Abstract
Improved prognostication is required for multiple myeloma (MM). So far, marker development has been based on clinical trials with a study population predominantly younger than 65 years. However, the median age of newly diagnosed MM patients is 66 years old. Based on gene expression profiles of the HOVON-65/GMMG-HD4 dataset, we previously developed the EMC92 prognostic signature, consisting of 92 probe sets for improved prognostication in MM. The EMC92 was validated in the MRC-IX, TT2, TT3 and APEX datasets. These studies were mostly aimed at younger patients with a median age of 57 years. The EMC92 signature was subsequently developed for clinical use as part of the MMprofiler, and termed the SKY92 signature.
To assess the validity of the SKY92 signature in older MM patients, we used the HOVON-87/NMSG-18 study, in which induction therapy with melphalan, prednisone and thalidomide, followed by thalidomide maintenance, was compared with melphalan, prednisone and lenalidomide, followed by lenalidomide maintenance (MPT-T vs. MPR-R). The median age of all patients included in this trial was 73 years, with 34% of patients 76 years or older. The median follow up of the patients still alive was 39 months. Of 143 patients both gene expression profiling and clinical data were available (median age 73; 30% ≥76; n=83 MPT-T; n=60 MPR-R). The MMprofiler was used to obtain SKY92 scores, classifying a patient as high risk or standard risk (MMprofiler- CE IVD assay, performed according to the manufacturers' instructions for use at the SkylineDx reference lab, Rotterdam, The Netherlands). The association between survival and the SKY92 signature was evaluated using Cox regression analysis. Kaplan-Meier curves were constructed for visualization.
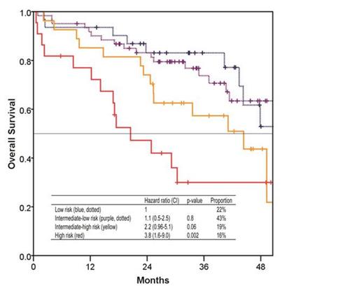
Using the SKY92 signature 22/143 patients were identified as high risk (15.4%). The median overall survival (OS) for high risk patients was 21 months, compared to 53 months for standard risk patients (hazard ratio (HR): 2.9 (95% confidence interval (CI): 1.6-5.4; p=5.6 x 10-4)). The median progression free survival (PFS) in the high risk and standard risk groups were 12 months and 23 months, respectively (HR: 2.2 (95% CI: 1.4-3.7; p=1.2 x 10-3)). In this subset of 143 patients, deletion of 17p (del17p) and gain of 1q (gain1q) were also adversely associated with OS in a univariate analysis. Including SKY92, del(17p) and gain(1q) in a multivariate model demonstrated that SKY92 and del(17p) remained significantly associated with OS (subset of 143 (n=101) with all data known; Table 1). We previously developed the combination of ISS with SKY92: low risk (ISS I-SKY92 standard risk (SR)), intermediate-low (ISS II-SKY92 SR), intermediate-high (ISS III-SKY92 SR) and high risk (ISS I-III, SKY92 high risk; Kuiper et al., ASH 2014, #3358). The Cox model for this combined marker has a p-value for the likelihood ratio test of p=3 x 10-3 for OS (Figure 2) and p=0.016 for PFS.
In conclusion, the SKY92 signature (MMprofiler) is a useful prognostic marker to identify a high-risk subgroup in the elderly population.
Performance of the SKY92 signature in the HOVON-87/NMSG-18 study. Red line indicates high risk patients (n=22), blue line indicates standard risk patients (n=121). PFS (A); OS (B).
Performance of the SKY92 signature in the HOVON-87/NMSG-18 study. Red line indicates high risk patients (n=22), blue line indicates standard risk patients (n=121). PFS (A); OS (B).
SKY92 in relation to FISH markers in the HOVON-87/NMSG-18 (Hazard ratios (HR), 95% confidence intervals (CI) and p-values (2-sided; p) for Cox proportional hazards analysis). The multivariate analysis (bottom) was performed using the markers significant in the univariate analysis (top). Bold: p<0.05, pos: positive, neg: negative and na: not available.
SKY92 in relation to FISH markers in the HOVON-87/NMSG-18 (Hazard ratios (HR), 95% confidence intervals (CI) and p-values (2-sided; p) for Cox proportional hazards analysis). The multivariate analysis (bottom) was performed using the markers significant in the univariate analysis (top). Bold: p<0.05, pos: positive, neg: negative and na: not available.
Combining ISS with SKY92. Groups are defined in the text. Hazard ratios of the individual groups are given relative to the low risk group.
Combining ISS with SKY92. Groups are defined in the text. Hazard ratios of the individual groups are given relative to the low risk group.
Kuiper:SkylineDx: Employment. van Vliet:SkylineDx: Employment. Broijl:Celgene: Membership on an entity's Board of Directors or advisory committees; Amgen: Membership on an entity's Board of Directors or advisory committees. de Best:SkylineDx: Employment. van Beers:SkylineDx: Employment. Bosman:SkylineDx: Employment. Dumee:SkylineDx: Employment. van den Bosch:SkylineDx: Employment. Waage:Amgen: Research Funding; Celgene: Research Funding; Janssen: Research Funding. Zweegman:Janssen: Membership on an entity's Board of Directors or advisory committees, Research Funding; Celgene: Membership on an entity's Board of Directors or advisory committees, Research Funding; Takeda: Membership on an entity's Board of Directors or advisory committees, Research Funding. Sonneveld:Celgene: Honoraria, Research Funding; Amgen: Honoraria, Research Funding; Karyopharm: Research Funding; SkylineDx: Membership on an entity's Board of Directors or advisory committees; Janssen: Honoraria, Research Funding.
Author notes
Asterisk with author names denotes non-ASH members.



This feature is available to Subscribers Only
Sign In or Create an Account Close Modal