Abstract
Introduction
An association between thrombocytosis and cancer is well established and several studies have shown that an elevated platelet count at diagnosis implies an inferior prognosis. In ovarian cancer, the pivotal role of platelets in driving the biologic mechanisms of malignant tumors has been demonstrated and paraneoplastic thrombocytosis has been shown to directly fuel tumor growth (Stone et al, N Engl J Med. 2012). In this epidemiological study, we assess the role of prediagnostic platelet levels in primary care patients subsequently diagnosed with gynecological cancer.
Methods
Using a primary care resource comprising blood differential cell counts from more than 500,000 individuals (Andersen et al, Clin Epidemiol. 2014), we included adults (18-80 years) diagnosed with gynecological cancer (ICD-10 codes C51-C58) as reported in the Danish Cancer Registry (DCR) between July 1, 2003 to January 23, 2010. We analyzed platelet counts in a 3-year period before cancer diagnosis and defined no prediagnostic thrombocytosis as a mean platelet count between 150-400x109/l, mild prediagnostic thrombocytosis as >400-550x109/l and severe prediagnosticthrombocytosis as >550x109/l.
Statistical Analysis
We used multivariable logistic regression to compute odds ratios (ORs) with 95% confidence intervals (CIs) for the association between prediagnostic thrombocytosis groups and cancer stage category (localized vs. non-localized) at the time of diagnosis (Table 1). The ORs were adjusted for known and possible confounders such as age (quadratic), year and month of blood sampling, as well as competing comorbid conditions as reported in the Danish National Patient Register. Furthermore, we analyzed time from diagnosis to all-cause mortality (as reported in the Danish Civil Registration System) in Cox regression models. The effects of prediagnostic thrombocytosis were estimated with hazard ratios (HRs) and adjusted for cancer stage category in addition to the above-mentioned confounders.
Results
A total of 1,083 women were diagnosed in the defined period comprising external female genital organs and vagina (5.1%), cervix uteri (24.8%), corpus uteri (37.2%), ovary, fallopian tube and broad ligament (32.5%) and other and unspecified female genital organs (0.4%). 614 of these patients (57%) had at least one available prediagnostic platelet measurement (mean number of measurements=1.62, SD=1.19, range=1-17) and 109 exhibited prediagnostic thrombocytosis (mild=76%, severe=24%).
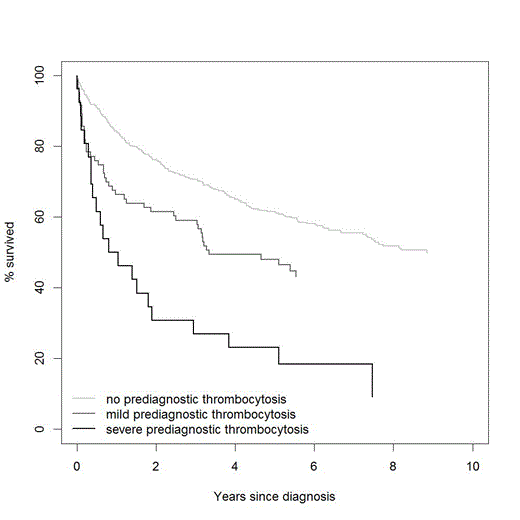
We observed significant associations between prediagnostic thrombocytosis and the risk of being diagnosed with advanced disease with ORs of 2.19 (1.25-3.84), P=0.006 and 3.80 (1.37-10.57), P=0.0104 for mild and severe prediagnostic thrombocytosis, respectively. The median overall survival among patients with severe prediagnostic thrombocytosis was 0.92 years, as compared with 3.34 years among those with mild prediagnostic thrombocytosis, P<0.0001 (Figure 1). When analyzing mortality rates and adjusting for cancer stage category at diagnosis, HRs were 1.52 (1.09-2.13), P=0.0145 and 3.46 (2.17-5.51), P<0.0001 for mild and severe prediagnostic thrombocytosis, respectively. Lastly, we analyzed all-cause mortality rates for localized cancer cases only and observed a significant association with severe (but not mild) prediagnostic thrombocytosis with a HR of 4.21 (1.22-14.55), P=0.032.
Discussion
This study demonstrates that prediagnostic thrombocytosis in gynecological cancer patients infers higher risks of advanced disease at time of diagnosis and inferior prognosis, not only due to the dissemination per se. In localized cancer, severe prediagnostic thrombocytosis also increases mortality with potential implications for the diagnostic work-up in these patients at initial referral to hospital.
Algorithms for cancer staging according to the TNM classification
| Tumor stage . | T . | N . | M . |
|---|---|---|---|
| Localized | T1-4,x and | N0 and | M0 |
| T1 and | N0,x and | M0,x | |
| T2 and | N0 and | Mx | |
| Non-localized | T1-4,x and | N1-3 or | M1 |
| Undefined | T2-4,x and | Nx and | M0,x |
| T3-4,x and | N0 and | Mx |
| Tumor stage . | T . | N . | M . |
|---|---|---|---|
| Localized | T1-4,x and | N0 and | M0 |
| T1 and | N0,x and | M0,x | |
| T2 and | N0 and | Mx | |
| Non-localized | T1-4,x and | N1-3 or | M1 |
| Undefined | T2-4,x and | Nx and | M0,x |
| T3-4,x and | N0 and | Mx |
Kaplan-Meier estimates of survival time for gynecological cancer patients stratified by prediagnostic thrombocytosis groups.
Kaplan-Meier estimates of survival time for gynecological cancer patients stratified by prediagnostic thrombocytosis groups.
No relevant conflicts of interest to declare.
Author notes
Asterisk with author names denotes non-ASH members.

This feature is available to Subscribers Only
Sign In or Create an Account Close Modal