Abstract

Introduction:
There are a growing number of therapeutic options for elderly patients with previously untreated chronic lymphocytic leukemia (CLL) and comorbidities, thus making clinical aids necessary to choose between available treatments. CLL-IPI is a validated tool for prognostication of overall survival in CLL (with age, stage, beta2-microglobulin, 17p deletion / TP53 mutation, and IGHV mutational status used as weighted factors to stratify patients for low, intermediate, high, or very high risk of death). We here evaluated CLL-IPI in a large sample of elderly patients with comorbidities.
Methods:
CLL-IPI was analyzed in the population of the CLL11 study, a randomized trial having enrolled 781 patients with previously untreated CLL and increased comorbidity burden for treatment with obinutuzumab (formerly GA101) plus chlorambucil (G-Clb, n=333), rituximab plus chlorambucil (R-Clb, n=330), or chlorambucil alone (Clb, n=118). Patients with all five CLL-IPI factors available were stratified into CLL-IPI risk groups. Overall survival (OS) was estimated for low, intermediate, high, and very high risk. Additionally, risk-specific time to next treatment (TTNT) and progression-free survival (PFS) were assessed. Methods included Kaplan-Meier curve, log-rank test, and Cox regression analyses.
Results:
Among 781 patients enrolled in the CLL11 study, 691 were evaluable in this analysis while 90 had to be excluded due to missing information for beta2-microglobulin, 17p deletion / TP53 mutation, or IGHV mutational status. Of the 691 patients, 299 were treated with G-Clb, 294 with R-Clb, and 98 with Clb. Median age, cumulative illness rating scale (CIRS), and ECOG performance status were 74 years, 8 and 1, respectively. Median observation time was 41.8 months.
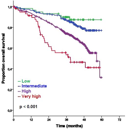
Stratification according to CLL-IPI was as follows: 62 (9%) low risk, 206 (30%) intermediate risk, 361 (52%) high risk, 62 (9%) very high risk. In a pooled analysis of all 691 evaluable patients, OS was significantly different between CLL-IPI risk groups (p<0.001, Figure), with statistically satisfying values regarding both discrimination and calibration (C-statistics: C=0.633, 95%-CI 0.596-0.676; Hosmer-Lemeshow-Test: p=0.716). Similarly, graduating differences in OS between CLL-IPI risk groups were found in the subset of patients treated with chemoimmunotherapy and subsets of patients of each antibody arm, respectively. TTNT and PFS also differed between CLL-IPI risk groups.
Favorable risk as assessed by CLL-IPI was associated with greater likelihood of OS benefit from treatment with G-Clb versus R-Clb (HR 0.232, 95%-CI, 0.027-1.983 for low risk; HR 0.540, 95%-CI 0.249-1.170 for intermediate risk; HR 0.884, 95%-CI 0.595-1.315 for high risk; HR 0.830, 95%-CI 0.372-1.852 for very high risk). Previously observed TTNT and PFS benefits from G-Clb versus R-Clb were maintained across CLL-IPI risk groups.
Conclusions:
This is the first validation study of CLL-IPI in elderly patients with previously untreated CLL in need of therapy and comorbidities. Results suggest good performance of the CLL-IPI in this patient population. CLL-IPI may provide help to physicians to choose between available treatment options in these patients.
OS by CLL-IPI risk groups in the analyzed CLL11 study sample (n=691)
OS by CLL-IPI risk groups in the analyzed CLL11 study sample (n=691)
Goede:F- Hoffmann-LaRoche: Consultancy, Honoraria, Other: Travel grants; Gilead: Consultancy; Janssen: Consultancy, Other: Travel grants; Glaxo Smith Kline: Consultancy, Honoraria; Mundipharma: Consultancy, Honoraria; Bristol Myer Squibb: Honoraria. Bahlo:F. Hoffman-La Roche: Honoraria, Other: Travel grant. Fischer:Roche: Other: travel grants. Fink:Mundipharma: Other: Travel grants; AbbVie: Other: Travel grants; Roche: Honoraria, Other: Travel grants; Celgene: Research Funding. Fingerle-Rowson:Roche: Employment. Stilgenbauer:Mundipharma: Consultancy, Honoraria, Research Funding; AbbVie: Consultancy, Honoraria, Other: Travel, Accommodations, Expenses, Research Funding, Speakers Bureau; Genzyme: Consultancy, Honoraria, Research Funding; Boehringer-Ingelheim: Consultancy, Honoraria, Research Funding; Novartis: Consultancy, Honoraria, Research Funding; Celgene: Consultancy, Honoraria, Research Funding; GlaxoSmithKline: Consultancy, Honoraria, Research Funding; Genentech: Consultancy, Honoraria, Research Funding; Janssen: Consultancy, Honoraria, Other: Travel, Accommodations, Expenses, Research Funding, Speakers Bureau; Amgen: Consultancy, Honoraria, Research Funding; Pharmacyclics LLC, an AbbVie Company: Consultancy, Honoraria, Other: Travel, Accommodations, Expenses, Research Funding, Speakers Bureau; Hoffman La-Roche: Consultancy, Honoraria, Research Funding; Gilead: Consultancy, Honoraria, Research Funding; Sanofi: Consultancy, Honoraria, Research Funding. Bergmann:Janssen: Honoraria; Gilead: Consultancy, Honoraria; Glaxo-SmithKline: Honoraria; Celgene: Honoraria; Roche: Consultancy, Honoraria; Mundipharma: Honoraria. Eichhorst:Mundipharma: Consultancy, Research Funding, Speakers Bureau; GlaxoSmithKline: Consultancy, Honoraria, Other: travel support, Research Funding, Speakers Bureau; Roche: Consultancy, Research Funding, Speakers Bureau; Janssen-Cilag: Consultancy, Honoraria, Other: travel support, Research Funding, Speakers Bureau; Celgene: Consultancy, Honoraria, Other: travel support, Research Funding; AbbVie: Consultancy; Gilead: Consultancy, Honoraria, Other: travel support, Research Funding, Speakers Bureau. Hallek:F. Hoffmann-LaRoche: Consultancy, Honoraria, Other: travel support, Research Funding, Speakers Bureau; Gilead: Consultancy, Honoraria, Other: travel support, Research Funding, Speakers Bureau; Mundipharma: Consultancy, Honoraria, Other: travel support, Research Funding, Speakers Bureau; Celgene: Consultancy, Honoraria, Other: travel support, Research Funding, Speakers Bureau; Janssen-Cilag: Consultancy, Honoraria, Other: travel support, Research Funding, Speakers Bureau; AbbVie: Consultancy, Honoraria, Other: travel support, Research Funding, Speakers Bureau; Amgen: Consultancy, Honoraria, Other: travel support, Research Funding, Speakers Bureau.
Author notes
Asterisk with author names denotes non-ASH members.

This icon denotes a clinically relevant abstract

This feature is available to Subscribers Only
Sign In or Create an Account Close Modal