Abstract
Background: Established indications for Hematopietic Stem Cell Transplantation (HSCT) in SCN include transformation to acute leukemia (AL) and/or myelodisplasia (MDS) and G-CSF resistance (need for >20mcg/kg/d). Indication for HSCT also appears appropriate in patients with poor response to G-CSF (10-20 mcg/kg/d) and, as a consequence, a high incidence of infectious events. Indication is less clear in cases requiring a G-CSF doses up to 10 mcg/kg but with good control of infections.
Aim of the study: to retrospectively compare the outcome of a large group of SCN patients due to mutation of ELANE gene who underwent HSCT with that of subjects who received different doses of G-CSF. Patient and methods: the cohort included 162 SCN ELANE mutated patients who were divided in two groups: Group A, including 110subjects, treated with G-CSF whose data was derived from SNFR and from INR, and Group B, including 52, patients who received HSCT whose data was derived by the data reservoir of the EBMT and SCETIDE. The received dose of G-CSF was estimated by calculating the amount of drug that patients received for more than 75% of the treatment time (when daily dose was not available for the whole treatment period) or by calculating the mean dose (total amount/days of treatment) whenever daily dose was available for the full period. G-CSF dose was arbitrarily defined as low/standard (L/S) if it was up to 5 mcg/kg/d, medium(M) if between 6-10 mcg/kg/d, high (H) if between 11-20 mcg/kg/d and very high (VH) if> 21 mcg/kg/d .
Results: Males were49 (44%) in Group A and 23 (44%) in Group B (p=ns). HSCT was performed between march 1999 to April 2017; 10% of transplants were done before 2010 and90% after 2010. Transplant indication was as per Center policy.Median age of the entire group was 12 y (0.8-62 y), that of Group A 14.4y (1.39-62y)and of Group B 8.8y(0.8-25y)(p=0.001). Lower doses of G-CSF were more frequent in Group A (L/S 56%. M31%, H12% and VH 1%) than in Group B (L/S 12%, M 22%, H 33% and VH 33%) (p=0.001). In Group A no MDS wasreportedand 2 cases of AMLoccurred who died after one year for disease progression. In Group B9 cases of MDS(5)/AML (4) were reported (p=0.01). Of them 89% received G-CSF>10mcg/kg/d. Seven/9 patients (78%) are alive and 2died because of disease progression and sepsis. Overall 12(7%) patients died: 6 (5%) in Group A (4 for sepsis and 2 for leukemic progression) and 6 (11%) in Group B (3 for infections and 3 for GvHD)(p=ns).Of these 6 patients 2 were treated with L/S dose of G-CSF.
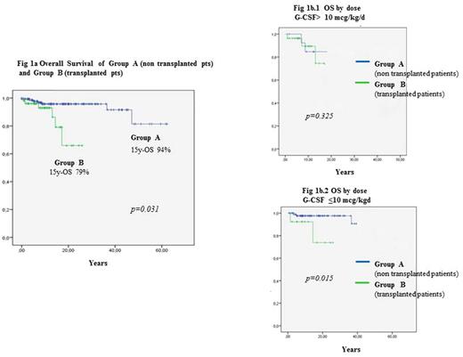
The 15 y-OS of the whole group was 91% (95% IC; 84-95). That of group A was 94% (95% IC 87-97) and that of group B was 79% (95% IC; 52-92) (p=0.031)(Fig 1a).The 15y-OS of patients receiving G-CSF at VH+H dose (that is >10mcg/kg/d) was 85% (95% IC; 51-96) in group A vs 74% of group B (p 0.325) (95% IC 33-92)(Fig1b.1).
The15-y OS of patients receiving G-CSF at L/S+M dose (that is ≤ 10mcr/kg/d) was 98% (95% IC 91-99) and 74% in group B % (95% IC 24-94) (p=0.015)(Fig1b.2).
Conclusions This is the largest comparative study ever conducted on the effect of G-CSF dose and transplant outcome in SCN patients. Overall long-term probability of OS of this cohort of SCN ELANE mutated, transplanted and non-transplanted subjects, is above 90%. Transplanted patients have worse survival than non-transplanted ones but this may reflect a bias due to negative selection of transplanted population.Importantly, patients receiving G-CSF dose ≤10mcg/kg/dwho are not transplanted have a superior survival over those who are transplanted. This suggests that indication to transplant for patients receiving G-CSF dose ≤10mcg/kg/d needs to be carefully balanced on the basis also of infection load and risk factors for clonal evolution. Relevance of these factors on transplant indications has to be addressed in future studies.
Peffault De Latour: Pfizer: Consultancy, Honoraria, Research Funding; Novartis: Consultancy, Honoraria, Research Funding; Amgen: Research Funding; Alexion Pharmaceuticals, Inc.: Consultancy, Honoraria, Research Funding. Or: Bioline: Consultancy.
Author notes
Asterisk with author names denotes non-ASH members.

This feature is available to Subscribers Only
Sign In or Create an Account Close Modal