[Background]
Previous studies have shown that a graft-versus-leukemia (GVL) effect was augmented in patients who developed graft-versus-host disease (GVHD). The benefit of the GVL effect is counter-balanced by treatment-related mortality (TRM) due to GVHD. In addition, the development of the ability to detect minimal residual disease (MRD) has changed the landscape of risk stratification. Therefore, patients with positive-MRD require a more intensive GVL effect to reduce relapse, whereas a "mild" GVL effect may be sufficient in patients with negative-MRD. However, it is uncertain whether the influence of a GVL effect would differ depending on the MRD status at HSCT. Here, we conducted a nationwide retrospective study to evaluate the impact of GVHD and a GVL effect according to the MRD status for Philadelphia chromosome-positive acute lymphoblastic leukemia (Ph-positive ALL) in the TKI era.
[Patients & Methods]
Clinical data were obtained from the Transplant Registry Unified Management Program (TRUMP), which is the registry database of the Japan Society for Hematopoietic Cell Transplantation (JSHCT). We examined 1022 recipients who underwent their first allogeneic hematopoietic stem cell transplantation (HSCT) for Ph-positive ALL in first complete remission between 2005 and 2017. We excluded patients who lacked MRD status at HSCT or who received in vivo T-cell depletion or high-dose post-transplantation cyclophosphamide. The impacts of acute GVHD (aGVHD) and chronic GVHD (cGVHD) as time-dependent covariates on transplant outcomes were analyzed while adjusting for other significant variables in multivariate analyses. In the analysis of cGVHD, only patients who survived at least 100 days without hematological relapse were included. This retrospective study was approved by the data management committee of TRUMP and by the Institutional Review Board of Jichi Medical University Saitama Medical Center.
[Results]
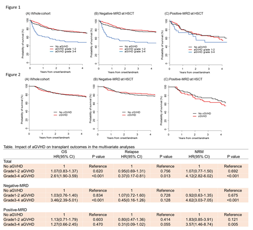
The median age at HSCT was 45 years (range, 16 to 71 years). MRD status at HSCT was negative in 791 (77.4%) and positive in 231 (22.6%). The median observation period of the survivors was 1505 days (range, 18 to 4944 days). To graphically illustrate the impacts of aGVHD and cGVHD, a Simon-Makuch plot were drawn in the whole cohort and in the groups limited to negative-MRD and positive-MRD at HSCT (Figure 1 and 2). The impacts of acute GVHD on overall survival, hematological relapse, and non-relapse mortality (NRM) were summarized in Table. In multivariate analyses, the HRs for hematological relapse with positive-MRD at HSCT (0.80 for grade 1-2 aGVHD and 0.31 for grade 3-4 aGVHD) were smaller than those with negative-MRD at HSCT (1.07 for grade 1-2 aGVHD and 0.45 for grade 3-4 aGVHD), respectively. In addition, the risk of hematological relapse gradually decreased proportionally to the severity of aGVHD. Because the risks of NRM for grade 1-2 aGVHD were not significant regardless of MRD-positivity, grade 1-2 aGVHD was not significantly associated with superior overall mortality. Grade 3-4 aGVHD was significantly associated with inferior overall survival in the whole cohort and in the group limited to negative-MRD at HSCT because of high NRM. Meanwhile, grade 3-4 aGVHD was not significantly associated with overall mortality due to the potent GVL effect in the analysis limited to positive-MRD at HSCT.
In the analysis of cGVHD, although cGVHD reduced the risk of hematological relapse, the survival advantage of cGVHD was not significant regardless of MRD-positivity. Because the NIH severity score was not available in our database, further evaluations of cGVHD considering the severity score are needed.
[Conclusion]
Our study showed that both MRD status at HSCT and the severity of aGVHD might be associated with the intensity of a GVHD-associated GVL effect for Ph-positive ALL. However, because GVHD had no apparent survival benefit regardless of MRD-positivity at HSCT or the severity of GVHD, less intensive GVHD prophylaxis to obtain the GVL effect is not recommended for Ph-positive ALL.
Kanda:Nippon-Shinyaku: Research Funding; Kyowa-Hakko Kirin: Consultancy, Honoraria, Research Funding; MSD: Research Funding; Shionogi: Consultancy, Honoraria, Research Funding; Chugai: Consultancy, Honoraria, Research Funding; Takeda: Consultancy, Honoraria, Research Funding; Chugai: Consultancy, Honoraria, Research Funding; Alexion: Consultancy, Honoraria; Pfizer: Research Funding; Novartis: Research Funding; Dainippon Sumitomo: Consultancy, Honoraria, Research Funding; CSL Behring: Research Funding; Bristol-Myers Squibb: Consultancy, Honoraria; Pfizer: Research Funding; Tanabe Mitsubishi: Research Funding; Sanofi: Research Funding; Celgene: Consultancy, Research Funding; Taiho: Research Funding; Astellas: Consultancy, Honoraria, Research Funding; Bristol-Myers Squibb: Consultancy, Honoraria; Eisai: Consultancy, Honoraria, Research Funding; Otsuka: Research Funding; CSL Behring: Research Funding; Dainippon Sumitomo: Consultancy, Honoraria, Research Funding; Kyowa-Hakko Kirin: Consultancy, Honoraria, Research Funding; Sanofi: Research Funding; Taisho-Toyama: Research Funding; Asahi-Kasei: Research Funding; Taiho: Research Funding; Tanabe Mitsubishi: Research Funding; Takeda: Consultancy, Honoraria, Research Funding; Novartis: Research Funding; Celgene: Consultancy, Research Funding; Mochida: Consultancy, Honoraria; Astellas: Consultancy, Honoraria, Research Funding; Alexion: Consultancy, Honoraria; Eisai: Consultancy, Honoraria, Research Funding; Takara-bio: Consultancy, Honoraria; Otsuka: Research Funding; Asahi-Kasei: Research Funding; Mochida: Consultancy, Honoraria; Taisho-Toyama: Research Funding; Ono: Consultancy, Honoraria, Research Funding; MSD: Research Funding; Ono: Consultancy, Honoraria, Research Funding; Nippon-Shinyaku: Research Funding; Shionogi: Consultancy, Honoraria, Research Funding; Takara-bio: Consultancy, Honoraria. Ichinohe:Astellas Pharma: Research Funding; Chugai Pharmaceutical Co.: Research Funding; CSL Behring: Research Funding; Eisai Co.: Research Funding; Kyowa Hakko Kirin Co.: Research Funding; Ono Pharmaceutical Co.: Research Funding; Pfizer: Research Funding; Nippon Shinyaku Co.: Research Funding; MSD: Research Funding; Otsuka Pharmaceutical Co.: Research Funding; Repertoire Genesis Inc.: Research Funding; Sumitomo Dainippon Pharma Co.: Research Funding; Taiho Pharmaceutical Co.: Research Funding; Takeda Pharmaceutical Co.: Research Funding; Zenyaku Kogyo Co.: Research Funding; Alexion Pharmaceuticals: Honoraria; Bristol-Myers Squibb: Honoraria; Celgene: Honoraria; JCR Pharmaceuticals: Honoraria; Janssen Pharmaceutical K.K.: Honoraria; Mundipharma: Honoraria; Novartis: Honoraria. Tanaka:Bristol-Myers Squibb: Research Funding. Atsuta:CHUGAI PHARMACEUTICAL CO., LTD.: Honoraria; Kyowa Kirin Co., Ltd: Honoraria. Kako:Bristol-Myers Squibb: Honoraria; Pfizer Japan Inc.: Honoraria.
Author notes
Asterisk with author names denotes non-ASH members.

This feature is available to Subscribers Only
Sign In or Create an Account Close Modal