Abstract
INTRODUCTION: Patient reported outcomes (PROs) including symptoms and health related quality of life (HRQOL) predict mortality in multiple cancers, such as myeloma, head and neck, lung and prostate cancer. The relationship of PROs with survival is not clear in hematopoietic cell transplantation (HCT). We tested three hypotheses about the relationship between HRQOL and survival after HCT: (1) Pre-HCT HRQOL (particularly physical HRQOL) reflects functional status and predicts survival after allogeneic (allo) HCT independently of traditional risk factors and indices; (2) Post-HCT change in physical HRQOL reflects the “toll” of the HCT and predicts subsequent outcomes, including survival, among early survivors; (3) Since autologous (auto) HCT is associated with lower risks for treatment-related morbidity and mortality, PROs may not be as predictive for this group.
METHODS: We tested these hypotheses using data from the 711 participants in BMT CTN 0902 (sponsored by NHLBI and NCI, NCT 01278927), a randomized study of pre-transplant exercise and stress management training for patients undergoing auto or allo HCT. Because the primary analysis for BMT CTN 0902 did not show a significant effect for exercise or stress management training, intervention groups were combined for these analyses. However, auto and allo recipients were analyzed separately because of the expected substantial differences in the subsequent risks for morbidity and mortality in the two populations. The HRQOL measures used were the physical component score (PCS) and mental component score (MCS) from the SF-36, measured pre-HCT and at day 100.
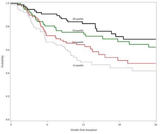
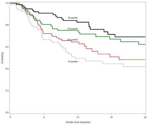
RESULTS: Among 310 alloHCT recipients with a median follow-up of 23 months, while there were no pre-HCT clinical covariates (including age, conditioning intensity, donor type, graft source, disease, disease stage) that predicted survival, pre-HCT physical HRQOL (PCS on the SF-36) was strongly prognostic for survival (HR for death of 0.72 per 10 points increase, 95% CI 0.60-0.85, p<0.001) while pre-HCT MCS was not (HR 0.99, 95% CI 0.84-1.16, p=0.29). Survival estimates for the first, second, third, and fourth quartiles of baseline PCS were, respectively, 67%, 72%, 81%, and 91% at 6 months and 50%, 65%, 75%, and 83% at one year (Figure 1). Among the eight SF-36 subscales, higher pre-HCT Physical Functioning and General Health scores were strongly associated with better survival. Among day 100 survivors, the PCS change score from baseline to Day 100 was also strongly prognostic for subsequent survival after adjusting for pre-HCT PCS (HR 0.55 per 10 points improvement, 95% CI 0.42-0.72, p<0.001) as was the MCS change score after adjusting for pre-HCT MCS (HR 0.70, 95% CI 0.56-0.89, p=0.003). In models that included patient age and the Hematopoietic Cell Transplantation-specific Comorbidity Index (HCT-CI), the EBMT Score, or the Disease Risk Index (DRI), the findings for both pre-HCT values and change scores remained statistically significant with similar hazard ratios, suggesting that PROs convey independent prognostic information for survival despite inclusion of traditional risk factors. Analyses of transplant-related mortality (TRM) in alloHCT recipients showed similar patterns. Higher pre-HCT PCS was predictive of lower TRM. Among patients alive and disease-free at day 100, PCS change score was also associated with lower TRM after adjusting for pre-HCT PCS (HR 0.28, 95% CI 0.17-0.47, p<0.001) and the HCT-CI, EBMT and DRI; pre-HCT MCS and change in MCS did not predict TRM. Among autoHCT recipients (n=337), there were no pre-HCT clinical covariates that predicted survival. Pre-HCT HRQOL also was not prognostic of survival in autoHCT (physical PCS from the SF-36 p=0.82, mental MCS from the SF-36, p=0.56), nor were early changes in either the PCS or the MCS.
CONCLUSION: In summary, among alloHCT recipients who participated in BMT CTN 0902, lower pre-HCT physical HRQOL and early decline in physical HRQOL were strongly predictive for worse overall survival and higher transplant-related mortality. These results suggest that patient-reported data are an important component of risk assessment and could assist in clinical decision-making. High-risk individuals could be targeted for different management strategies or more aggressive supportive care interventions to reduce treatment-related morbidity and mortality in this population.
No relevant conflicts of interest to declare.
Author notes
Asterisk with author names denotes non-ASH members.

This feature is available to Subscribers Only
Sign In or Create an Account Close Modal