Abstract
Background: Recent reports from prospective clinical trials of R-containing chemotherapy in DLBCL patients suggest that gender, weight and/or BMI influence clinical outcomes. Pharmacokinetic studies by the German High Grade Lymphoma Study Group have shown that R clearance is relatively slow in elderly women compared to men, leading to higher levels and prolonged exposure and hence better clinical outcomes in elderly females. Specifically, it has been suggested that elderly men are underdosed, based on faster R clearance (Muller et al., 2012; Pfreundschuh et al., 2014). Regarding BMI as a predictor of clinical outcome, analysis of the US Veterans Administrative database showed an association between increased BMI and improved survival in DLBCL patients (Carson et al., 2012), while the ECOG clinical trial (E4494) for elderly DLBCL patients failed to reveal a significant association of BMI with clinical outcomes, or a gender difference related to BMI in failure-free survival (Hong et al., 2014). To further investigate these associations, we studied the effect of gender, BMI as well as body surface area (BSA, the actual dosing parameter), and potential interactions among these factors on long-term clinical outcomes for elderly DLBCL patients in the National Comprehensive Cancer Network (NCCN) non-Hodgkin lymphoma database.
Methods:De novo DLBCL patients with age > 60 yrs. were identified from the NCCN adult DLBCL cohort. Patients were diagnosed between June 2000 and December 2010. All received R as part of first-line therapy. Outcomes evaluated included progression free survival (PFS) and overall survival (OS) at 3 years based on patient gender, age and BMI/ BSA at presentation. Gender was stratified based on BMI (<=18.5, >18.5-25, >25) or BSA (<=2, >2), and Kaplan-Meier estimates were calculated. Associations with disease progression and survival were additionally adjusted for the International Prognostic Index (IPI) in the multivariable Cox regression analyses.
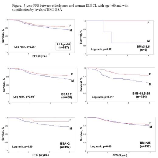
Results: Of the 1,386 DLBCL patients who received R, 627 were elderly with age >60 yrs. The majority of elderly men were either overweight or large: only 13% had BMI <=25 and only 26% had BSA <=2. Elderly men (n=325, 52%) experienced worse PFS (3 yr-Hazard Ratio, HR 1.5, 95% CI: 1.1-2.1, p=0.02) and OS (3 yr-HR 1.6, 1.1-2.4, p=0.01) compared to elderly women. Of note, the poor risk associated with male gender was associated with patients over 60, but not the younger cohort (3 yr-PFS, HR 1.3, 0.9-1.9, p=0.12). The benefit associated with female gender in the elderly cohort decreased with increases in BMI and BSA (Figure). There was a benefit associated with female gender when compared to male gender in the BMI (<=25) (log rank, p<0.01) and BSA <=2 (p=0.04) strata, but not among patients with high BMI (>25) or BSA (>2). In multivariable analysis, low or normal BMI as compared to high BMI was independently associated with poor outcomes (3-yr PFS, HR: 1.6, 1.1-2.2, p<0.01) after adjusting for gender. There was a trend suggesting that BSA <=2 correlated with worse 3-yr PFS in the elderly group adjusting for gender (3 yr-HR 1.4, 0.9-2.0, p=0.12). The HR estimates remained largely unchanged after adjusting for IPI. Notably, higher BMI was not associated with more favorable prognostic clinical factors.
Conclusions: Our results, derived from analysis of unselected patients with DLBCL treated with R-containing chemotherapy at major NCCN centers, confirmed an age-dependent disadvantage to male gender in treatment outcomes. The magnitude of this negative effect diminished with higher levels of BMI and BSA, with the greatest negative impact occurring in elderly men with BMI <=25 or BSA <=2. Our findings support efforts to optimize R dosing, especially in the elderly male subset with BMI <=25 or BSA <=2. Future prospective trials should factor size and gender into the study design and analysis. Our results support the ongoing German randomized trial to evaluate enhanced rituximab dosing for older male patients.
No relevant conflicts of interest to declare.
Author notes
Asterisk with author names denotes non-ASH members.

This feature is available to Subscribers Only
Sign In or Create an Account Close Modal