Abstract
Abstract 4001
Low serum albumin level is known to be an adverse prognostic factor in patients with malignancies such as multiple myeloma. We previously reported that severe hypoalbuminemia (<3.0 g/dl) at day +90 post allogeneic hematopoietic stem cell transplant (AHCT) was an independent predictor of non-relapse and overall mortality in patients with acute myeloid leukemia (AML) and myelodysplastic syndromes (MDS) (Kharfan-Dabaja et al Biol Blood Marrow Transplant. 2010 Jul). In this study we examined prognostic value of serum albumin level in patients with MDS.
Data were analyzed from the Moffitt Cancer Center (MCC) MDS database with chart review verification. The primary objective was to examine the role of serum albumin at time of presentation to MCC as a prognostic marker for overall survival (OS). Patients were divided into 3 groups of serum albumin levels (≤ 3.5, 3.6–4.0 and > 4.0 g/dl). The Kaplan–Meier method was used to estimate median OS. The log rank test was used to compare Kaplan–Meier survival estimates between two groups. Cox proportional hazards regression was used for multivariable analysis.
Between January 2001 and December 2009, 844 patients were captured by the MCC MDS database. The median age was 69 years. MDS subtypes were coded as refractory anemia (RA) (n=98;12%), refractory anemia with ring sideroblasts (RARS) (n=76;9%), del(5q) (n=20;2.4%), refractory cytopenia with multi-lineage dysplasia (RCMD) (n=96;11%), refractory anemia with excess blasts (RAEB) (n=255;30%), therapy related MDS (n=22;2.6%), and MDS-NOS (n=275; 33%). The distribution of IPSS risk groups was: 18.7% Low risk, 42.9% Intermediate-1 (Int-1), 19.9% Int-2, 5.3% High risk, and 13.2% unknown. Baseline characteristics for the three patient groups defined by serum albumin level are summarized in (Table-1). There was no difference in red blood cell transfusion dependency (RBC-TD) rate between the 3 groups (p=0.21). The median OS for all patients was 36 months (95% confidence interval (CI) 31.5–40.5 mo). Age, IPSS risk group, RBC-TD, Serum ferritin were statistically significant prognostic factors in univariable analysis.
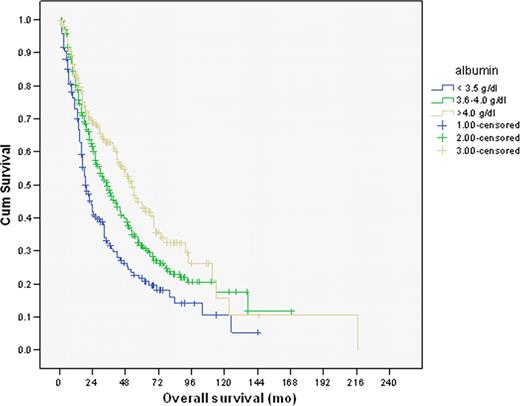
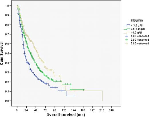
The median OS was 19 mo (95%CI= 14.9–23.1 mo), 35 mo (95%CI= 28.7–41.3 mo), and 53 mo (95%CI= 44.7–61.3 mo) for patients with serum albumin levels ≤ 3.5 g/dl, 3.6–4.0 g/dl, > 4.0 g/dl, respectively. (Figure-1) (p= <0.005). After adjustment for age, RBC-TD, OS was statistically significantly inferior among MDS patients with lower serum albumin (Hazard Ratio (HR) = 0.79.; 95%CI= 0.69–0.90; p= 0.001), and higher-risk IPSS group (HR=1.67; 95%CI=1.48-1.87; p= <0.005).
The overall rate of AML transformation was 29.2%. Rate of AML transformation was higher in patients with lower serum albumin, 38% in patients with serum albumin ≤ 3.5 g/dl, 30% for patients 3.6–4.0 g/dl, and 23% in patients with serum albumin > 4.0 g/dl (p-value 0.005).
Among patients in the Low/Int-1 IPSS risk group, the median OS was 28 mo (95%CI=15.7-40.3 mo), 48 mo (95%CI=38.8-58.0 mo), and 60 mo (95%CI=47.6-72.4 mo) for patients with serum albumin levels ≤ 3.5 g/dl, 3.6–4.0 g/dl and > 4.0 g/dl, respectively (p=0.003). Among patients in the Int-2/High IPSS risk group, the median OS was 16 mo (95%CI 13.3–15.7 mo), 22 mo (95%CI 18.0–26.0 mo), and 21 mo (95%CI 8.8–33.2 mo) respectively for patients with serum albumin levels ≤ 3.5 g/dl, 3.6–4.0 g/dl and > 4.0 g/dl, respectively p=0.03).
In this retrospective analysis of a large single institution MDS database, serum albumin is found to be an independent prognostic factor for OS and AML transformation in MDS patients. The prognostic power of low serum albumin was greatest among patients with Low/Int-1 IPSS risk group, but remained an independent variable across all risk groups. Serum albumin may also be a surrogate marker of general health, co- morbidities, and performance status.
Baseline Characteristics
| . | Serum albumin ≤ 3.5 g/dl . | Serum albumin 3.6–4.0 g/dl . | Serum albumin > 4.0 g/dl . |
|---|---|---|---|
| AGE (mean) | 68 | 68 | 65 |
| IPSS risk Group | 16 (11%) | 74 (23.5%) | 67 (25.6%) |
| Low | 73 (50.3%) | 152 (48.3%) | 132 (49.4%) |
| Int-1 | 39 (26.9%) | 72 (22.9%) | 57 (21.3%) |
| Int-2 | 16 (11.7%) | 17 (5.4%) | 11 (4.1%) |
| High | |||
| Serum Ferritin (mean) | 2174 | 1067 | 805 |
| RBC Transfusion Dependency | 82 (49.7%) | 166 (47.6%) | 377 (47%) |
| . | Serum albumin ≤ 3.5 g/dl . | Serum albumin 3.6–4.0 g/dl . | Serum albumin > 4.0 g/dl . |
|---|---|---|---|
| AGE (mean) | 68 | 68 | 65 |
| IPSS risk Group | 16 (11%) | 74 (23.5%) | 67 (25.6%) |
| Low | 73 (50.3%) | 152 (48.3%) | 132 (49.4%) |
| Int-1 | 39 (26.9%) | 72 (22.9%) | 57 (21.3%) |
| Int-2 | 16 (11.7%) | 17 (5.4%) | 11 (4.1%) |
| High | |||
| Serum Ferritin (mean) | 2174 | 1067 | 805 |
| RBC Transfusion Dependency | 82 (49.7%) | 166 (47.6%) | 377 (47%) |
Kaplan Meier Estimates of OS according to serum albumin in patients with MDS. (p <0.005, log rank test)
Kaplan Meier Estimates of OS according to serum albumin in patients with MDS. (p <0.005, log rank test)
No relevant conflicts of interest to declare.

This icon denotes a clinically relevant abstract
Author notes
Asterisk with author names denotes non-ASH members.

This feature is available to Subscribers Only
Sign In or Create an Account Close Modal