Abstract
Low Dose Thymoglobulin Result in Improved Outcomes after Allogeneic Unrelated Hematopoietic Stem Cell Transplantation (HCT) for Patients with Acute Myeloid Leukemia/ Myelodysplastic Syndrome Conditioned with Intravenous Busulfan and Fludarabine.
Intravenous Busulfan/Fludarabine (Bu/Flu) based conditioning regimens have resulted in lower treatment related mortality (TRM) after allogeneic HCT in both reduced and full intensity dosing in AML/MDS. The addition of thymoglobulin to such regimens to minimize the risk of graft versus host disease after unrelated donor (MUD) HCT has been linked to the increased concerns of relapse risk.
In order to study the impact of addition of low dose thymoglobulin to Bu/Flu regimens in MUD recipients, the medical records of 38 consecutive AML/MDS patients who underwent MUD HCT with BU/Flu and low dose thymoglobulin were retrospectively reviewed. All the patients received single daily dose of iv Bu 3.2 mg/kg for 2 days (RIC, Bu2-Flu) or 4 days (FIC, Bu4-Flu) based on age, older or younger than 65 respectively. Fludarabine was given as a single daily dose of 40 mg/Kg for 4 days. Graft versus host disease prophylaxis was Tacrolimus/Methotrexate in FIC recipients and Tacrolimus/Mycophenolate in RIC recipients. Additionally, all the patients received thymoglobulin 1.5 mg/Kg on day -3, -2 and -1. All patients received peripheral stem cells except one patient with mismatch MD who received bone marrow product.
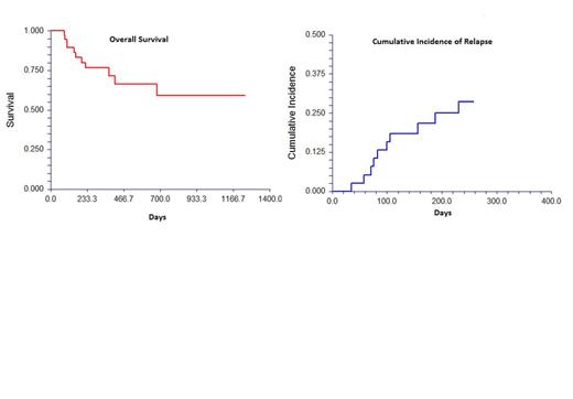
Patient Characteristics are shown in Table 1. All the patient engrafted except one who received marrow product. All the patients but 3 (8%) achieved 90% or more donor chimerism by day 100. With Mean follow up of 500 days (range, 100-1242) the overall survival (OS) was 77% ± 7 (CI 63-91%) at 1 year and 67% ± 9 (CI 49-85%) at 2 years. Similarly, disease free survival was 66% ±8 (CI 50-82%) at 1 and 2 years. Cumulative incidence of acute GVHD grade II-IV was 55% with grade III-IV 12%. Cumulative incidence of chronic GVHD at 1 year was 43% with extensive chronic GVHD in 17%. The regimen was associated with low treatment related mortality (TRM) with cumulative incidence of only 5% at one year, CI 14-21%. The cumulative incidence of relapse at one year was 29%, CI 17-49%. On univariate analysis only high risk CIBMTR status was predictive of poor OS (p=0.05).
The addition of low dose thymoglobulin to RIC and FIC regimens with iv Busulfan/Fludarabine prior to MUD HCT results in low TRM and improved OS for patients with AML/MDS. Relapse rate does not seem to be increased in this cohort by the addition of low dose thymoglobulin in comparison to historical control.
No relevant conflicts of interest to declare.
Author notes
Asterisk with author names denotes non-ASH members.


This feature is available to Subscribers Only
Sign In or Create an Account Close Modal