation of stem and progenitor cells, based on gene expression analysis in in vitro cell differentiation assays and transplantation experiments, has already been reported for the murine7,44 and the human hematopoietic system.19 Unfortunately, these studies varied in the developmental stage of the progenitor cells analyzed, which makes it difficult to compare the results. But taken together, these types of observations will provide a more comprehensive picture of early stem and progenitor cell regulation.
Third, we report loci linked to the number of eHPCs and HSCs in old animals on chromosomes 2, 7, 14, 15, and 18. The locus on chromosome 2 qualifies as an “aging locus,” at which the B-allele seems to be primarily responsible for the expansion of the number of stem/progenitor cells in old B6 animals. As with the number of HSCs,13 eHPCs show dynamic changes with age: an expansion in old B6 animals and a slight reduction in old DBA animals. This is consistent with findings showing, by competitive repopulation, an increase in stem cell number in old B6 animals, and a reduction of stem cell function in old DBA animals.26 Comparison of the loci that showed linkage in young and in old animals revealed that the set of loci (genes) that regulates the number of stem cells changes over time. We assume that the “first time” generation in embryos and newborns of eHPCs and HSCs, their subsequent maintenance in young and middle-aged animals, and their preservation in old animals rely on different regulatory events with different loci (genes) involved. A developmental stage-specific differentiation of hematopoietic cells is already a well-known phenomenon.45 As independent findings clearly point toward a cell autonomous/intrinsic regulation of stem cell numbers,46-48 it remains unclear how a stem cell “senses” the age of the animal, unless this is tightly connected to the proliferative history of the stem cell itself.
The fact that our previous linkage analysis for the trait specifying the cell cycle kinetics of progenitor cells12 showed no coincident position with loci mapped in this analysis, suggests that cell cycling and the decision determining the type of division (symmetrical versus asymmetrical) are independent regulatory events. This understanding might help to find ways to optimize the in vitro expansion of HSCs. The relationship of cell cycling to numbers of cells was also addressed in 2 recent publications. Although studies using cytokine-supported expansion of human stem cells point to independent regulatory mechanisms for cycling and the number of cells,2 analysis of p21−/− animals revealed a connection between the percentage of HSCs in cell cycle and their number.22 A thorough analysis of congenic animals generated in our laboratory may help to unravel this difference.
Which are the genes in these QTL that regulate these traits? As the list of possible candidate genes shows, there are usually several genes in any given genomic segment that are logical candidates for a given phenotype (Table 2). Thus, every analysis based on linked loci has to move step by step, from the generation of congenic animals to fine mapping of the locus, and finally to positional cloning. We are currently pursuing this strategy.
We have presented evidence that a forward genetic approach, proceeding from phenotype to the underlying genes, gives new and important insights into the regulatory pathways that act on stem/progenitor cells. Despite the still evident problems in identifying the underlying gene of a QTL,49 we assume that, based on complete mouse sequence information, we will finally be able to clone the genes that regulate the number of stem and progenitor cells.
We thank C. Jordan for critically reading the manuscript and R. W. Williams for advice on statistical analyses.
Supported by grant AG16653 (to G.V.Z.) from the National Institutes of Health, a fellowship of the Deutsche Akademie der Naturforscher Leopoldina funded by the Bundesministerium für Bildung und Forschung (to H.G.), and a fellowship of the Netherlands Organization for Scientific Research (NWO) and of the Royal Netherlands Academy of Arts and Sciences (KNAW) (to G.d.H.).
The publication costs of this article were defrayed in part by page charge payment. Therefore, and solely to indicate this fact, this article is hereby marked “advertisement” in accordance with 18 U.S.C. section 1734.
References
Author notes
Gary Van Zant, Division of Hematology/Oncology, Departments of Internal Medicine and Physiology, University of Kentucky Medical Center, 800 Rose St, Lexington, KY 40536-0093; e-mail:gvzant1@pop.uky.edu.
![Fig. 1. Strain- and age-specific numbers of eHPCs. / Number of HSCs and eHPCs per femur in young and old B6 and DBA animals. Note the logarithmic y-axis. The data for the number of HSCs in young and old animals have been previously published.13 The differences in the number of HSCs between B6 and DBA and in the number of eHPCs between B6 and DBA in young and in old animals showed nonoverlapping 95% confidence intervals with P < .05 (n = 19 for young B6 animals, n = 16 for young DBA animals, n = 2 [BM pooled from 3 animals] for old B6, and n = 2 [BM pooled from 5 animals] for old DBA animals). Mean values ± 1 SEM are shown.](https://ash.silverchair-cdn.com/ash/content_public/journal/blood/98/10/10.1182_blood.v98.10.2966/5/m_h82211771001.jpeg?Expires=1765892979&Signature=wFeGfflvB1vuCgmoieFr0F0gZxKCl6662N5YHms4QkrdKjHzoQw4wFzik3hse4VeN1tpytaBeGQLm2l3qbgsfNkugqXIN8-vVN5EDCGyq-HYv-6SJroGIfpQRtL0oBy8nBcBHSsh1PgvHPRXecfKJFRxr9lcgbTflcZZVQ36EpItENT9DPGKwkv4Qfso~MAyCZetXv8l69NbLmZ9lpWOP7pkGjJlCtYP1ZbzUVz7~sDv-GKrXBatmUIxEzXGLzKkqR5MIdAJtH1VPtlx36CPynGW5Rr53gVjcoXH3o-R8GU6ZVpCIwNZT3qa2U2I969gxVq4ctktJeK3l4FPCQBJew__&Key-Pair-Id=APKAIE5G5CRDK6RD3PGA)



![Fig. 5. Congenic mice confirm the presence of linked loci on chromosome 7 that influence early progenitor cell number. / Numbers of eHPCs (A) and HSCs (B) per femur in heterozygous congenic animals (B6.DBA chr.7 [0-37, 42-50 cM]/B6, DBA.B6 chr.7 [0-18, 23-50 cM]/DBA) are shown (see “Materials and methods”). The inbreeding coefficient for each line is 0.95; the remaining 5% donor genomic background was different in each animal and did not include any other mapped linked loci. The combined inbreeding coefficient for both congenic lines is 0.9975. P < .05 for numbers of eHPCs per femur for B6 versus B6.DBA, DBA versus DBA.B6, and B6.DBA versus DBA.B6; n = 10 for C57BL/6, n = 7 for DBA/2, n = 4 for B6.DBA, n = 6 for DBA.B6 eHPCs, and n = 1 for DBA.B6 HSCs. Mean values ± 1 SEM are shown.](https://ash.silverchair-cdn.com/ash/content_public/journal/blood/98/10/10.1182_blood.v98.10.2966/5/m_h82211771005.jpeg?Expires=1765892979&Signature=PkIeCh~7zJ-mINc5VwCS-HL-8ZuNdO254jUD68py~5HjXHkEPMSDPkXVuKHGrgsPJUa-M-Dxaowxgxr1eqkINzi4qxqeqSRLt1ISyoPQDCKyxTuuRnLzAWkikVO5T3kWqeAqIL4pPuhsci6Q9R-iQZwGjmIYXEG2U3YTyHz7V8WhN11hxPWR5CGGZ5eIg8VuoIqE7K6bOFuPQuRi9n5xNOqPIu15UyFzD~3NTV0KZU6J6DQFsT3gzq1VJYfDtzV8A2qEGwINjwpn35YNZkpDLZ7W1kGQfT8aDuXUTr3sWuSeSiLaWDvqKhNT-zlCjdoRKRkHML7cQTJz~RRvFVMMhQ__&Key-Pair-Id=APKAIE5G5CRDK6RD3PGA)
![Fig. 6. Congenic mice confirm the presence of linked loci on chromosome 3 and 5 that influence stem cell number. / Relative numbers of eHPCs and HSCs per femur of the congenic animals B6.DBA chr.3 [14-33 cM]/chr.5 [8-29 cM/B6] and DBA.B6 chr.3 (19-60 cM)/chr.5 (5-38 cM) compared with their background strain (either B6 or DBA) are shown. The inbreeding coefficient for the line B6.DBA is 0.98; the remaining 2% donor genomic background was different in each animal and did not include any other mapped linked loci. The homozygous line DBA.B6 shows an inbreeding coefficient of more than 99%.P < .05 for B6.DBA versus DBA.B6; n = 3 (BM pooled from 6 animals) for DBA.B6 and n = 6 for B6.DBA. Mean values ± 1 SEM are shown.](https://ash.silverchair-cdn.com/ash/content_public/journal/blood/98/10/10.1182_blood.v98.10.2966/5/m_h82211771006.jpeg?Expires=1765892979&Signature=A591PLnP0-YfKxxdKP7oYALSyBWx4iRKnBN3DTMvchOXZFo1-M~W4DwbpV47U~WGcVWwqiJDwkffTobCZokazMh6xkP6YNQbPoRRrSJAy2Fl4ZhxPUPKPKnLUuhga-giM2bARcGNHal4uicwyr5taGiK4ajG~qQNn5AuIaxo6vaRKSpMu8xIP3W2rv1pPPMsTi5uPEuATqugeOEJyUlTCN2TLFvRWScpH9QgmskagD70mMJQprhWtNbNzvsQftkHvQBajcSdkZqCCEDtV0OdztAIMCemfWE3xhT2RP7COGiY6ZNG-quvbhCRm~k-7e5KCtvwkPqdjdG9X0ItyBCa1w__&Key-Pair-Id=APKAIE5G5CRDK6RD3PGA)
This feature is available to Subscribers Only
Sign In or Create an Account Close Modal