Abstract
Background. The efficacy of umbilical cord blood transplantation (UCBT) as treatment for acute myeloid leukemia (AML) relies heavily on immune-mediated graft-versus-leukemia effects. Following bone marrow or peripheral blood stem cell transplantation, there is a strong association between occurrence of graft-versus-host disease (GVHD) and a lower risk of AML relapse. Here, we evaluated the kinetics of relapse rate in correlationto GVHD occurrence after UCBT.
Methods. The study population included adult patients with de novo or secondary AML, receiving single or double UCBT between 2004 and 2014 at EBMT-affiliated centers.The kinetics of relapse rate over time in correrlation to occurence of GVHD was assessed by calculating the relapse rate per patient-year within sequential 90-day intervals (as previously reported by Inamoto et al., Blood 2011, 14 : 456-463). The smoothed rates were plotted as curves for each GVHD condition (no GVHD, acute GVHD or chronic GVHD). The impact of GVHD on relapse and overall mortality was also assessed with Cox models adjusted for patient age, status at transplantation, cytogenetics, total nucleated cells (TNC), and single versus double UCBT, modeling acute and chronic GVHD as time-dependent covariates.
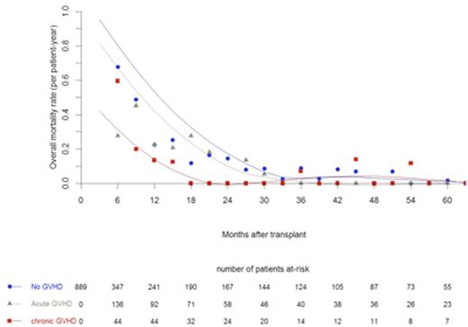
Results. The study included data from 1069 patients given single (n=567) or double (n=501) UCBT. Median patient age at transplantation was 45 (range, 18-73) years. The proportion of patients with grade II, III and IV acute GVHD was 20%, 7% and 4%, respectively. At 2 years, the cumulative incidence of chronic GVHD was 42%, the cumulative incidence of relapse was 32% and overall survival was 32% as well. As shwon in the figure 1, relapse rates declined gradually over time during the first 30 months after transplantation and were lower in patients with chronic GVHD than in those without GVHD. Furthermore , in a multivariate Cox model, there was a suggestion for lower incidence of relapse in patients who experienced chronic GVHD (HR 0.6, P=0.1). In contrast, there was a significant increase in the risk of mortality in patients with grade III-IV acute (HR 2.4, P<0.001) and those with de novo chronic GVHD (HR 3.2, P<0.001) due to increased non relapse mortality.
Conclusions. Although this study suggest that chronic GVHD might be associated with lower risk of AML recurrence after UCBT, grade III-IV acute and chronic GVHD each increased overall mortality.
Rates of relapse and risk of early and late relapse according to GVHD status. Relapse rates were calculated within sequential 90-day intervals for patients without GVHD (shown in blue), for patients with grades II-IV acute GVHD (shown in green) or for patients with chronic GVHD (shown in red). Small symbols represent the actual relapse rates for each 90-day interval. The smoothed rates were plotted as curves for each condition.
Rates of relapse and risk of early and late relapse according to GVHD status. Relapse rates were calculated within sequential 90-day intervals for patients without GVHD (shown in blue), for patients with grades II-IV acute GVHD (shown in green) or for patients with chronic GVHD (shown in red). Small symbols represent the actual relapse rates for each 90-day interval. The smoothed rates were plotted as curves for each condition.
Michallet:Bristol-Myers Squibb: Consultancy, Honoraria, Research Funding; Pfizer: Consultancy, Honoraria; Novartis: Consultancy, Honoraria; Pfizer: Consultancy, Honoraria; Astellas Pharma: Consultancy, Honoraria; MSD: Consultancy, Honoraria; Genzyme: Consultancy, Honoraria.
Author notes
Asterisk with author names denotes non-ASH members.

This feature is available to Subscribers Only
Sign In or Create an Account Close Modal