Abstract
Background: Outside of Burkitt lymphoma (BL), MYC rearrangements confer negative prognostic significance, particularly when co-associated with BCL2 rearrangements. While “double hit lymphomas (DHL)”, occurring in 5-10% of diffuse large B cell lymphoma (DLBCL) patients (pts), have known inferior outcomes with R-CHOP (Savage Blood 2009; Barrans J Clin Oncol 2010), emerging reports suggest that “double protein lymphomas (DPL)” with immunohistochemical (IHC) overexpression of MYC and BCL2 also fare poorly with standard therapy. The frequency of DPL is reportedly higher than DHL and may account for 20-30% of DLBCL cases (Johnson J Clin Oncol 2012; Hu Blood 2013). The optimal management strategy for DHL and DPL is undefined, and there is limited data on the potential role of consolidative transplant. SWOG S9704 was a phase III randomized study of aggressive NHL treated with CHOP +/-R for 5 cycles and then either 3 additional cycles of CHOP +/-R for autologous stem cell transplant (ASCT) in first remission (Stiff N Engl J Med 2013), which gives a unique opportunity to evaluate DPL outcomes in a prospective dataset.
Methods: Among 370 eligible pts, 260 had DLBCL or B-cell lymphoma, unclassifiable, with features intermediate between DLBCL and BL (BCLU); cases underwent morphologic review, and IHC analysis for MYC protein (>40% positive cells) was performed in 198 cases. BCL2 IHC (>30% positive cells), cell of origin (COO) classification (GC vs non-GC per Hans algorithm), and FISH studies for MYC were performed in all MYC IHC positive (+) cases with sufficient tissue. BCL2 FISH was also performed in cases positive for a MYC translocation via FISH. Clinical annotations were obtained through SWOG statistical center, and review of S9704 database.
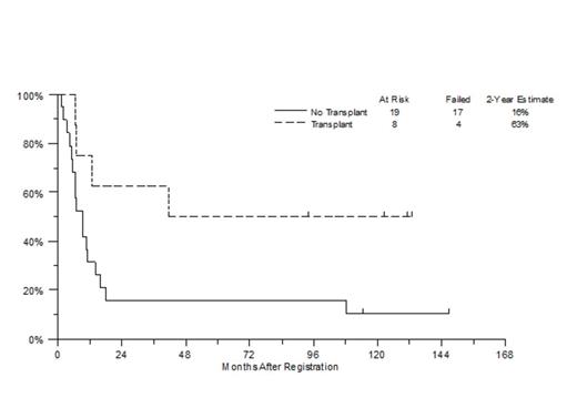
Results: There were 27 pts with MYC IHC+ among 198 available samples (13.6%), 19 of whom had concurrent BCL2 IHC+. Three of 6 evaluated pts had DHL via FISH (DHL group), and all were also DPL via IHC; thus, 16 pts had DPL without DHL. 8 patients with MYC IHC + had neither BCL2 positivity via FISH nor IHC (non-DHL, non-DPL group). For the 16 DPL pts (excluding 3 DHL pts), median (med) age was 59.9 y (range, 45-65y), 10 were male, 6 had bulky disease, all had elevated LDH (including 11 with LDH >2X ULN), and med AA IPI was 2. Among 11 evaluated pts for COO, 5 had GC whereas 6 had non-GC DLBCL phenotypes. All 3 DHL pts were female, and all had GC phenotype via Hans criteria. Among non-DHL/non-DPL pts (n=8), med age was 54.5y (range, 49-65y), 5 were male, 3 had bulky disease and all had elevated LDH. In terms of treatment, only 12 of 16 DPL pts were randomized (5 HCT, 7 no HCT), all 3 DHL pts were randomized (2 HCT) and 4 of 8 non-DHL/non-DPL pts were randomized. Reasons for non-randomization (n=8) were progression, lack of response or death. The med f/u for the entire cohort of 27 MYC IHC+ pts is 127 m (range, 94-147m); 21 pts have died (17 no HCT; 4 HCT groups). Med PFS for no HCT vs. HCT for all 27 MYC IHC + pts is 9m (95% CI: 5.0, 13.9) vs. not reached and 2-yr PFS is 16% (95% CI: 3.9%, 34.9%) vs. 63% (95% CI: 22.9%, 86.1%), respectively (Figure 1, intent-to-treat; Figure 2, randomized pts only). For the 16 DPL pts, 9 pts in the no HCT and 3 pts in the HCT group have progressed or died; med PFS for no HCT vs. HCT is 11m (95% CI: 6.7, 18.1) vs. 41m (95% CI: 7.1, NR), respectively, and 2-yr PFS is no HCT vs. HCT is 18% (95% CI: 2.9%, 44.2%) vs. 60% (95% CI: 12.6%, 88.2%), respectively Among 12 DPL pts actually randomized, 2-yr PFS was 29% for no HCT and 60% for HCT, but confidence intervals overlap substantially. All 3 DHL pts have progressed and died at a med of 6.5m.
Conclusions: This is a subset analysis of the prospective S9704 trial; one of the largest data sets to address the question of upfront ASCT. True DHL were rare even in this high-risk cohort and had a dismal prognosis. The incidence of DPL was also less than reported in other series, and may reflect that adverse biologic features are more common in non-transplant, and thus older, populations. In an intent–to-treat analysis, there is a trend that MYC IHC+ and DPL patients consolidated with ASCT have improved outcomes; however, nearly one-third of MYC IHC+ pts were unable to be randomized due to early progression or death, suggesting that better induction regimens are needed. While these data are limited by small numbers, there seems to be a role for upfront ASCT in DPL which should be further explored.
Support: CA32102, CA38926, CA21115 and in part by Bristol-Myers Squibb.
No relevant conflicts of interest to declare.
Author notes
Asterisk with author names denotes non-ASH members.


This feature is available to Subscribers Only
Sign In or Create an Account Close Modal