
Introduction: Older pts with AML who are ineligible for intensive chemotherapy (IC) have dismal outcomes and limited therapeutic options. HMAs (azacitidine, AZA; decitabine, DEC) have been the de facto standard of care despite lack of clinical trial evidence for improved overall survival (OS). Median OS was 7.7 months (mo) for pts treated with DEC in the DACO-16 study; OS with AZA in the AML-001 study was 10.4 mo. Real-world evidence on the clinical benefits of HMAs are limited, with no evidence comparing AZA and DEC directly. As novel agents (e.g. venetoclax) are being approved in combination with HMA, understanding the real-life performance of HMA monotherapy is essential.
Methods: Using the Surveillance, Epidemiology, and End Results (SEER)-Medicare linked database, we assembled a population-based cohort of older adults diagnosed with AML during 2005-15 who: 1) were 66-99 years at diagnosis, 2) had continuous Medicare fee-for-service coverage from 1 year before diagnosis to death or the end of study (12/31/2016), whichever was earlier, and 5) initiated AZA or DEC monotherapy within 6 mos of diagnosis. We excluded pts with brief (≤7-day) chemotherapy-related hospitalization within 2 mos before HMA initiation to ensure that the captured outpatient HMA was the first AML therapy received. Outcomes included overall survival (OS) and red blood cell (RBC) transfusion status. Transfusion dependence (TD) was defined as >2 RBC transfusions during the current and preceding 8 weeks (and >2 weeks between transfusions). Transfusion independence (TI) was defined as no transfusions in a continuous 8-week period, after a period of transfusion use. Kaplan-Meier statistics and multivariable Cox proportional hazards models were used to examine associations between HMA type and RBC TI and OS. All statistical tests were two-sided using SAS.
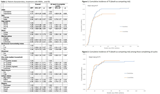
Results: Our cohort included 2,263 pts with a median age of 77 (interquartile range [IQR]: 72-82) years; 59% were males and 90% were white. Samples receiving AZA (n=1,154) or DEC (n=1,111) were similar. Pts received a median of 3 (IQR: 1-6) cycles. Only 42% of pts completed >4 cycles, with no difference between two agents. Of pts with RBC TD at time of HMA initiation (n=426), 33% eventually achieved TI, with no difference by HMA used (p=0.19) (Figure 1). Proportion achieving TI increased to 57% when evaluating pts receiving >4 cycles, again with no difference between the two agents (p=0.93) (Figure 2). Median time to TI was 14 (IQR: 10-20) weeks (wks) with a median TI duration of 17 (IQR: 5-38) wks. Of pts with RBC TD completing >4 cycles of HMA, median time to and duration of TI were 14 (IQR: 11-20) and 26.5 (IQR: 9-50) wks, respectively. In multivariable analysis, the choice of HMA agent had no impact on achieving TI among pts who had RBC TD at initiation (DEC vs AZA hazard ratio [HR]=0.82, 95% confidence interval [CI]: 0.58-1.16; p=0.26). Sex, age, race, comorbidity, disability status, median household income, state buy-in, or urban status additionally had no impact on achieving TI. Median OS for AZA and DEC pts was 7.1 and 8.2 mo, respectively. One-year and 2-year OS probability for AZA-treated pts was 31% and 9.4%, respectively. DEC-treated pts had 1-year and 2-year OS probabilities of 34% and 13.7%, respectively. In multivariable analysis, inferior OS was observed for pts treated with AZA (HR=1.11, 95% CI: 1.01-1.21; p=0.02) overall, and when limiting analysis to those pts receiving >4 cycles of HMA (HR=1.17, 95% CI: 1.02-1.35; p=0.03)(Table 1). Increasing age (p<.01) and Elixhauser morbidity score ≥3 (p<.01) were independently-associated with worse OS (Table 1).
Conclusions: We report one of the largest datasets examining the outcomes of older AML pts receiving HMAs in real-world setting. Population-level median OS observed with DEC was similar to that of DACO-016 trial (8.3 vs. 7.7 mos), while that for AZA was shorter than AML-001 trial (7.1 vs. 10.4 mo). The difference could be related to the trial designs (e.g. AML-001 allowed healthier, including IC-eligibile older pts) or suboptimal use of AZA in the community. One third of pts with RBC TD achieved TI with HMA therapy, with no difference between the 2 agents. While DEC appeared to confer an OS advantage compared to AZA, the absolute difference was small. Most pts did not complete >4 HMA cycles suggesting that combination HMA-based therapies with shorter time to response may be helpful to improve outcomes in this difficult-to-treat pt population.
Zeidan:Celgene Corporation: Consultancy, Honoraria, Research Funding; Abbvie: Consultancy, Honoraria, Research Funding; Otsuka: Consultancy, Honoraria, Research Funding; Pfizer: Consultancy, Honoraria, Research Funding; Medimmune/AstraZeneca: Research Funding; Boehringer-Ingelheim: Consultancy, Honoraria, Research Funding; Trovagene: Consultancy, Honoraria, Research Funding; Incyte: Consultancy, Honoraria, Research Funding; Takeda: Consultancy, Honoraria, Research Funding; ADC Therapeutics: Research Funding; Jazz: Honoraria; Ariad: Honoraria; Agios: Honoraria; Novartis: Honoraria; Astellas: Honoraria; Daiichi Sankyo: Honoraria; Cardinal Health: Honoraria; Seattle Genetics: Honoraria; Acceleron Pharma: Consultancy, Honoraria, Research Funding; BeyondSpring: Honoraria. Wang:Celgene Corporation: Research Funding. Podoltsev:AI Therapeutics: Research Funding; Kartos Therapeutics: Research Funding; Pfizer: Research Funding; Astex Pharmaceuticals: Research Funding; CTI Biopharma: Research Funding; Arog Pharmaceuticals: Research Funding; Alexion: Consultancy, Honoraria, Membership on an entity's Board of Directors or advisory committees; Pfizer: Consultancy, Honoraria, Membership on an entity's Board of Directors or advisory committees; Agios Pharmaceuticals: Consultancy, Honoraria, Membership on an entity's Board of Directors or advisory committees; Blueprint Medicines: Consultancy, Honoraria, Membership on an entity's Board of Directors or advisory committees; Incyte: Consultancy, Honoraria, Membership on an entity's Board of Directors or advisory committees; Novartis: Consultancy, Honoraria, Membership on an entity's Board of Directors or advisory committees; Boehringer Ingelheim: Research Funding; Astellas Pharma: Research Funding; Daiichi Sankyo: Research Funding; Sunesis Pharmaceuticals: Research Funding; Jazz Pharmaceuticals: Research Funding; Celgene: Other: Grant funding, Research Funding; Genentech: Research Funding; Samus Therapeutics: Research Funding. Huntington:Celgene: Consultancy, Research Funding; Bayer: Consultancy, Honoraria; Pharmacyclics: Honoraria; Genentech: Consultancy; AbbVie: Consultancy; DTRM Biopharm: Research Funding. Neparidze:Janssen Scientific Affairs, LLC: Research Funding; Eidos Therapeutics: Other: Member of Independent Diagnostic Committee; MMRF/Synteract: Membership on an entity's Board of Directors or advisory committees. Gore:Celgene Corporation: Consultancy, Research Funding. Davidoff:Celgene Corporation: Consultancy, Research Funding. Ma:Celgene Corporation: Research Funding.
Author notes
Asterisk with author names denotes non-ASH members.

This icon denotes a clinically relevant abstract

This feature is available to Subscribers Only
Sign In or Create an Account Close Modal