Abstract
Introduction: Central nervous system (CNS) relapse is an uncommon but devastating complication occurring in about 2-10% of patients with diffuse large B-cell lymphoma (DLBCL). The CNS-IPI is a validated prognostic tool used to identify patients at high risk of CNS relapse. MYC and BCL2/BCL6 rearrangements (double-hit lymphoma- DHL) and non-GCB (NGCB) cell of origin may be at higher risk of CNS relapse. However, the ability of these molecular data to refine CNS-IPI risk prediction has not been assessed. In this study, we aimed to describe the impact of DHL and NGCB cell of origin in the incidence of CNS relapse in patients with newly diagnosed DLBCL.
Methods: A retrospective review was conducted to identify patients with newly diagnosed DLBCL from 01/01/2002 - 06/30/2015 using the University of Iowa/Mayo Clinic Lymphoma Molecular Epidemiology Resource database. Patients with primary CNS lymphoma or with CNS involvement at diagnosis were excluded. All patients received chemoimmunotherapy. Clinical, biological, laboratory and radiological data were abstracted including the occurrence of CNS relapse. CNS IPI risk score categories were defined as low- (≤1) intermediate- (2-3) and high-risk (≥4) as originally described (Schmitz et al, JCO 2016). Cell of origin (COO) classification into GCB and non-GCB subtypes was performed using Hans algorithm and/or NanoString data. Characteristics between groups were compared using Kruskal-Wallis or Chi-squared test as appropriate. Survival analysis was performed using Cox proportional hazards model and the Kaplan Meier method. Statistical analysis was performed using SAS version 9.4M5 and R version 4.0.3.
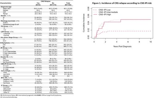
Results: We identified a total of 1,360 patients with newly diagnosed DLBCL. Patients had a median age of 62 years (range 18-93 years), were predominantly male (56%), had a performance status <2 (84%), had stage III/IV disease (61%) and an elevated LDH (56%) at diagnosis. Fluorescent in situ hybridization data was present for 65% of patients. Among patients with available data, DHL and NGCG COO represented 2.8% and 36% of the cohort, respectively. CNS IPI high- and intermediate-risk categories were present in 12.4% and 52% of the patients, respectively. R-CHOP was the most common upfront chemotherapy (n=980, 72%).
The median follow-up for the entire cohort was 84.9 months (IQR: 58.9-120.9). Overall, 50 patients (3.6%) had a CNS relapse during the study period. Lymphoma relapsed in the CNS in 3.0% (95% CI:2.1-4.4), 4.7% (95% CI: 3.4-6.3) and 4.9% (95% CI: 3.7-6.6)% of patients with CNS-IPI score of intermediate/high risk at 1, 3 and 5 years following the diagnosis of DLBCL. In patients with low risk CNS-IPI, 1.1% (95% CI: 0.4-2.5), 1.7% (95% CI: 0.9-3.4) and 1.7% (95% CI: 0.9-3.4) had a CNS relapse at 1, 3 and 5 years following DLBC diagnosis. Patients with CNS relapse were more likely to have elevated LDH (76% vs 56%, p=0.008), advanced stage (78% vs 61%, p=0.01), adrenal involvement (8% vs 2.4%, p=0.014) and have a CNS IPI intermediate risk (68% vs 51%), and high risk (16% vs 12.3%, p=0.014) at the time of initial diagnosis compared to patients without CNS relapse. Patients with CNS relapse had similar rates of DHL (4% vs 2.7%, p=0.17) and NGCB cell of origin (42% vs 36.2%, p=0.52) compared to patients without CNS relapse.
In the multivariable analysis, the strongest predictors for CNS relapse were CNS IPI high risk (Hazard Ratio [HR]= 3.6, 95%CI= 1.4-9.7) and CNS IPI intermediate risk (HR= 3.15, 95%CI= 1.46-6.81). DHL and NGCB cell of origin were not associated with a significantly higher risk of CNS relapse (HR= 1.79, [95%CI=0.42-7.59] and HR= 1.26, [95%CI=0.62-2.57], respectively).
Conclusion: CNS relapse was an uncommon occurrence in patients with DLBCL who were treated with chemoimmunotherapy. CNS IPI intermediate- and high-risk scores remain the strongest predictors of CNS relapse in patients with DLBCL after adjusting to biological high-risk variables including DHL and NGCB cell of origin. Larger studies are required to validate our findings due to the low incidence of CNS relapse in our cohort.
Farooq: Kite, a Gilead Company: Honoraria. Maurer: Kite Pharma: Membership on an entity's Board of Directors or advisory committees; Morphosys: Membership on an entity's Board of Directors or advisory committees, Research Funding; Celgene: Research Funding; Genentech: Research Funding; Pfizer: Consultancy, Membership on an entity's Board of Directors or advisory committees; Nanostring: Research Funding. Witzig: Karyopharm Therapeutics, Celgene/BMS, Incyte, Epizyme: Consultancy, Membership on an entity's Board of Directors or advisory committees; Celgene/BMS, Acerta Pharma, Kura Oncology, Acrotech Biopharma, Karyopharm Therapeutics: Research Funding. Habermann: Tess Therapeutics: Other: Data Monitoring Committee; Seagen: Other: Data Monitoring Committee; Incyte: Other: Scientific Advisory Board; Morphosys: Other: Scientific Advisory Board; Loxo Oncology: Other: Scientific Advisory Board; Eli Lilly & Co.,: Other: Scientific Advisor. Novak: Celgene/BMS: Research Funding.

This feature is available to Subscribers Only
Sign In or Create an Account Close Modal