Abstract
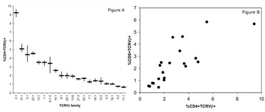
Human T cell development is characterized by three phases of clonal selection and expansion: (1) β-selection which occurs independent of ligand recognition; (2) Positive thymic selection resulting in the outgrowth of T cell clones with an intermediate affinity for self-MHC/ self-peptide complexes; (3) Post-thymic antigen-driven expansion. The T cell receptor (TCR) Vβ frequencies in the peripheral blood could therefore be determined by T cell selection and expansion at one or all phases. To determine whether Vβselection patterns originate at the first phase of thymic proliferation we used flow cytometric analysis to quantitate 21 TCRVβ proteins in peripheral blood T cells of 23 HLA-disparate healthy adults. A common rank order of TCRVβ allele frequencies was found in both CD4 and CD8 T cell subsets (figure A). We found the same spectrum of HLA-independent TCR Vβ frequencies in three published studies of healthy adults. Furthermore, the percentages of CD4 cells expressing a particular Vβ were almost identical in a total of 151 data points, and was significantly correlated in CD8 cells (R2 = 0.79; slope 0.61; p < 0.00001). A significant correlation in TCRVβ allele frequencies in CD4 cells and CD8 cells was identified in all data sets (R2 = 0.73, slope 0.54, p < 0.00001)(figure B). Individuals over 50 years of age showed a 5-fold increase in variability of Vβ frequency in CD4 cells than younger subjects. The difference in the median values was statistically significant (p = 0.03) using a permutation test, indicating that post-thymic antigen recognition skewed the mature αβ T cell repertoire predominantly in elderly individuals. Our data therefore indicate that the patterns of TCRVβ protein frequencies are shaped during β-selection, conserved throughout life and are only weakly modified by antigen-driven thymic and post-thymic selection and expansion. A genetic basis for this underlying TCR Vβ frequency pattern remains undefined since there was no association of TCRVβ expression frequencies with chromosomal (5′-3′) organization. However, the reproducible pattern of TCR Vβ frequencies between individuals of diverse HLA types and distinct origins suggests that they are determined by a common genetic mechanism.
Author notes
Corresponding author

This feature is available to Subscribers Only
Sign In or Create an Account Close Modal