Abstract
Aim: We would like to present our center experiences in the approaches of relapsing and/or progressive acute leukemia patients after allogeneic hematopoietic stem cell transplantation (AHSCT).
Patients: We have retrospectively evaluated 133 patients (86 Male; 47 Female) with acute leukemia who has been detected relapse and/or progression after AHSCT between June 1990 and October 2013. Median age was 30 years (16-63 years) at the transplant time. Their diagnosis were 89 AML (12 secondary AML), 41 ALL and 3 biphenotipic leukemia. Median time of relapse and/or progression was 165 days (13-4713 days) after ASCT. Relapse types were as extramedullary relapse (EMR) alone in 11, extramedullary with hematological relapse in 30 and hematological relapses (HR) alone in 92 patients.
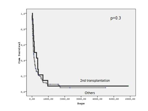
Results: Our treatment approaches were chemotherapy and/or donor lymphocyte infusion in 109, second ASCT from same or different donor in 16 and radiotherapy alone in two patients. However, six patients were not able to receive any therapy. We have observed that the numbers of donor lymphocyte infusion or second transplantation increased after the year of 1999 (Figure 1). The probability of three-month, six-month or one-year survival after the relapse&progression were calculated as 53.7%±4.4%, 35.1 %±4.3% and 24.2%±3.9%, respectively. Survival after the relapse or progression was median 102 days (ranging between 68.7 days and 135.3 days, 95% CI). The type of relapse (EMR alone, EMR plus HR versus HR alone) and leukemic types (AML vs ALL) did not effect survival (p>0.5). When we compared second transplantation with other approaches, survival after relapse did not change (p=0.8) (Figure 2). In addition, survival was not affected by the year of relapses as 1990-1999, 2000-2009 versus 2010-2014 (p=0.7).
Conclusion: Treatment approaches in acute leukemia relapsing after transplantation vary from the cellular therapy to chemotherapy. But our experience was not able to show a difference between second transplantation and others. Moreover each center should be approached to the patients according to their experience and type of relapse until an effective treatment option will be defined.
Treatment approaches according to years
Overall survival according to treatment approaches
No relevant conflicts of interest to declare.
Author notes
Asterisk with author names denotes non-ASH members.


This feature is available to Subscribers Only
Sign In or Create an Account Close Modal