Background: For patients with acute myeloid leukemia (AML) who were classified as high risks, failed to achieve complete remission, or relapsed disease after remissions, allogeneic hematopoietic stem cell transplantation (allo-HSCT) offers the chance of durable remission and the potential to cure. In the absence of 8/8 matched donors, an HLA 1-allele mismatched (7/8 1-MM) unrelated donor is an alternative source of hematopoietic stem cell. However, the impact of HLA homozygosity at 1-MM on the outcome and the consensus at desirable donor screening in 7/8 HLA mismatched is not yet clear. A 1-MM in the host-versus-graft (HVG) direction is a 7/8 unidirectional mismatch for a homozygous recipient receiving a graft from a heterozygous donor. A 1-MM in the graft-versus-host (GVH) is for a heterozygous recipient receiving a graft from a homozygous donor. 7/8 bidirectional mismatch is a heterozygous recipient receiving a graft from heterozygous donor. From the biological perceptions, the impact of different histocompatibility transplantations may differ on the prognosis. This study evaluated the outcome of unidirectional and bidirectional 7/8 mismatches in recipients receiving either bone marrow or peripheral blood hematopoietic stem cell for AML patients.
Methods: Patients who were at least 12 years of age with AML receiving first hematopoietic stem cell transplantation from a serologically HLA-A, -B, -C, and -DR allele data were included in our study between 2009 and 2014. Data were obtained from Taiwan Society of Blood and Marrow Transplantation (TBMT) Research Database. We excluded those who received HLA-matched sibling grafts, HLA-haploidentical grafts, or unrelated donors who had more than 1-allele mismatch. Those who lacked the clinical information on survival status or survival date were also eliminated. Patients were divided into four histocompatibility groups based on typing at HLA-A, -B, -C, and -DR as unidirectional 7/8 HVG, unidirectional 7/8 GVH, bidirectional 7/8, and 8/8 matched group. Descriptive statistics were used to describe the patients' characteristics, disease status on the time receiving HSCT, intensity of conditioning regimen and treatment features. Associations between four groups and outcomes of overall survival, relapse-free survival, acute GVHD, chronic GVHD, treatment-related mortality (TRM), relapse rate, neutrophil engraftment, engraftment syndrome, and engraftment failures were reviewed.
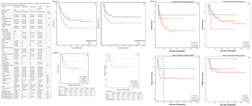
Results: A total of 222 recipients of all-HSCT were included in the analysis. The four comparison groups included nine patients designated as 1-MM HVG, nine as 1-MM GVH, 71 as 1-MM bidirectional, and 133 as 8/8 matched group. Table 1 shows patient and transplant characteristics. Superior overall survival was significantly associated with the higher intensity of induction regimen (myeloablative conditioning, MAC and reduced intensity conditioning, RIC, p<0.05) and the disease status on the time receiving allo-HSCT (p=0.1). Relapse-free survival was significantly decreased with RIC regimen (p < 0.05, figure 1). The cumulative 5-year overall survival rate was 75% in the 1-MM HVG group, 50% in the 1-MM GVH group, 50% in the 1-MM bidirectional group, and 44% in the 8/8 matched group. Median survival of 1-MM HVG and 8/8 matched group didn't reach under analysis, and which is 62.2 months in 1-MM GVH, 30.9 months in 1-MM bidirectional group. The outcome of overall survival was more favorable in the 1-MM HVG group (Figure 2 and Figure 3), especially comparing with 1-MM bidirectional group (p=0.07), where there was no significant difference between 8/8-matched group and 1-MM GVH group or the 1-MM bidirectional group. Superior overall survival and relapse free survival was observed in 1-MM HVG group, although the differences were not statistically significant. Hyper-acute GVHD was slightly higher in 7/8 bidirectional group, while no significant difference was observed in acute and chronic GVHD among four groups. The primary causes of death were reviewed. 8/8 matched group had higher deaths attributed to disease relapse (26.3%), while 1-MM GVH group had more deaths attributed to GVHD (22.2%).
Conclusion: Myeloabltive conditioning regimen is associated with more favorable outcomes of overall survival and relapse free survival. 1-MM HVG also tends to have superior overall survival and relapse free survival, although there is no statistical significance due to limited cases.
No relevant conflicts of interest to declare.
Author notes
Asterisk with author names denotes non-ASH members.

This feature is available to Subscribers Only
Sign In or Create an Account Close Modal