Background: Ruxolitinib, a potent JAK1/JAK2 inhibitor, has been proved to improved splenomegaly and debilitating myelofibrosis-related symptoms in several clinical trials. However, not much is known about the efficacy of ruxolitinib, especially low-dose ruxolitinib, in real world patients in China. Here we assess the efficacy of ruxolitinib in treatment of patients with myeloproliferative neoplasms associated myelofibrosis (MPN-MF) in real world and to analyze factors affect the treatment efficacy.
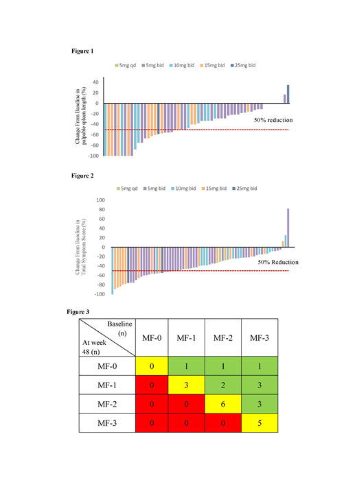
Methods and Results: From July 2017 to June 2019, data of MPN-MF patients treated with ruxolitinib in West China hospital, Sichuan University, China, were retrospectively collected and analyzed. Logistic regression was used for univariate and multivariate analysis of binary variables. Simple linear regression was used in univariate analysis of continuous variables, and multiple linear regression was used in multivariate analysis of continuous variables. Dose of ruxolitinib were decided according to platelet count and financial condition of patients. Of 72 MPN-MF patients, 1 patient was treated with ruxolitinib in an initial dose of 5mg qd, 37 patients with 5mg bid, 15 patients with 10mg bid, 2 patients with 25mg bid. At week 12, 89.3% of patients achieved reduction from baseline in palpable spleen length, of which 44.6% patients achieved ≥50% reduction (Figure 1) ; 95.6% patients achieved reduction from baseline in Total Symptom Score (TSS), of which 44.6% patients achieved ≥50% reduction(Figure 2). At week 48, all 25 patients with bone marrow biopsies achieved improved or stable bone marrow fibrosis grading from baseline, of which 44.0% improved (Figure 3). Both univariate analysis and multivariate analyses showed higher dose of ruxolitinib (>5mg bid VS ≤5mg bid and>10mg bid VS ≤10mg bid) was the major factor associated with better spleen response(P<0.05). Multivariate analyses showed higher dose of ruxolitinib (>10mg VS ≤10mg) was the only factor associated with better TSS improvement(P<0.05).
Conclusion These data indicated that ruxolitinib treatment provided reduction in spleen, improvement in symptoms and stable or improve bone marrow fibrosis in Chinese MPN-MF patients. Although some MPN-MF patients derived benefit at low-dose ruxolitinib, higher dose were associated with better spleen and symptom responses.
Legends to figures
Figure 1: Percent change from baseline in palpable spleen length at week 12 for individual patients. Only patients with palpable spleen length measurements at baseline and week 12 (n=56) were included. qd: once daily, bid: twice daily
Figure 2: Percent change from baseline in TSS at week 12 for individual patients. Only patients with TSS measurements at baseline and week 12 (n=68) were included. qd: once daily, bid: twice daily
Figure 3: Change in marrow histomorphologic features in 25 patients at week 48. Green: fibrosis improved, Yellow: fibrosis stable, Red: fibrosis progress
No relevant conflicts of interest to declare.
Author notes
Asterisk with author names denotes non-ASH members.

This feature is available to Subscribers Only
Sign In or Create an Account Close Modal