Abstract
Introduction: COVID-19 is associated with venous thromboembolic (VTE) events, which are predictors for poor outcomes. Beyond d-dimer, there is a dearth of robust studies evaluating the association between VTE and clinical biomarkers. Our prior study established an association between immature platelet fraction (IPF%) and outcomes in COVID-19, specifically mortality and ICU admission. We expand on this by investigating the relationship between IPF% and acute 60-day VTE events in COVID-19 with a larger cohort.
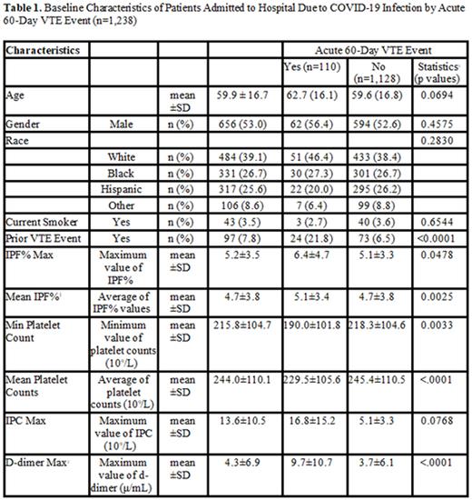
Methods: 1238 patients admitted with COVID-19 were analyzed. Various demographic factors and laboratory values, including IPF%, d-dimer, and platelet count were extracted. Charts were reviewed for 60-day VTE events. We assessed the relationship between 60-day VTE events and peak IPF% (IPF% max), lowest value of platelet counts (min platelet count), peak values of immature platelet counts (IPC max). In addition, the study also assessed the relationship between acute 60-day VTE events and average IPF% values (mean IPF%), average platelet counts (mean platelet count), maximum d-dimer (d-dimer max), and average d-dimer (mean d-dimer). Kaplan-Meir curves, Cox proportional hazard, and Cox time-varying covariate models were used to conduct time-to-event analyses to test associations between the selected inflammatory biomarker measures and increased risk of 60-day acute VTE events in our cohort.
Results: 110 (9%) patients had an acute VTE event within 60 days of COVID-19 diagnosis. Maximum d-dimer is predictive of acute 60-day VTE events in the Cox proportional hazard model (HR 1.04, 95% CI 1.02-1.06, p<0.01). Additionally, prior VTE event is predictive of acute 60-day VTE event in COVID-19 in the Cox proportional hazard model (HR 2.1, 95% CI 1.4-3.8, p<0.01). However, elevated mean IPF% and IPF% max were higher in patients with VTE (IPF% max 6.4±4.7 vs. 5.1±3.3, p=0.0478; mean IPF% 5.1±3.4 vs.4.7±3.8, p=0.0025) (table 1). In the Cox proportional hazard model, neither mean IPF% nor IPF% max are predictive of VTE.
Discussion: Predictive biomarkers for thromboembolism in COVID-19 is an unmet need. This study demonstrates that prior VTE events and maximum d-dimer are predictive of 60-day VTE events but not reticulated (immature) platelets in hospitalized COVID-19 patients. Current prophylactic anticoagulation recommendations in COVID-19 hospitalized patients are broadly based on the patient's clinical acuity, and there is a need for more personalized anticoagulation measures. Use of patient VTE history, clinical scenario, and biomarkers, in conjunction, would provide a more patient-centered approach to anticoagulation practice in hospitalized COVID-19 patients.
Disclosures
No relevant conflicts of interest to declare.
Author notes
Asterisk with author names denotes non-ASH members.

This feature is available to Subscribers Only
Sign In or Create an Account Close Modal