Abstract
Abstract 960
We have recently shown that multiple myeloma (MM) patients undergoing autologous transplantation (ASCT) followed by a consolidation with Bortezomib/Thalidomide/Dexamethasone (VTD) achieve molecular remission in 17% and major tumor shrinking assessed by real time-quantitative (RQ) PCR in the majority of cases (Ladetto et al, ASH Meeting 2008). However little is known on the minimal residual disease (MRD) kinetics occurring after such an extensive cytoreduction. In this study we have investigated the disease kinetics in the post-consolidation phase with the aim of identifying the RQ-PCR patterns associated with persistent remission or increased risk of relapse.
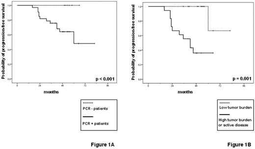
Inclusion criteria and consolidation treatment for this study have been already reported and included: 1) a documented complete or very good partial remission following ASCT delivered as first line treatment; 2) no previous treatment with thalidomide and bortezomib; 3) presence of a molecular marker based on the immunoglobulin heavy chain rearrangement (IgH-R). Consolidation consisted of four courses of: a) Bortezomib 1.6 mg/m2 on days 1, 8, 15, 22; b) Thalidomide at the initial dose of 50 mg/day with increments up to 200 mg; c) Dexamethasone 20 mg/day on days 1 to 4, 8 to 11 and 15 to 18. MRD was assessed on bone marrow samples at diagnosis, study entry, after two VTD courses, at the end of treatment and then at six months intervals. Qualitative and RQ-PCR analysis were carried out using IgH-R derived patient specific primers as already described (Voena et al, Leukemia 1997; Ladetto et al, Biol Bone Marrow Transpl 2000). MRD kinetics of relapsing vs non relapsing patients has been measured using observed marginal medians of ln RQ-PCR values. For the predictive value of MRD kinetics patients were defined as having low tumor burden (TB) if they reached after VTD a MRD level <100 IgH-R/106 diploid genomes and as having active disease whenever a 10-fold tumor burden increase was recorded.
Feasibility, toxicity and clinical outcome of the trial have been already reported (Ladetto et al, ASH Meeting 2008). Thirty-nine patients were enrolled. Median follow-up from study entry is currently 32 months (50 from start of first line treatment). Following VTD, six patients achieved molecular remission (MR). Of these none has so far experienced a clinical relapse. MR was persistent in all patients, with an occasional PCR positive result in a patient who later reverted to PCR negativity. Among PCR positive patients 12 clinical relapses have been so far reported (50 months PFS: MR 100% vs no MR 62% - Figure 1A, p<0.001). Figure 2 shows the kinetics of MRD overtime in relapsing vs not relapsing patients (p<0.001), assessed on 230 RQ-PCR determinations at different timepoints. When RQ-PCR results of PCR positive patients were correlated with outcome we observed the following: 1) 14 patients achieved low TB and never had signs of active disease: none of them has so far relapsed except one who refused to undergo MRD monitoring and relapsed three year after the last PCR evaluation; 2) 13 patients never achieved a low TB and 8 of them relapsed; 3) 5 patients achieved a low TB but subsequently showed evidence of active disease: 3 of them relapsed. Patients in the first subgroup showed a 50 months PFS of 100% as opposed to those in group 2-3 who had a PFS of 37% (Figure 1B, p=0.001).
Our results indicate that: 1) MRs following VTD are stable over time with no evidence of clinical and molecular relapse; 2) The vast majority of relapses occur in patients failing to achieve a low and stable TB; 3) Molecular monitoring of MRD allows to identify a large subset of patients (51% of cases) with an extremely low-risk of short-term relapse.
Ladetto:CELGENE: Honoraria; JANSSEN-CILAG: Research Funding. Cavallo:CELGENE: Honoraria. Caravita:CELGENE: CONSULTANCY. Musto:JANSSEN-CILAG: Honoraria; CELGENE: Honoraria. Boccadoro:CELGENE: CONSULTANCY, ADIVISORY COMMITTEES, Research Funding; JANSSEN-CILAG: CONSULTANCY, ADIVISORY COMMITTEES, Research Funding; PHARMION: CONSULTANCY, ADIVISORY COMMITTEES, Research Funding. Palumbo:CELGENE: Honoraria; JANSSEN-CILAG: Honoraria.
Author notes
Asterisk with author names denotes non-ASH members.


This feature is available to Subscribers Only
Sign In or Create an Account Close Modal