Abstract
Background: Allogeneic stem cell transplantation (SCT) can provide long-term disease control in selected patients with relapsed refractory NHL. Restricted availability of a matched sibling donor limits its use especially for patients with rapidly progressing disease in whom unrelated donor search cannot be awaited and in patients from ethnic minorities. Donor sources such as haplo-identical relatives or cord blood represent reasonable alternatives but data of alternative donor transplants in lymphoma is sparse. We therefore intended to compare outcome after transplants performed with sibling or fully matched unrelated donors with alternative sources such as cord blood and haplo-identical donors.
Methods: Information of patients with mantle cell lymphoma (MCL), DLBCL, T-cell lymphoma (TCL) and follicular lymphoma (FL) who received an SCT from a sibling donor (SIB), 10/10 matched unrelated donor (MUD), haplo-identical donor (HAPLO) or cord blood (CORD) between 2007 and 2012 was downloaded from the EBMT database. Comparisons of outcome after transplants from different donors were performed with regard to overall survival (OS), non relapse mortality (NRM), relapse (REL) and acute GVHD incidence. For comparisons between donors SIB has been chosen as the reference group.
Results: 2798 patients with NHL were identified in the EBMT database meeting the inclusion criteria. 2065 received a transplant from a SIB, 447 from a MUD, 167 from CORD (18 MCL, 36 DLBCL, 43 FL, 70 TCL) and 119 from a HAPLO donor (16 MCL, 30 DLBCL, 22 FL, 51 TCL). 66% were male and 34% female patients. Median age at transplant was 49 years (range: 18-72). 24% (n=684) had DLBCL, 27% (n=755) FL, 17% (n=464) MCL and 32% (n=895) TCL. 56% received their transplant in CR, 17% in PR and 27% had active disease at SCT. Active disease was more common in the HAPLO group (p<0.01). Karnofsky index (KI) was 80% or higher in 71% of patients. KI below 80% was also more common in the HAPLO group (p=0.02). Other variables were balanced.
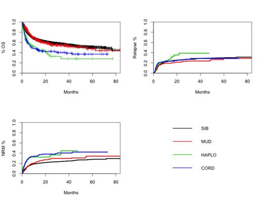
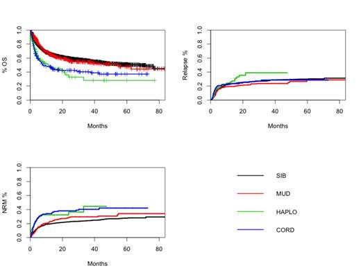
Median follow-up after SCT was 27 month (CI 25 to 29). OS of patients who received an alloSCT from a SIB or MUD was not significantly different, whereas OS of HAPLO and CORD transplants was significantly worse than SIB transplants (HR 1.9 CI 1.5 -2.5, HR 1.8 CI 1.4 -2.2, p < 0.0001, Figure 1 ). Worse OS after alternative donor transplant (reference SIB) was observed across all studied disease entities. Relapse incidence after conventional transplants (SIB, MUD) and alternative donor transplants (HAPLO, CORD) was not significantly different within the whole group (HAPLO: HR 1.2 95% CI 0.9-1.8 p= 0.23; CORD: HR 1.1 95% CI 0.7-1.4, p=0.74; Figure 1 ) and across all studied disease entities. In contrast, whereas NRM incidence was not significantly different between SIB and MUD, it was, but significantly higher with alternative donor transplants (HAPLO: HR 1.8 95% CI 1.3-1.8, p<0.001; CORD: HR 1.9 95% CI 1.5-2.5, p<0.001). With the exception of FL where MUD in addition to HAPLO and CORD transplants had a significantly higher NRM incidence than SIB transplants, NRM incidence was generally higher in alternative donor transplants than in MUD and SIB. Most interestingly, acute GVHD incidence was significantly increased in MUD compared to SIB (p=0.003) transplants but not in HAPLO (p=0.08) or CORD (p=0.34) transplants. Multivariate adjustment for diagnosis (MCL, DLBCL, FL, TCL), remission prior to SCT, KI (KI<80% vs. >80%) and conditioning intensity (RIC vs. MAC) confirmed worse OS for HAPLO (HR 1.5 CI 1.2-2.0, p=0.003) and CORD (HR 1.6 CI 1.3-2.0, p<0.00001). Multivariate modeling of relapse incidence and adjustment for the above mentioned covariates revealed no different relapse incidences between donor groups. However, NRM incidence was significantly higher in MUD (reference SIB, HR 1.4 CI 1.1–1.8, p=0.015) and CORD (reference SIB, HR 2.5 CI 1.7–3.6, p=0.015) but not in HAPLO transplants (reference SIB, HR 1.2 CI 0.7–2.2, p=0.53).
Conclusions: Alternative donor transplants are a valuable option if no suitable SIB or MUD donor is available. With the limited number of patients studied here, relapse incidence after alternative donor transplants was not significantly different from conventional transplants. Higher NRM incidence in alternative donor transplants might be improved with increasing refinement of the procedure, such as post-transplant cyclophosphamide approaches.
Outcome (OS, Rel, NRM) after alloSCT with different donors
Outcome (OS, Rel, NRM) after alloSCT with different donors
No relevant conflicts of interest to declare.
Author notes
Asterisk with author names denotes non-ASH members.

This feature is available to Subscribers Only
Sign In or Create an Account Close Modal