Abstract
Introduction: For patients with diffuse large B-cell lymphoma without the involvement of the CNS, the addition of rituximab to standard chemotherapy has significantly improved survival. Thus far, there have been no prospective randomized trials evaluating the impact of rituximab as part of the primary treatment of PCNSL.
Methods: In this single-center, retrospective analysis, a total of 79 PCNSL-patients treated in our institution between 2000 and 2011 were included. Beside firstline chemotherapy with or without rituximab, we evaluated the impact of age (≤/> 60 years), autologous stem cell transplantation (ASCT +/-) and other factors upon overall survival (OS) and progression-free survival (PFS).
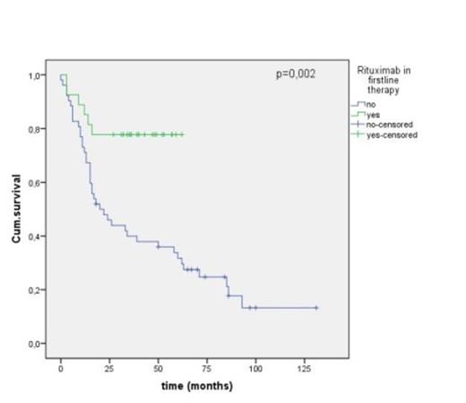
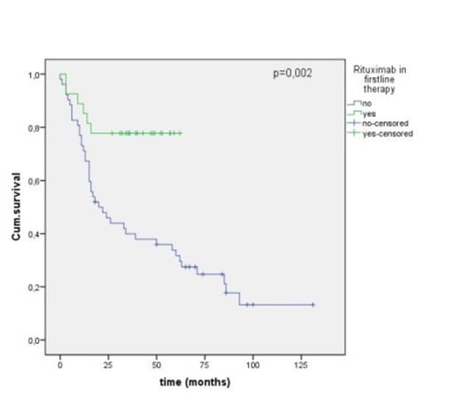
Results: In patients treated with rituximab (n=27), 3-year OS was 77.8% (95%-CI:62-93%). In contrast, in patients treated without rituximab (n=52), 3-year OS was only 39.9% (CI:27-53%, Figure). The difference in OS was significant in the univariate (p=0.002) as well as the multivariate analysis (p=0.049, Hazard ratio (HR)=0.248). In the rituximab group, 80.8% were free of progression at the date of analysis (median not reached), whereas median PFS in the group without rituximab was only 17 months (CI:8-26), (p=0.001). Patients ≤ 60 years of age (n=28) had a 3-year OS of 78.2% (CI:63-94%) and a median PFS of 75 months, in patients > 60 years (n=51) 3-year OS was 38.7% (CI:25-52%) and median PFS was 39 months (CI:6-72). Patients who received high dose therapy and autologous stem cell transplantation (ASCT) had a 3-year OS of 85.2% (CI:72-99%) and 65.1% were alive up to the time of analysis (range 9-131 months). Without ASCT median OS was only 16 months (CI:11-21) and 3-year OS was 35.2% (CI:22-48%). Age and ASCT were significantly associated with better OS in univariate (p=0.002 and p=0.001) as well in multivariate analysis (p=0.004, HR=0.023 and p=0.001, HR=0.014).
Conclusion: Rituximab treatment, ASCT and age are independent prognostic factors for overall survival in the first line treatment of PCNSL.
Wuchter:Sanofi: Honoraria; ETICHO: Consultancy, Honoraria.
Author notes
Asterisk with author names denotes non-ASH members.

This feature is available to Subscribers Only
Sign In or Create an Account Close Modal