Abstract
Many studies have been confirmed that neovascularization, the formation of new blood vessels from existing vasculature, plays an essential role in growth, development and metastasis of acute leukemia. At present, antiangiogenic therapy of leukemia become the new hot spot. Acanthopanax senticosus(Chianese name Ci Wu Jia ,CWJ) is a kind of Chinese herb, which contain natural flavonoid compounds and have been proven to inhibit leukemia cell proliferation. But there is no detailed report about the relationship with the inhibition of leukemia cells and the inhibition of angiogenesis effect. In this study, we should demonstrate the inhibition of leukemia cell growth and antiangiogenic mechanism through HL60 cell lines, further confirm the inhibitory effect on leukemia and antiangiogenic effect of Acanthopanax senticosus,
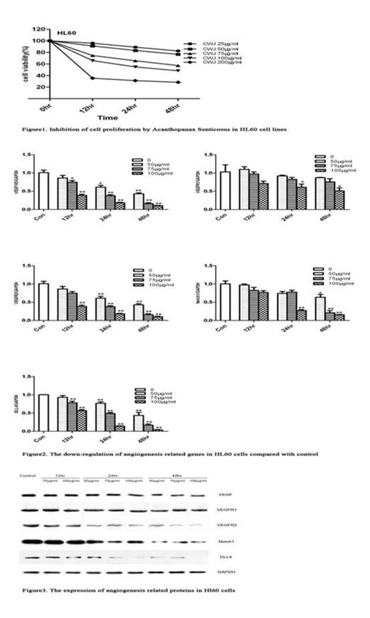
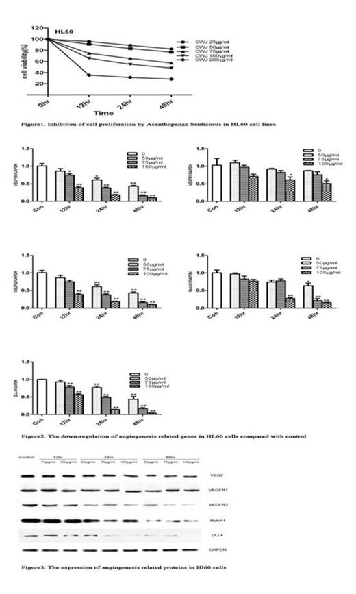
HL60 cells were treated with different concentrations of Acanthopanax senticosus (25°¢50°¢75°¢100°¢200µg/ml). Cell proliferation were detected using Cell Counting Kit-8. Kinds of transcription factors in Dll4/Notch (Delta-like 4 is the only ligand of Notch expressing in endothelium) and VEGF(R) signaling pathway were evaluated using quantitative real-time PCR (qRT-PCR) and Western blotting.
Acanthopanax senticosus inhibited the growth of HL60 cells, and the time and concentration dependence(Fig.1). We extracted RNA and protein from these cells at 12hr, 24hr and 48hr respectively, found that Acanthopanax senticosus remarkably results in VEGF, VEGFR2(VEGF Receptor 2), DLL4 down-regulation based on the time and the concentration dependence, and mild inhibit VEGFR1(VEGF Receptor 1) and Notch1 factors gene expression(Fig. 2). Western blotting also showed a significant inhibition protein of VEGFR2, DLL4 and Notch1, mild inhibited the expression of VEGF and VEGFR1 protein, and with time and concentration dependence (Fig. 3).
Acanthopanax senticosus can inhibited proliferation of HL60 cells in vitro and anti-angiogenesis effect mainly via inhibition of VEGFR2-mediated signaling. It has an instantaneous effect on Dll4/ Notch signaling pathway. The data have elucidated the potential roles of several key signaling pathways in angiogenesis.
No relevant conflicts of interest to declare.
Author notes
Asterisk with author names denotes non-ASH members.

This feature is available to Subscribers Only
Sign In or Create an Account Close Modal