Abstract
Persistence or recurrence of minimal residual disease (MRD) after chemotherapy results in clinical relapse in patients with acute lymphoblastic leukemia (ALL). In a phase 2 trial of B-lineage ALL patients with persistent or relapsed MRD, a T cell–engaging bispecific Ab construct induced an 80% MRD response rate. In the present study, we show that after a median follow-up of 33 months, the hematologic relapse-free survival of the entire evaluable study cohort of 20 patients was 61% (Kaplan-Meier estimate). The hema-tologic relapse-free survival rate of a subgroup of 9 patients who received allogeneic hematopoietic stem cell transplantation after blinatumomab treatment was 65% (Kaplan-Meier estimate). Of the subgroup of 6 Philadelphia chromosome–negative MRD responders with no further therapy after blinatumomab, 4 are in ongoing hematologic and molecular remission. We conclude that blinatumomab can induce long-lasting complete remission in B-lineage ALL patients with persistent or recurrent MRD. The original study and this follow-up study are registered at www.clinicaltrials.gov as NCT00198991 and NCT00198978, respectively.
Introduction
Persistence or reappearance of minimal residual disease (MRD) after induction chemotherapy is the most important adverse prognostic factor in patients with B-lineage acute lymphoblastic leukemia (ALL) and identifies chemorefractory disease.1-6 More than 90% of patients who fail to clear MRD after chemotherapy experience a clinical relapse despite continued chemotherapy. The median time to relapse of patients with MRD+ disease is 4-5 months.7 The only option to cure these patients is allogeneic hematopoietic stem cell transplantation (HSCT), but the outcome is suboptimal.8 Therefore, the development of novel therapies with an alternative mode of action for the treatment of molecularly refractory B-lineage ALL is urgently needed.
Blinatumomab, the first member of a novel class of T cell–engaging, bispecific single-chain (BiTE) Abs, engages T cells for redirected lysis of CD19+ target cells.9 CD19 is stably expressed on the majority of B-cell malignancies. First, efficacy data were generated in a phase 1 trial in patients with indolent non-Hodgkin lymphoma.10 Then, we investigated whether blinatumomab as a single agent could induce a negative MRD status in patients with MRD+ B-lineage ALL in a pilot phase 2 trial in 21 patients with B-lineage ALL with MRD persistence or relapse after induction and consolidation therapy.11 We present herein data from the first long-term follow-up analysis of the hematologic relapse-free survival (RFS) in this study. We also present data for patients who subsequently underwent allogeneic HSCT and for patients not receiving HSCT or any other treatment after blinatumomab. The original study and this follow-up study are registered at www.clinicaltrials.gov as NCT00198991 and NCT00198978, respectively.
Methods
Patients at least 18 years of age with B-lineage ALL in hematologic complete remission (CR) with molecular failure or molecular relapse starting at any time point after consolidation I of frontline therapy within the protocols of the German Multicenter Study Group for Adult Acute Lymphoblastic Leukemia (GMALL) were eligible. Patients were enrolled between January 2008 and August 2009. Details are described elsewhere.11-14 Kaplan-Meier estimates for RFS probability were calculated from first infusion to relapse or death. Patients without an event were censored at last follow-up. This study was conducted in accordance with the Declaration of Helsinki.
Results and discussion
Overall, 21 patients with persistence or relapse of MRD of B-lineage ALL after induction and consolidation I were treated with blinatumomab as a single agent. Fifteen patients had molecularly refractory disease and 5 had a molecular relapse11 (supplemental Table 1, available on the Blood Web site; see the Supplemental Materials link at the top of the online article).
All patients who completed at least the first treatment cycle were considered evaluable. One patient had to discontinue treatment in the first cycle because of a fully reversible grade 3 seizure.11 As reported previously, 80% (16 of 20 evaluable patients) of patients achieved an MRD response defined as MRD negativity within 4 cycles of treatment11 (supplemental Table 1).
In this follow-up study, we analyzed hematologic RFS at a median observation of 33 months (Figure 1A). At the time point of the current data cut, 12 patients are still in CR, resulting in a hematologic RFS estimate of 61% (Kaplan-Meier estimate; Figure 1A). The lower limit of the 95% confidence interval for median RFS was 19.1 months in the 16 MRD responders and 3.2 months in the 4 nonresponders. Therefore, since the last analysis, reported at a median observation time of 13 months, 2 patients experienced a CD19+ hematologic relapse and 1 patient died in CR. Because data on hematologic relapse are lacking, retreatment with blinatumomab was not permitted. These data compare favorably to previous results in patients with molecular relapse, with an 80% probability of clinical relapse and a median of 2.5 months from detection of MRD to hematologic relapse.2,7
Hematologic RFS. (A) For all 20 evaluable patients, median follow-up was 32.9 months and the lower limit of the 95% confidence interval for median follow-up was 19.1 months. (B) For the 9 HSCT patients, the median follow-up was 32.9 months and the lower limit of the 95% confidence interval for median follow-up was 31.1 months. (C) For the 11 patients not receiving HSCT, the median follow-up was 30.8 months and the lower limit of the 95% confidence interval for median follow-up was 5.1 months.
Hematologic RFS. (A) For all 20 evaluable patients, median follow-up was 32.9 months and the lower limit of the 95% confidence interval for median follow-up was 19.1 months. (B) For the 9 HSCT patients, the median follow-up was 32.9 months and the lower limit of the 95% confidence interval for median follow-up was 31.1 months. (C) For the 11 patients not receiving HSCT, the median follow-up was 30.8 months and the lower limit of the 95% confidence interval for median follow-up was 5.1 months.
All eligible patients with a donor were offered allogeneic HSCT after the first cycle of blinatumomab.11 Nine of the 20 patients received allogeneic HSCT after blinatumomab treatment (Figure 1B). The median time between completion of blinatumomab treatment and transplantation was 0.7 months. Treatment preceding transplantation was at least induction, consolidation I, and 1 cycle of blinatumomab.11 The conditioning for transplantation was conducted within the GMALL protocol. Patients did not receive treatment after transplantation unless relapse occurred. At a median follow-up of 33 months, 6 of these 9 patients are in hematologic CR (65% RFS by Kaplan-Meier estimate). Of the 9 HSCT patients, 8 had Ph− and 1 had Ph + B-lineage ALL. Two patients experienced a CD19+ hematologic relapse at months 19 and 31, and 1 patient died of GVHD at month 12. Therefore, we only observed 1 transplantation-related death among the 9 patients receiving HSCT after blinatumomab, suggesting that the sequence of inducing MRD response by blinatumomab followed by allogeneic HSCT does not lead to excessive treatment-related mortality.
Of the 11 patients who received no subsequent allogeneic HSCT (Figure 1C), 6 are in ongoing hematologic CR (60% RFS estimate at median follow-up of 31 months). One patient was censored because of withdrawal of informed consent after 2.6 months. Four patients relapsed after 3.2, 4.2, 5.1, and 6.5 months. Two of the 4 relapses were CD19− hematologic relapses; the other 2 were extramedullary (1 in the cerebrospinal fluid and 1 in the testis). In the subgroup not receiving HSCT, there was no hematologic relapse and/or death in hematologic CR at more than 7 months after blinatumomab. Four of the 11 patients not receiving allogeneic HSCT after blinatumomab had Ph+ ALL; 2 of these patients are in ongoing hematologic CR and both are on tyrosine kinase inhibitors as consolidation treatment. Two patients with Ph+ ALL relapsed after 4.2 and 5.1 months, without tyrosine kinase inhibitor treatment.
None of the 6 Ph− MRD responders who did not receive allogeneic HSCT after blinatumomab has received any further treatment after single-agent blinatumomab (Figure 2A). Four of these 6 patients are in hematologic and molecular CR at a median follow-up of 30 months. It is noteworthy that no hematologic and molecular relapse has been observed in this patient group over the past 2 years (Figure 2A-B). One patient relapsed after 6.5 months and one patient was censored. All patients in this small subgroup had an exceptionally high MRD burden of 10−3 or higher, indicating a particularly high-risk profile for clinical relapse.
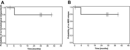
Follow-up on Ph-MRD responders. (A) Hematologic RFS of the 6 Ph− MRD responders who received no further treatment after blinatumomab. The median follow-up was 30.2 months and the lower limit of the 95% confidence interval for median follow-up was 6.5 months. (B) Duration of MRD response of the 6 Ph− MRD responders who received no further treatment after blinatumomab. The median follow-up was 29.2 months and the lower limit of the 95% confidence interval for median follow-up was 14.4 months.
Follow-up on Ph-MRD responders. (A) Hematologic RFS of the 6 Ph− MRD responders who received no further treatment after blinatumomab. The median follow-up was 30.2 months and the lower limit of the 95% confidence interval for median follow-up was 6.5 months. (B) Duration of MRD response of the 6 Ph− MRD responders who received no further treatment after blinatumomab. The median follow-up was 29.2 months and the lower limit of the 95% confidence interval for median follow-up was 14.4 months.
With respect to long-term disease control, there seems to be no marked difference between patients who did or did not receive HSCT in this follow-up analysis. It was reported recently that patients with molecular failure (defined similarly as in the present study) achieve an overall survival of 42%; one-third of patients in that study underwent HSCT.7 In patients without HSCT, survival was 33%. Disease-free survival without allogeneic HSCT was 10% and the median time from detection of molecular failure to hematologic relapse was 4.9 months in patients with MRD more than 10−3.7
Compared with these results, our follow-up data indicate that blinatumomab treatment not only reduces relapse incidence but also contributes to improved overall survival. Blinatumomab-induced MRD negativity translates into favorable RFS. Therefore, MRD response seems to be a clinically meaningful end point, not only in the context of induction chemotherapy, but also after blinatumomab treatment. Although this has to be confirmed in the larger trial started recently, these data suggest that blinatumomab has the potential to improve CR duration and overall survival of patients with chemorefractory MRD+ B-lineage ALL.
There is an Inside Blood commentary on this article in this issue.
The online version of this article contains a data supplement.
The publication costs of this article were defrayed in part by page charge payment. Therefore, and solely to indicate this fact, this article is hereby marked “advertisement” in accordance with 18 USC section 1734.
Acknowledgments
This work was in part supported by the Interdisciplinary Center for Clinical Research of Würzburg University (IZKF) and the Early Clinical Trial Unit of the Comprehensive Cancer Center Mainfranken.
Authorship
Contribution: M.S.T., N.G., G.Z., D.H., P.K., and R.C.B. designed and performed the research and analyzed the data; E.D., M.K., R.K.-V., D.N., and M.S. analyzed the data; M.G., S.N., H.A.H., T.R., A.V., M. Stelljes, M. Schaich, H.E., and M.K. performed the research; M.B., O.O., T.B., and M.K. provided the analytical tools; and M.S.T., N.G., G.Z., R.B., G.R., and R.C.B. wrote the manuscript.
Conflict-of-interest disclosure: G.Z., E.D., M.K., P.A.B., D.N., and M.S. are employed by and are share holders of Amgen Research (Munich) GmbH. M.S.T., N.G., M.G., R.K.-V., G.R., M.K., D.H., and R.C.B. are consultants for Amgen Research (Munich) GmbH. The remaining authors declare no competing financial interests.
Correspondence: Max S. Topp, Department of Internal Medicine II, Universitätsklinikum Würzburg, Oberdürrbacherstr.6, 97080 Würzburg, Germany; e-mail: topp_m@klinik.uni-wuerzburg.de.
References
Author notes
M.S.T., N.G., G.Z., and R.C.B. contributed equally to this work.


This feature is available to Subscribers Only
Sign In or Create an Account Close Modal