Introduction: High-dose chemotherapy followed by autologous stem-cell transplantation (auto-HCT) is standard of care for patients with relapsed or primary refractory classical Hodgkin lymphoma (cHL). Brentuximab vedotin (BV) consolidation after auto-HCT improves progression-free survival of cHL patients with primary refractory disease and high risk for relapse as seen in the AETHERA trial. There are no published reports of BV consolidation post auto-HCT in cHL patients treated in developing countries. The aim of this study is to determine the clinical outcomes and safety of BV consolidation after auto-HSCT in a cohort of Colombian patients with relapsed or refractory (R/R) cHL.
Methods: A retrospective cohort study was conducted at ten tertiary referral centers in five cities in Colombia. Data from patients with R/R cHL who underwent auto-HCT followed by BV consolidation was collected and analyzed. Descriptive statistics were used to analyze patient's demographic characteristics. The Kaplan-Meier method was used to assess overall survival (OS) and progression-free survival (PFS) rates and log-rank test was used to compare survival between groups. All data were analyzed by R Studio software.
Results: Fifty-three patients with a confirmed diagnosis of cHL were included, 49,1% were women. Median of age at auto-HCT was 29 years (range 17 - 66). The most frequently used frontline regimen was ABVD 90,6%. Median number of treatment lines including auto-HCT was 3 (range 2 to 7). 83% of patients had BV consolidation after 1stAUtoHCT and 17% after 2 auto-HCT. The most common high-risk feature before auto-HCT was primary refractory cHL (54,7%). Responses were determined by Lugano criteria. However, unconfirmed complete responses (uCR) per 2007 IWC criteria were used due to lack of PET-CT availability of evaluation in some centers, where CT scan were used. The overall rate (ORR) before auto-HCT was 94,4% with complete response (CR) in 28,3%, uCR 20,8% and partial response (PR) in 45,3% of patients. The ORR after auto-HCT was 90,5% with CR in 52,8%, uCR in 22,6%, and PR 15,1%. Table1.
A total of 531 BV cycles were administered as post auto-HCT consolidation with a median of 11 cycles (range 1-16). A median of 23 days between each cycle was documented (range 7-210 days). The most common grade 3-4 toxicities were peripheral neuropathy (18,8%), fatigue (9,4%), weight loss (5,6%).
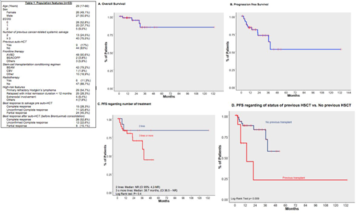
OS at 132 months was 92,5% (CI95%: 4,9 - NR) (Figure A), and the median PFS was not reached (CI 95%: 36.5 months - Not reached) with 75,5% PFS at 132 months, with a mean of follow-up of 23,5 months (Range: 4,2 - 133,2 months) (Figure B). There was a trend towards worse PFS in patients treated with ≥ 3 regimens before auto-HCT Median: 38.7 months, (CI 95%: 36.5 - NA) Vs. 2 lines: Median: NR (CI 95%: 4,2-NR) P= 0.4.(Figure C). Also patients that required a second transplant followed by BV consolidation had a worse PFS, compared to the ones that underwent BV consolidation post first auto-HCT: median: 13.6 months (CI 95%: 6.7- NR)Vs. median: NR (CI95%: 38,7 - NR) respectively p=0,009 (Figure D). Twelve patients relapsed and 4 patients died form disease progression.
Conclusions: BV consolidation after auto-HCT in high-risk R/R cHL patients treated in a developing country setting seems to be a safe and effective treatment. Although OS and PFS were slightly superior to the ones reported in the AETHERA trial, the mean of follow-up in our analysis is shorter. Another shortcoming of our analysis are the inherit limitation of a retrospective cohort. These retrospective results need to be assessed in prospective trials that specifically includes Latin-American with high-risk patients with R/R cHL.
Patiño:Amgen: Speakers Bureau. Enciso-Olivera:Takeda: Speakers Bureau. Otero-de la Hoz:Takeda: Speakers Bureau. Martínez Cordero:Takeda: Speakers Bureau. Karduss:Takeda: Membership on an entity's Board of Directors or advisory committees, Speakers Bureau. Abello:Takeda: Other: Participation in advisory board meeting. Sandoval-Sus:Seattle Genetics: Membership on an entity's Board of Directors or advisory committees.
Author notes
Asterisk with author names denotes non-ASH members.

This feature is available to Subscribers Only
Sign In or Create an Account Close Modal