Abstract

Introduction
A correlation exists between innate immune responses and outcomes in cancer treatment, and immunological features may be prognostic biomarkers of TKI response in chronic phase CML patients (CML-CP pts). Marin et al (Leuk 2012) found KIR2DS1 to be associated with CCyR, OS and PFS, while Kreutzman et al (Exp Hem 2012) showed KIR2DL5A/B to be associated with MMR. We examined the prognostic significance of KIR (Killer Immunoglobulin-like Receptor) genotypes in CML-CP pts in the TIDEL-II study who received upfront treatment with imatinib and early switching to nilotinib for suboptimal responses.
Method
TIDEL-II is a multicentre, single arm prospective ALLG trial for de novo CP-CML pts in 2 equal sequential cohorts of 105 pts in each. All pts started on imatinib (IM) 600mg OD. Pts were monitored for achievement of time dependent molecular targets (BCR-ABL 10%, 1% and 0.1% IS at 3, 6 and 12 months respectively). Pts in cohort I (C1) who failed these targets were dose escalated to IM800. Pts failing to achieve these targets subsequently, or who were already on IM800, switched to nilotinib 400mg BID (NIL). Pts in cohort II (C2) who failed their time dependent targets switched to NIL regardless of their IM dose. Switching to NIL was also permitted for Grade III/IV or persistent Grade II non-hematological toxicity or loss of response. Baseline samples were available for 148 pts, on which KIR genotyping was done retrospectively using the KIR Genotyping SSP Kit (Invitrogen, Carlsbad, CA). Molecular response and survival outcomes were analysed as stratified by early molecular response (EMR, BCR-ABL ≤10% at 3 months), gender, Sokal Index, age and KIR genotype.
Results
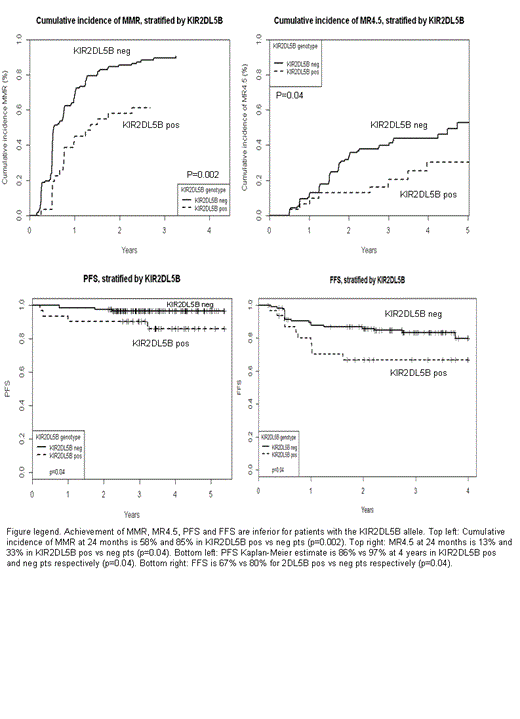
The 24 month MMR rate was 73% and EMR failure was 12%. Overall and progression-free survival (PFS; events = transformation to AP/BC + any death) was 94% and 93% at 4 years respectively. Failure free survival (FFS; events in PFS in addition to loss of MMR / CCyR and failure according to 2013 ELN criteria) was 76% at 4 years. In a competing risk univariate analysis, EMR correlated with MMR achievement as expected, but not Sokal, age or sex. This analysis also showed inferior MMR achievement for pts with KIR2DL5B (HR 0.423, p=0.00041), KIR2DL2 (HR 0.607, p=0.0048) and KIR2DS3 (HR 0.547, p=0.0027) genotypes. The number of pts with these alleles were 31 (21%), 83 (56%) and 44 (30%) respectively. As predicted from the population distribution of KIR genotypes, these 3 alleles were in strong linkage disequilibrium. Only KIR2DL5B (2DL5B) and EMR remained independent predictors of MMR in a multivariate model (2DL5B positive HR 0.52, p=0.034). KIR2DL5B positivity was also independently associated with inferior rates of MR4.5 (HR 0.42, p=0.031) (Fig. top panels). Four year PFS was inferior for pts positive for 2DL5B (86% vs 97%, p=0.04), as was FFS (67% vs 80%, p=0.05) (Fig. lower panels). There was no correlation between 2DL5B status and EMR achievement. However pts negative for 2DL5B who had EMR failure were more likely to achieve MMR, 7/13 pts (54%), compared with 0/5 2DL5B positive pts (all 18 pts switched to NIL). This was not statistically significant (p=0.09), due to the small numbers. In patients who achieved EMR, 94% of 100 2DL5B negative pts achieved MMR, vs 76% of the 25 2DL5B positive pts. Among pts with EMR failure, 2DL5B positivity was associated with a trend for inferior survival at 4 years. PFS was 91% vs 98% and FFS was 80 vs 84% for 2DL5B pos vs neg pts respectively.
Conclusion
KIR genotypes had previously been correlated with achievement of CCyR, PFS and OS. Here, we have demonstrated that the KIR2DL5B allele correlated with lower rates of MMR and MR4.5 in a multivariate analysis, even in a treatment schema allowing patients failing early molecular targets to be treated with nilotinib, independent of EMR. Additionally, KIR2DL5B positivity was associated with inferior PFS and FFS. Multiple studies have shown the prognostic significance of EMR, as has our data. KIR genotyping information may further refine the prognosis of patients failing to achieve EMR. Prognostic markers available at CML-CP diagnosis, such as KIR genotypes, may have clinical utility. Furthermore, the KIR genotype may provide useful information in combination with other biomarkers and could be incorporated into future prognostic scoring systems for CML-CP.
Yeung:Novartis: Honoraria, Membership on an entity's Board of Directors or advisory committees, Research Funding; BMS: Honoraria, Membership on an entity's Board of Directors or advisory committees, Research Funding. White:Novartis: Honoraria, Research Funding; BMS: Honoraria, Research Funding; Ariad: Research Funding. Branford:Novartis: Consultancy, Honoraria, Research Funding; Bristol-Myers Squibb: Honoraria, Research Funding; Ariad: Honoraria, Research Funding; Otsuka: Honoraria, Research Funding. Hughes:Novartis: Honoraria, Membership on an entity's Board of Directors or advisory committees, Research Funding; BMS: Honoraria, Membership on an entity's Board of Directors or advisory committees, Research Funding; Ariad: Honoraria, Membership on an entity's Board of Directors or advisory committees; Pfizer: Membership on an entity's Board of Directors or advisory committees.
Author notes
Asterisk with author names denotes non-ASH members.

This icon denotes a clinically relevant abstract

This feature is available to Subscribers Only
Sign In or Create an Account Close Modal