Abstract
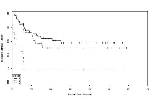
Immune reconstitution following stem cell transplantation (SCT) may be considered as a dynamical system in which future events are predicated on all the preceding past events. In turn, lymphoid reconstitution over time will determine the clinical trajectory an individual patient might take. Lymphoid recovery following myeloablative stem cell transplantation (SCT) displays a logistic (sigmoidal) pattern of exponential growth followed by a plateau. This study aims to understand whether logistic modeling of lymphocyte recovery following SCT can be used to predict outcomes and thus guide therapies to minimize the competing pathologies of graft vs. host disease (GVHD) and relapse. A retrospective analysis of allogeneic SCT performed from 2008 to 2011 was undertaken to compare lymphoid recovery and clinical outcomes in 82 patients with acute myelogenous leukemia, acute lymphocytic leukemia and myelodysplastic syndromes. Using Prism software, a logistic curve was successfully fitted to the absolute lymphocyte count recovery in all patients. Patients were classified according to the magnitude and rate of lymphoid recovery; Type A achieved an absolute lymphocyte count (ALC) of > 1000/mcrL by day 45; Type B an ALC 500 < x < 1000 /mcrL and Type C, an ALC <500/mcrL. There was a significant difference in overall survival (Kaplan-Meier p=0.002) and one-year survival whereby 32/45 (71%) of Type A, 15/26 (58%) of Type B and 2/11 (18%) of Type C remained alive (p=.006). There was no difference in cGVHD (p=0.22) or relapse (p=0.52) incidence between patients with patterns A and B; all patients with pattern C experienced death, relapse or cGVHD within one year. Acute Lymphoblastic Leukemia as initial diagnosis (p=0.04), unrelated donor (p=0.007), mycophenolate mofetil GVHD prophylaxis (p=0.04) predicted type C pattern. Within this logistic framework, cellular recovery is characterized by the parameters R (slope of ascent), a (time of maximal ascent) and K ( plateau), the 'steady state' lymphocyte count. Mean K was significantly different between pattern type whereby pattern A had mean ALC of 1760 /mcrL, pattern B an ALC of 868 and pattern C, an ALC of 262 (p=0.0029) respectively. Neither parameters, a nor R were significantly different between pattern types. CMV, acute GVHD and relapse all were associated with deviation from logistic behavior. Weaning of tacrolimus post-transplant was associated with a second, separate phase of logistic expansion of ALC in some patients. Low K or steady state lymphocyte count is a risk factor for relapse and early death. Pattern B have no increased risk of GVHD compared to Pattern A. Assesing lymphoid reconstitution as a logistic function of time allows dynamic association of donor immune recovery with clinical outcomes and may allow for preemptive adjustments in immune suppresssion or use donor lymphocyte infusions to optimize clinical outcomes.
Kaplan-Meier survival plot of patients grouped according to ALC recovery pattern.
Kaplan-Meier survival plot of patients grouped according to ALC recovery pattern.
Neale:CHRB: Research Funding.
Author notes
Asterisk with author names denotes non-ASH members.


This feature is available to Subscribers Only
Sign In or Create an Account Close Modal