Abstract
Abstract 1136
Bleeding events associated with hemophilia are characterized by spontaneous or trauma-related hemorrhage into soft tissue, muscles, and joints. Spontaneous hemorrhage in patients with hemophilia is generally considered to occur randomly and without a predictable temporal or seasonal pattern. While there are a few reports that have examined the effects that weather, temperature, and atmosphere might have on spontaneous bleeding, there is a lack of evidence in the medical literature for consistent seasonal variation in bleeding risk in patients with hemophilia (Linde P & Syrbe G, Gesamte Inn Med 1990;45:657–9; Linde P & Syrbe G, Folia Haematol Int Mag Klin Morphol Blutforsch 1990;117:519–25; Rainsford SG & Hall A, Br J Haematol 1973;24:539–51; Benbassat J, Br Med J 1971;3:771; van Dijk K et al, Blood 2004).
This post hoc analysis of a randomized controlled trial examined the influence of seasonality on bleeding frequency and patient-assessed pain in patients with hemophilia B.
In a multicenter, open-label crossover study, 50 patients with moderately severe and severe (FIX C ≤ 2%) hemophilia B were enrolled and treated on demand for 16 weeks, and 47 were subsequently randomized to 1 of 2 prophylactic regimens (100 IU/kg once weekly or 50 IU/kg biweekly) for 16 weeks. Following the initial prophylactic regimen, and before crossing over to the other prophylactic regimen, patients underwent an 8-week washout period of on-demand (OD) therapy. The primary end point was the annualized number of bleeding episodes, expressed as the annualized bleeding rate (ABR). The results of this study were previously reported (Valentino LA, et al, 2011 ISTH poster 1293). This post hoc analysis presents, as a scatterplot, the ABR during the calendar months when the patients were receiving OD therapy. Also presented as scatterplots are results of a patient-reported measure of pain completed during every joint bleeding event (spontaneous or traumatic) during the OD periods (Brief Pain Inventory; 0 [“no pain”] to 10 [“pain as bad as you can imagine”]). The OD periods were selected for this analysis in order to evaluate bleeding events without the influence of the prophylactic regimens.
Figure 1 shows the ABR for each patient for each OD period with data. Because most patients had relatively similar ABR values for both OD periods, the data were combined. Data for OD1 and OD2 are included in Figure 1, up to 2 values per patient. The time point shown for each patient's ABR is the midpoint of that patient's participation in that period. The observed ABRs during the OD periods showed no distinguishable trend over time.
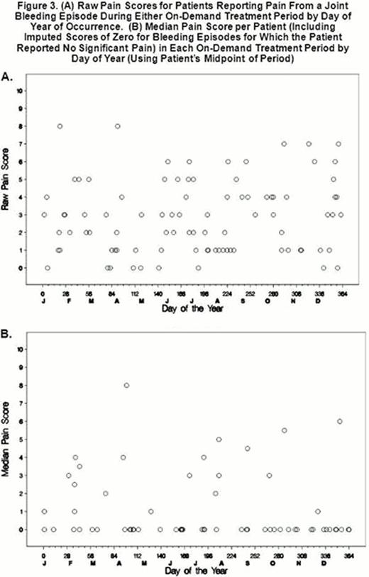
The proportion of joint bleeding episodes during which a patient reported pain is shown in Figure 2. Each point represents the proportion of joint bleeding events for which the patient answered “Yes” to question 1 on the Brief Pain Inventory (“Have you experienced significant pain today?”) plotted at the midpoint of the patient's participation in that period. For patients reporting significant pain as a result of a joint bleeding episode, no distinguishable temporal pattern was observed in the raw pain score (plotted on the day the episode occurred; Figure 3A) reported for each episode. A pain score of 0 was then imputed for any joint bleeding episode for which a patient reported no significant pain. The median pain score (plotted at the midpoint of the patient's participation in that period; Figure 3B) recorded by each patient for all joint bleeding episodes during the OD periods likewise showed no distinguishable temporal pattern.
In this analysis, no discernible seasonal or temporal pattern was observed with respect to the frequency of bleeding episodes, as assessed by the ABR during the calendar months when patients were receiving OD treatment. Likewise, no pattern was observed in patient-reported occurrence or intensity of pain during joint bleeding episodes. These results support the observation that there is no apparent seasonal variation in bleeding pattern or patient-reported pain in patients with hemophilia B.
Shafer:Pfizer: Employment. Smith:Pfizer, Inc: Employment. Vendetti:Pfizer, Inc: Employment. Rendo:Pfizer, Inc: Employment. Carr:Pfizer, Inc: Employment.
Author notes
Asterisk with author names denotes non-ASH members.



This feature is available to Subscribers Only
Sign In or Create an Account Close Modal