Abstract
Detailed longitudinal studies of patients with X-linked lymphoproliferative disease (XLP) may increase our understanding of the immunologic defects that contribute to the development of lymphoma and hypogammaglobulinemia in XLP. We describe progressive changes observed in immunoglobulin concentrations, lymphocyte subsets, and Epstein-Barr virus (EBV) loads occurring in a 2-year period in a newly infected, but otherwise healthy, carrier (patient 9). We compare these findings with those observed in the patient's brother, who had hypogammaglobulinemia and XLP (patient 4). Immunoglobulin G (IgG), IgM, and IgA concentrations increased in patient 9 during acute EBV infection, but thereafter they decreased steadily to concentrations consistent with hypogammaglobulinemia, reaching a plateau 5 months after infection. In both patients, CD19+ B-lymphocyte rates remained lower than 3%, with a contraction of the B-cell memory compartment (CD27+ CD19+/CD19+) to 20% (normal range, 32%-56%). T-lymphocyte subpopulations showed a reduction in CD4+ T-cell counts and a permanent CD8+ T-cell expansion. Interestingly, CXCR3 memory TH1 cells were expanded and CCR4+ TH2 lymphocytes were reduced, suggesting that abnormal skewing of memory T-cell subsets might contribute to reduced antibody synthesis. Despite an expanded number of CD3+CD8+ lymphocytes, increased EBV loads occurred in both patients without overt clinical symptoms of mononucleosis, lymphoproliferative disease, or lymphoma.
Introduction
X-linked lymphoproliferative disease (XLP) is a rare genetic disorder characterized by immune dysregulation and lymphoproliferation after primary exposure to Epstein Barr virus (EBV).1,2 Fulminant infectious mononucleosis is the most common clinical phenotype; it occurs in approximately 60% of XLP patients. Although the disease is generally fatal, 8% of XLP patients are estimated to survive primary EBV infection. Among these survivors, 25% contract persistent B-cell dysfunction that leads to hypogammaglobulinemia and necessitates immunoglobulin (IgG) replacement therapy.3,4
XLP results from mutational inactivation of a gene named SH2D1A,5 also known as SAP6 and DHSP,7 located in the Xq25 chromosomal region. It is predicted that the SH2D1A gene encodes a protein consisting of 128 amino acids and containing a single SH2 domain and a short carboxyl-terminal tail.7 Various SH2D1A mutations have been identified in XLP patients, but there is no obvious correlation between clinical phenotype and SH2D1A genotype.8 Several immune system defects have been described in XLP patients either before EBV infection or after infectious mononucleosis (IM). These alterations range from subtle defects in the levels of serum immunoglobulins and altered ratios of T-lymphocyte subsets to a variety of more profound defects including deficiencies in natural killer (NK) cell activity, long-term antibody production, and perturbations in TH1 and TH2 cytokine secretion.9,10 More recent studies using Sap knockout mice (Sap–/–) have corroborated some of these immunologic findings in humans and have facilitated new areas of research into this fascinating yet poorly understood disease.11
Because the phenotypic expression of XLP appears to progress over time,3 previous cross-sectional studies describing diverse immunologic defects may not be sufficient to explain the various clinical manifestations associated with XLP. Rather, more detailed longitudinal studies of patients may provide additional insights into the pathogenesis of this disorder. To understand better the immunologic defects that develop in XLP patients surviving primary EBV infection, we performed the current investigation.
In this report, we describe the progressive immunologic changes that occurred in a 25-month period in a previously healthy XLP patient who survived acute EBV infection. We compare our findings with the immune defects of his affected brother, who also survived primary EBV and has been clinically observed for a 35-year period. Consistent with previous reports, both patients contracted hypogammaglobulinemia. Interestingly, immunophenotypic investigations of peripheral blood lymphocytes revealed that both patients progressively lost circulating memory B cells and CCR4+ T cells, properties that might have contributed to their defective long-term antibody production. In contrast to their abnormally low humoral immune responses, both patients demonstrated progressive and permanent expansion of CD8+ T-lymphocyte numbers, with increased expression of TH1-associated lymphocyte markers such as CXCR3. Despite this CD8+ T-cell expansion, quantitative polymerase chain reaction (PCR) analysis revealed persistently elevated EBV loads, suggesting that these patients were experiencing defects in long-term anti-EBV immunity. Taken together, our data indicate that in addition to acute anti-EBV immune responses, SH2D1A regulates important steps during lifelong surveillance against this virus. More important, SH2D1A may be also required for memory B- and T-cell differentiation, survival, and function, suggesting that the immunologic defects associated with XLP may extend beyond a simple inability to properly handle EBV infection.
Patients, materials, and methods
Family history of XLP and case histories for patients 9 and 4
A presumptive diagnosis of XLP was suggested in this family when 2 maternally related brothers (patients 3 and 4) had manifestations compatible with XLP (Figure 1A). The XLP diagnosis was initially established by analysis of restriction fragment length polymorphisms, and results were later confirmed by direct sequence analysis. The inactivating mutation identified in this family resulted from the substitution of a G for a C nucleotide at position 383 within SH2D1A exon 1, which is predicted to introduce an arginine instead of a serine at codon 28. Western blot analysis revealed that this mutation leads to decreased SH2D1A protein expression in XLP peripheral blood mononuclear cells (PBMCs) when compared with cells obtained from healthy control subjects (Figure 1B). The brothers shown in Figure 1 (patients 3, 5, 7, and 10) died of different causes, all likely related to underlying XLP. For example, patient 3, affected with hypogammaglobulinemia, died at 34 years of age T-cell lymphoma developed. Patient 5 died at 3 years of age after an acute lymphoproliferative process developed. Patient 7 died at 7 years of age with a presumptive diagnosis of acute myeloblastic leukemia. Last, patient 10 died at 3 years of age after an umbilical tumor, described as a botryoid sarcoma, was diagnosed. Among the 3 surviving brothers, patient 6 has no SH2D1A mutation, and the surviving affected siblings, patients 4 and 9, are subjects of the current investigation. Patient 4, now 41 years old, had tonsillar lymphoma at 4 years of age that was treated with a combination of chemotherapy and radiotherapy. Patient 9, identified at 18 years of age as a carrier of XLP, has received prophylactic IgG infusions to prevent primary EBV infection. Despite this therapy, at 26 years of age he developed clinical signs and symptoms consistent with EBV infection, including fever to 39°C, malaise, and generalized adenopathy. EBV infection was confirmed by PCR, and he was successfully treated with humanized anti-CD20 monoclonal antibody (rituximab) (K.E.N. et al, manuscript in preparation), in combination with acyclovir and continued intravenous IgG infusions.
Family C (XLP) pedigree and genetic investigations. (A) ▪ indicates male members of the family who died of XLP-associated disease; ▦, surviving XLP patients; and □ or ○, unaffected members. Female members 2 and 11 are obligate heterozygous for the XLP deficiency. (B) PBMCs obtained from a healthy control and from patient 9 were stimulated with phytohemagglutinin (PHA, 1 μg/mL) for the indicated times. After stimulation, whole-cell lysates were evaluated by Western blotting using anti-SH2D1A antibody. In normal cells, SH2D1A protein levels increase gradually after stimulation. SH2D1A protein levels are decreased at baseline in patient 9 and fail to increase in response to PHA stimulation. (bottom panel) Dot-plot analysis of patient 9 and control (N) samples shown as an example.
Family C (XLP) pedigree and genetic investigations. (A) ▪ indicates male members of the family who died of XLP-associated disease; ▦, surviving XLP patients; and □ or ○, unaffected members. Female members 2 and 11 are obligate heterozygous for the XLP deficiency. (B) PBMCs obtained from a healthy control and from patient 9 were stimulated with phytohemagglutinin (PHA, 1 μg/mL) for the indicated times. After stimulation, whole-cell lysates were evaluated by Western blotting using anti-SH2D1A antibody. In normal cells, SH2D1A protein levels increase gradually after stimulation. SH2D1A protein levels are decreased at baseline in patient 9 and fail to increase in response to PHA stimulation. (bottom panel) Dot-plot analysis of patient 9 and control (N) samples shown as an example.
The blood samples used in these investigations were obtained on a monthly basis before IgG infusion and were collected after informed consent was obtained. For these studies, healthy control subjects were asymptomatic adults (25-40 years of age) with positive EBV serology (IgG anti-VCA + 1:16-1:32), indicative of past EBV infection.
Genetic and protein expression studies
The clinical diagnosis of XLP was confirmed in patients 9 and 4 by a series of complementary genetic studies, including an initial analysis of DNA restriction fragment length polymorphisms performed at the International XLP Registry in Nebraska. Subsequently, we confirmed the diagnosis by performing direct sequence analysis of the SH2D1A gene. For the latter investigations, genomic DNA was extracted from PBMCs according to standard protocols. Exons 1 to 4 of SH2D1A and flanking intronic sequences were PCR amplified, as previously described,12 and then purified and subjected to automated sequence analysis. Decreased SH2D1A protein expression was confirmed by Western blot analysis using an anti-SH2D1A antibody.13
Immunoglobulin determination
IgG, IgA, and IgM concentrations were determined using standard nephelometry.14 Normal control values are: IgG, 710 to 1520 mg/dL; IgA, 90 to 310 mg/dL; and IgM, 40 to 157 mg/dL.
EBV load
EBV load was investigated using a commercial PCR kit by amplifying a conserved 210–base pair (bp) sequence within the EBER 1 gene of EBV-1 and EBV-2 (BioSource International, Camarillo, CA). The range of detection of this assay is 25 to 800 000 copies. Real-time quantitative EBV DNA PCR was also performed.15 Primers used for qualitative and quantitative EBV DNA real-time TaqMan PCR assays are from a portion of the EBV DNA genome that encodes for the nonglycosylated membrane protein BNRF1 p143 (p143 forward primer, 5′-GGA ACC TGG TCA TCC TTG C-3′; p143 reverse primer, 5′-ACG TGC ATG GAC CGG TTA AT-3′; probe, 5′-[FAM reporter]-CGC AGG CAC TCG TAC TGC TCG CT-[TAMRA quencher]-3′). The generated DNA product is 74 bp. Results are expressed as the number of EBV copies per 1 × 106 peripheral blood leukocytes. The range of detection of this assay is 25 million to 400 million viral copies.15
Leukocyte phenotype studies
Lymphocyte subsets were determined by flow cytometric analysis using whole blood that had been briefly treated with a fluorescence-activated cell sorter (FACS) lysing reagent (Becton Dickinson Biosystems, Buenos Aires, Argentina) or Ficoll-Hypaque–purified mononuclear cells. Anti-CD45/CD14, anti-CD3, anti-CD4, and anti-CD8 monoclonal antibodies (Becton Dickinson, Biosystems) anti-CD14, anti-CD64, anti-CD16, anti-CD56, anti-CD19, anti-CD20, anti-CD21, anti-CD27, anti-CXCR3 (Becton Dickinson, San Jose, CA), and anti-CCR4 (R&D Systems, Minneapolis, MN) were used at the concentrations recommended by the suppliers. The cells were evaluated using a FACScan cytometer and the SimulSet or CellQuest software (Becton Dickinson).
Results
Investigation of immunoglobulin levels in patient 9
The immunoglobulin profile of patient 9 is shown in Figure 2. Before EBV infection, immunoglobulin values remained normal and were stable until February 9, 2001. After acute EBV infection, he developed transient hypergammaglobulinemia (IgG, 1703 mg/100 mL; IgA, 528 mg/100 mL, IgM 948 mg/100 mL), with an IgG-κ paraprotein, most likely reflecting increased immunoglobulin production by EBV-infected B lymphocytes. Continued monitoring of preinfusion immunoglobulin levels, however, revealed progressive reduction in all immunoglobulin isotypes in the ensuing months, reaching levels similar to those of his brother (patient 4) with chronic hypogammaglobulinemia (less than 500 mg/100 mL IgG and less than 10 mg/100 mL IgA or IgM).
Serum immunoglobulin concentrations after EBV infection in patient 9. Serum immunoglobulin determinations were made on samples obtained before prophylactic infusion of γ-globulin. Arrow indicates the date of primary EBV infection.
Serum immunoglobulin concentrations after EBV infection in patient 9. Serum immunoglobulin determinations were made on samples obtained before prophylactic infusion of γ-globulin. Arrow indicates the date of primary EBV infection.
Persistent EBV infection
Acute EBV infection was demonstrated during the initial febrile period by direct detection of 18 164 copies of EBV viral genome within 1 × 106 circulating PBMCs by quantitative PCR analysis. One month after treatment with rituximab, steroids, γ-globulin, and acyclovir, the viral load was reduced to 278 copies/106 leukocytes. Serologic studies revealed humoral immunity to EBV, as demonstrated by an IgG anti-VCA titer of +1:32, an IgM anti-VCA titer of +1:6, and an anti–Epstein-Barr nuclear antigen (EBNA) titer of 2.6 (normal, less than 1.0). The anti-EBV IgG titers were previously observed and could be attributed to the intravenous infusions of IgG. The anti-EBV IgM titers may reflect a primary immune response to EBV, though the highly increased IgM serum concentration that the patient had at that time might have induced a false-positive result. Quantitative PCR analysis was repeated 12 months after EBV infection, and a surprisingly high viral load was demonstrated (16 424 viral copies/106 leukocytes), despite the absence of clinical features of chronic EBV infection or laboratory or radiologic evidence of lymphoproliferative disorder or lymphoma. A similarly high result was seen at 18 months after infection (8750 copies/106 leukocytes). Although quantitative PCR was not routinely performed at the time primary EBV infection developed in patient 4, we noted when he was 39 (35 years after the diagnosis of lymphoma) that he also had an abnormally elevated EBV load (518 copies/106 leukocytes).
Evaluation of leukocyte immunophenotype
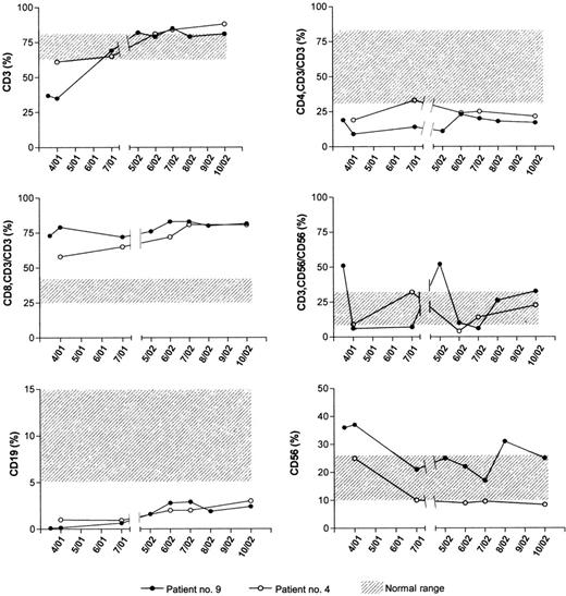
Sequential studies of lymphocyte subpopulations obtained from patient 9 were initiated after he recovered from acute EBV infection in April 2002 (Figure 3). Initially, CD3 values were low (37% of total circulating lymphocytes), mainly because of decreased numbers of CD4+ lymphocytes. The proportions of CD8+ and CD56+ lymphocytes (which were predominantly CD3+CD56+) were higher than those observed in healthy persons. In subsequent investigations, CD3 values increased progressively, with persistently elevated levels of CD8+ lymphocytes and variably increased levels of CD56+ and CD3+CD56+ cells. In contrast, CD4 values always remained below the normal range.
Leukocyte immunophenotype of XLP patients 9 and 4. Percentages of CD3+ T lymphocytes, CD19+ B lymphocytes, CD56+ NK lymphocytes, CD3+CD56+ NK T cells, and CD4+CD3+ and CD8+CD3+ T regulatory subsets were determined by flow cytometry, as described in “Patients, materials, and methods.” Shaded area corresponds to the normal range (mean ± 2 SEM) of determinations performed simultaneously on 7 controls (asymptomatic adults with positive IgG anti-VCA serology).
Leukocyte immunophenotype of XLP patients 9 and 4. Percentages of CD3+ T lymphocytes, CD19+ B lymphocytes, CD56+ NK lymphocytes, CD3+CD56+ NK T cells, and CD4+CD3+ and CD8+CD3+ T regulatory subsets were determined by flow cytometry, as described in “Patients, materials, and methods.” Shaded area corresponds to the normal range (mean ± 2 SEM) of determinations performed simultaneously on 7 controls (asymptomatic adults with positive IgG anti-VCA serology).
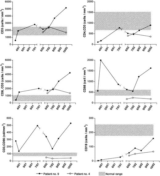
Considering the absolute lymphocyte count, the values of CD3+, CD4+, and CD8+ lymphocytes were all initially decreased in patient 9 after EBV infection (Figure 4). Although low absolute numbers of CD4+ T cells persisted, the numbers of CD3+CD8+ lymphocytes rapidly increased, reaching values well above the normal range within 15 months of infection. Interestingly, the numbers of NK cells were very high after EBV infection and consisted predominantly of CD3+CD56+ cells. As shown in Figure 4, samples of patient 4 were studied when available, but in this case the lymphocyte subpopulations remained stable. The numbers of CD3+ and CD56+ cells were below the normal range, with increased CD3+CD8+ lymphocytes and low CD3+CD4+ lymphocytes.
Changes in absolute lymphocyte subpopulation values of patients 9 and 4 in 2 years. Absolute numbers of CD3+, CD19+, CD56+ lymphocytes, and the CD3+CD56+, CD4+CD3+, or CD8+CD3+ lymphocyte subset were calculated, taking into account relative values (Figure 3) and the total lymphocyte counts for each date. Shaded area corresponds to the normal range (mean ± 2 SEM) of determinations performed simultaneously on 7 control subjects.
Changes in absolute lymphocyte subpopulation values of patients 9 and 4 in 2 years. Absolute numbers of CD3+, CD19+, CD56+ lymphocytes, and the CD3+CD56+, CD4+CD3+, or CD8+CD3+ lymphocyte subset were calculated, taking into account relative values (Figure 3) and the total lymphocyte counts for each date. Shaded area corresponds to the normal range (mean ± 2 SEM) of determinations performed simultaneously on 7 control subjects.
Loss of CD19+ memory B lymphocytes in patients 9 and 4
To elucidate the mechanisms underlying the progressive hypogammaglobulinemia that developed in patients 9 and 4, we more closely analyzed the B-cell compartment. CD19+ B lymphocytes were barely detectable in the initial post-EBV infection samples obtained from patient 9 and in the samples drawn up to 5 months after treatment. Total numbers of B lymphocytes slowly recovered during the second year after the acute phase of disease, but the percentage of CD19+ cells remained below 3% of the total circulating lymphocyte level. The initial reduction in the B-lymphocyte count could be attributed to rituximab treatment.16 We note, however, that persistent B lymphocytopenia (CD19+ lymphocyte count of approximately 50 cells/mm3) was also present in patient 4, who did not receive rituximab (Figures 3 and 4), suggesting that the loss of SH2D1A expression negatively influences long-term B-cell differentiation and survival.
CD27 expression has been a useful marker for human memory B lymphocytes.17 As shown in Figure 5, several blood samples obtained from patient 9 and from patient 4 could be analyzed for the expression of CD27 (Figure 5). Although the percentage of CD27+ cells within the CD19+ lymphocyte compartment ranged from 32% to 56% in healthy control subjects, it was below 21% for patient 9 (6%-21%) in 5 separate samples obtained 18 to 23 months after EBV infection. In 4 separate studies performed on patient 4, CD27+CD19+ B cells comprised less than 22% (10%-22%) of the total B-lymphocyte population, suggesting that these XLP patients experience selective reduction of the B-lymphocyte memory compartment.
Loss of CD19+ memory B lymphocytes in XLP patients. Dot plots correspond to individual flow cytometry studies of PBMC samples (from XLP patients 9 and 4 and from 1 healthy control subject, N) stained with anti-CD27 phycoerythrin (PE) and anti-CD19 fluorescein isothiocyanate (FITC) monoclonal antibodies. The percentage of memory CD19+ lymphocytes that expressed CD27 (CD27+CD19+/CD19+) was calculated for XLP patients 9 and 4 at different times. Shaded area in the graph corresponds to mean ± SEM of healthy control subjects performed simultaneously (n = 7).
Loss of CD19+ memory B lymphocytes in XLP patients. Dot plots correspond to individual flow cytometry studies of PBMC samples (from XLP patients 9 and 4 and from 1 healthy control subject, N) stained with anti-CD27 phycoerythrin (PE) and anti-CD19 fluorescein isothiocyanate (FITC) monoclonal antibodies. The percentage of memory CD19+ lymphocytes that expressed CD27 (CD27+CD19+/CD19+) was calculated for XLP patients 9 and 4 at different times. Shaded area in the graph corresponds to mean ± SEM of healthy control subjects performed simultaneously (n = 7).
Depletion of lymphocytes with memory TH2-like chemokine receptor expression and predominance of lymphocytes with TH1-like chemokine receptor expression in XLP patients 9 and 4
Because our results suggested a defect in the memory B-cell compartment, we also sought to determine whether memory T cells might be quantitatively abnormal. The expression of different chemokine receptors characterizes different subsets of memory T lymphocytes.18 Although the CCR4 receptor prevails in TH2 memory lymphocytes, CXCR3 is a good TH1 memory lymphocyte marker.
These chemokine receptors could be studied in patient 9 between 18 and 23 months after EBV infection and in patient 4 at 35 years after diagnosis and treatment of lymphoma. As expected from previous studies showing the predominance of TH1 cytokines, T cell counts expressing a TH1 phenotype (CXCR3+ T lymphocytes) were higher than normal in both patients. In contrast, cell counts with a TH2 phenotype (CCR4+ both XLP patients (Figure 6).
Chemokine receptor expression in CD4 T lymphocytes from XLP patients. (A) Mean ± SEM of the percentage of CXCR3+ or CCR4+ T lymphocytes within the CD4+ subpopulation (memory TH1 or memory TH2 lymphocytes, respectively) in 3 PBMC samples from XLP patients 9 and 4 obtained between November 2002 and April 2003. Shaded area in the graph corresponds to mean ± SEM of healthy control subjects performed simultaneously (n = 7). (B) An example of cytometric analysis (lymphocyte gate) of a healthy control and patient no. 9.
Chemokine receptor expression in CD4 T lymphocytes from XLP patients. (A) Mean ± SEM of the percentage of CXCR3+ or CCR4+ T lymphocytes within the CD4+ subpopulation (memory TH1 or memory TH2 lymphocytes, respectively) in 3 PBMC samples from XLP patients 9 and 4 obtained between November 2002 and April 2003. Shaded area in the graph corresponds to mean ± SEM of healthy control subjects performed simultaneously (n = 7). (B) An example of cytometric analysis (lymphocyte gate) of a healthy control and patient no. 9.
Discussion
T lymphocytes) were low in Reports of acute EBV infection in asymptomatic XLP patients are scarce because of the rarity of this disease and the severity of infectious mononucleosis. Descriptions of the acquired immune abnormalities after EBV, however, are relevant to our understanding of the role played by SH2D1A during the immediate and long-term host immune response elicited by this virus. Moreover, more careful immunologic investigations of EBV-infected and uninfected XLP patients will clarify how the absence of functional SH2D1A contributes to the various phenotypic manifestations associated with this disease.
Although clinically healthy, patient 9 was known to carry a diagnosis of XLP since 1991. As prophylaxis against primary EBV infection, he received monthly infusions of intravenous γ-globulin. It is possible that this treatment provided some protection against primary EBV or other viral infections; however, consistent with previous reports,19 this patient eventually contracted acute infectious mononucleosis. In addition, 5 months after EBV infection, hypogammaglobulinemia developed. The pathogenesis underlying XLP-associated dysgammaglobulinemia and hypogammaglobulinemia remains unclear. Some reports suggest that it is directly related to EBV infection, and others indicate that it develops in patients who have not yet contracted EBV.3 We offer data that support a direct role of EBV, or possibly other viral infections, during the development of hypogammaglobulinemia. Specifically, we have monitored the serum immunoglobulin concentrations of patient 9 for years and have detected progressive alterations only after the development of infectious mononucleosis. We note that patient 9 was treated with rituximab, a humanized anti-CD20 monoclonal antibody known to induce severe but reversible B-cell depletion and to negatively influence humoral immune responses to recall antigens.20 This medication was administered during the acute phase of mononucleosis to rapidly eliminate EBV-infected B cells and thereby prevent the severe hemophagocytic syndrome that accompanies acute EBV infection in XLP patients. It can be speculated that transient hypogammaglobulinemia and B-cell depletion resulted from this treatment. However, the long duration of immunoglobulin depletion is atypical for patients who received rituximab therapy,16,20 particularly in light of the small but consistent recovery in peripheral B-cell numbers that occurred more than 15 months after the administration of rituximab. Moreover, the circulating B-cell number of patient 9 is similar to that found in his affected brother, who did not receive rituximab treatment, again arguing that long-term alterations in B-cell number and antibody production are the result of SH2D1A deficiency and not of rituximab therapy.
To understand better the mechanisms underlying the hypogammaglobulinemia that developed in patients 4 and 9, we performed an immunophenotypic analysis of peripheral blood B cells. Interestingly, we found that the proportion of CD27+CD19+ memory B cells21 was low in both patients. CD27 is a marker of cells that have encountered antigen and develop into memory B cells after appropriate costimulation at the germinal center (GC).17 The reduced percentage of CD27+CD19+ in XLP patients suggests that GC reactions are disturbed in this disease. This possibility is supported by previous observations indicating deficiencies in isotype class switching in certain XLP patients.22 Consistent with our observations in humans, recent studies using knockout mice11 have shown that SAP is required for the generation of normal GCs and antigen-specific, long-term B-cell memory.23,24 Although the mechanisms by which SAP regulates B-cell survival and function are not well understood, others have suggested that TH1 skewing leading to dysregulated cytokine production might contribute to a reduced humoral immune response.24 Interestingly, adoptive transfer experiments have revealed that the defective B-cell responses observed in Sap–/–mice can be rescued by wild-type (WT) CD4+ T cells, suggesting that in XLP, humoral immune defects may be caused by defects within the CD4+ T-cell compartment.23 In agreement with this possibility, we find that the chemokine receptor profile of CD4+ T cells from patients 9 and 4 is consistent with a predominantly memory TH1 phenotype. As shown in Figure 6, the number of CCR4+ T lymphocytes (a phenotype characterizing memory TH2 cells) was low in both patients, whereas CXCR3-expressing (TH1-like) CD4+ T lymphocyte numbers were elevated. Although we did not perform studies on the ability of these cells to secrete TH1 orTH2 cytokines, it has previously been shown that the release of TH1 cytokines such as interferon-γ (IFN-γ) or inflammatory cytokines such as tumor necrosis factor-α (TNF-α) is increased in XLP PBMCs25 and in lymphocytes from Sap–/–mice.26,27 Based on these observations, we speculate that in affected XLP patients, the failure of T cells to provide B-cell help, in combination with a dysregulated production of TH1 cytokines, leads to the progressive loss of immunoglobulin production. It also remains possible that alternative defects in B-cell survival, or ongoing B-cell destruction, could negatively influence the recovery of B cells that occurs after having received rituximab (as in patient 9) or cytotoxic chemotherapy (as in patient 4).
Surprisingly, we noted that patients 4 and 9 demonstrated elevated EBV loads well after initial recovery from acute EBV infection. Despite this finding, neither patient had evidence of lymphoproliferative disease or lymphoma. Although we do not know the explanation this finding, there are several interesting possibilities. First, it is possible that an ongoing destructive process affects resting EBV-infected memory B cells.28 If this destructive process were the result of direct cytopathic effects from an ongoing low-grade, lytic EBV infection, one might anticipate finding depleted numbers of memory B cells, reduced immunoglobulin levels, and elevated viral loads. This scenario would suggest that despite an elevation in circulating CD8+ T cells, XLP patients are not capable of adequately controlling lytic viral infection. Alternatively, it is possible that the observed increase in viral load could be the result of the destruction of EBV-infected cells by a competent cellular immune response. Additional experiments investigating the cytotoxic activity of XLP T and NK cells against autologous EBV-infected B cells may help determine the validity of these possibilities. Last, it is possible that the elevated EBV viral load observed in our 2 patients heralded the development of EBV-associated lymphoproliferative disease often seen in recipients of transplanted bone marrow or solid organ.29 If this is the case, it is unclear why these 2 XLP patients have been able to survive for so many years with high EBV loads without progressing to lymphoma, as do other immunocompromised patients.
Prepublished online as Blood First Edition Paper, November 6, 2003; DOI 10.1182/blood-2003-07-2525.
Supported by grants from Fundacion Rene Baron, Fundacion A.J. Roemmers, Ministry of Health, Secretaria di Ciencia y Tecnologia (SECyT), and Consejo Nacional de Investigaciones Científicas y Técnicas (CONICET), Argentina.
The publication costs of this article were defrayed in part by page charge payment. Therefore, and solely to indicate this fact, this article is hereby marked “advertisement” in accordance with 18 U.S.C. section 1734.
We thank Drs N. Riera and N. Galassi for helpful suggestions regarding flow cytometry. We also thank XLP patients 9 and 4, who responded generously to our requests for cooperation.
I.M. and C.P. are PhD candidates at the School of Dentistry, University of Buenos Aires, Argentina (I.M.) and the School of Biochemistry, University of Córdoba, Argentina (C.P.).






This feature is available to Subscribers Only
Sign In or Create an Account Close Modal