Abstract
Introduction
Classical Myeloproliferative Neoplasms (MPN) are hematopoietic stem cell diseases characterized by inflammation, promotion of atherosclerosis, hypercoagulability, fibrosis, and clonal evolution. Our previous studies led us to the construction of a model, called "the circulating wound", for the likely exploitation of tissue factor (TF)-dependent thrombin generation and the consequent amplification of pro-fibrotic mechanisms mediated by Protease Activated Receptors (PARs). The indirect demonstration of PARs hyperactivation is the marked reduction of platelet fibrinogen receptors (PFRs) in patients with MPNs, following the rapid conversion of functional fibrinogen to fibrin. Acetylsalicylic acid (ASA), endowed with hypoprothrombinemic and hyperfibrinolytic properties, could restore the expression of PFRs.
The aim of the present study is to verify the existence of imbalances in hemostatic function in rotational thromboelastometry (ROTEM), with respect to the different classical forms of MPN, their cell counts, the presence of genetic mutations in Next Generation Sequencing (NGS), PFR expression, the use of ASA and the history of vascular events.
Methods
We enrolled 53 patients affected by MPNs, naïve from any therapy, with the only exception of ASA (taken by 50% of patients). We used the samples to run assays of genetics (30-gene panel in NGS - SOPHiA Myeloid Solution™, SOPHiA Genetics, Switzerland), cytofluorimetric determination of PFRs, global coagulation by rotational tromboelastometry (ROTEM® Delta, Werfen, Spain) for INTEM, EXTEM, FIBTEM parameters.
Results
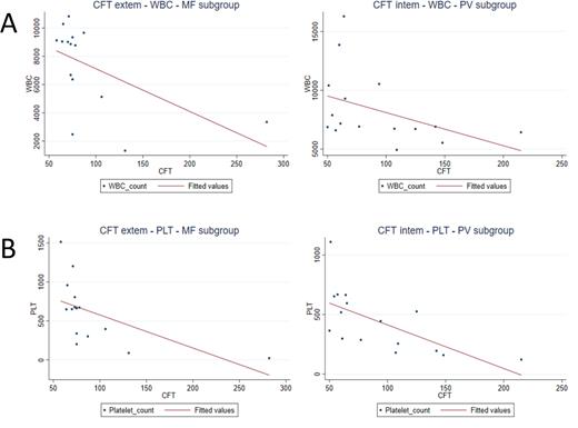
We found that ROTEM parameters show significant divergence depending on disease type, cell number and some mutations. The results should be read in terms of "efficiency" or "preferential use" of one pathway over another, as the instrument (as expected) mostly yields values in the ranges. Essential thrombocythemia (ET) and CALR mutation exhibit preserved efficiency of both classical coagulation pathways, with significantly more contracted clot formation times (CFTs). In contrast, primary myelofibrosis (PMF) and polycythemia vera (PV) show greater imbalances in the hemostatic system. PV patients have longer CFTs (EXTEM 114 sec, p= 0.008, INTEM 82 sec, p=0.027) and selective contraction of parameters in INTEM for higher counts of platelets (Plt), white blood cells (WBC) and hemoglobin (Hb). PMF - in contrast - seems to exploit the extrinsic pathway (EXTEM) more - see figure. Multivariate analysis gives Hb levels the largest contribution to the alterations, while only Plt retain statistical significance in PMF and ET.
Selected mutations are associated with changes in ROTEM parameters. Among the DTA mutations, the presence of DNMT3A shows a significant reduction in clotting time (CT) in EXTEM, while ASXL1 is associated with reduced maximum lysis (ML). EZH2 could be responsible for CFT elongations in the INTEM assay.
In addition, increased expression of PFRs is associated with bleeding history and sustained FIBTEM CT under ASA prophylaxis.
Conclusions In more indolent MPNs (such as ET, especially if CALR mutated) the balance and efficiency of the classical pathways are preserved. In PMFs, the hemostatic system is unbalanced toward the extrinsic pathway, confirming the link between increased fibrosis and plasma-dependent hypercoagulable states. The experiment also provides further evidence of the robustness of the "circulating wound" model. Rheological characteristics and endothelial stress in PV appear to result in increased involvement of the intrinsic pathway.
Interestingly, mutations involving genes that regulate DNA methylation are confirmed to interfere with hemostatic balance.
Finally, excessive restitution of PFR expression by ASA appears to be related to the history of bleeding events, making their cytofluorimetric determination a potential tool for monitoring antiplatelet prophylaxis.
Disclosures
Lucchesi:Grifols: Consultancy, Speakers Bureau; Novartis: Consultancy, Speakers Bureau; Amgen: Consultancy, Speakers Bureau; Morphosys: Consultancy; Incyte: Speakers Bureau; Pfizer: Speakers Bureau; SOBI: Speakers Bureau; BMS: Speakers Bureau; Sanofi: Consultancy, Speakers Bureau. Bochicchio:werfen, Imstrumentation Laboratory: Consultancy, Honoraria. Martinelli:Celgene/BMS: Consultancy, Speakers Bureau; Stemline: Consultancy; Roche: Consultancy; Jazz Pharmaceuticals: Consultancy; Pfizer: Consultancy, Speakers Bureau; Abbvie: Consultancy; Daiichi Sankyo: Consultancy; Incyte: Consultancy; Astellas: Consultancy, Speakers Bureau. Napolitano:Bayer: Consultancy, Speakers Bureau; BIOFVIIIx: Consultancy; NovoNordisk: Consultancy, Speakers Bureau; Sobi: Consultancy; Amgen Novartis: Consultancy; CsL Behring: Consultancy; Kedrion: Speakers Bureau; Octapharma: Speakers Bureau; Takeda: Speakers Bureau; CSLBehring: Speakers Bureau.
Author notes
Asterisk with author names denotes non-ASH members.

This feature is available to Subscribers Only
Sign In or Create an Account Close Modal