Abstract
von Willebrand factor–cleaving protease (ADAMTS13) cleaves von Willebrand factor (VWF) and regulates its physiologic function. To investigate the relation between ADAMTS13 activity and VWF, we compared ADAMTS13 activity with the VWF-related parameters VWF antigen (VWF:Ag), VWF collagen-binding activity (VWF:CBA), VWF-propeptide, proVWF, and VWF multimeric composition in 10 healthy volunteers and 3 patients with type 1 von Willebrand disease before and after infusing 0.3 μg/kg desmopressin. The VWF-related parameters in the volunteers increased 60 minutes after start of infusion by 3.7-fold for VWF:Ag, 7.2-fold for propeptide, and 2.2-fold for VWF:CBA. Unusually large VWF multimers and traces of proVWF appeared. The ADAMTS13 activity decreased to about half the initial value. After 24 hours values returned to baseline. Patients with type 1 von Willebrand disease showed similar results. We conclude that the inverse correlation between ADAMTS13 and VWF-related parameters suggests a consumption of ADAMTS13 after the desmopressin-induced release of higher multimers of VWF.
Introduction
The blood glycoprotein von Willebrand factor (VWF) mediates the adhesion of platelets to the subendothelium of damaged blood vessels. Circulating mature VWF is a multimeric protein with a molecular mass ranging from 450 kDa to more than 20 000 kDa.1,2 A deficiency or functional abnormality of VWF multimers is associated with bleeding,3 whereas increased concentrations of large and the presence of unusually large VWF multimers, as in thrombotic thrombocytopenic purpura, cause excessive platelet aggregation.4
The VWF-cleaving protease, a metalloprotease of the ADAMTS family, (ADAMTS13)5 is important for maintaining the normal size distribution of VWF multimers. In the absence or functional inactivation of ADAMTS13, unusually large VWF multimers accumulate and can induce platelet aggregation, thrombosis, and thrombocytopenia under high fluid shear rates.6 Reduced ADAMTS13 activity has been reported in thrombotic thrombocytopenic purpura and metastasizing malignancies,7 liver disease, or after surgery,8 but little is known about the physiologic regulation of ADAMTS13.
Infusion of the vasopressin analog desmopressin (DDAVP) induces the release of unusually large VWF multimers, increasing the plasma concentrations of VWF and coagulation factor VIII. Thus, desmopressin is used as a first-line therapy in patients with type 1 von Willebrand disease and mild hemophilia A.9 Desmopressin improves congenital or acquired platelet dysfunction as found in uremia, liver cirrhosis, and drug-induced bleeding associated with heparin, hirudin, dextrane, aspirin, or ticlopidine.9
To study the regulation of ADAMTS13 after a short-term increase in VWF concentrations, we measured ADAMTS13 and VWF-related parameters in 10 healthy volunteers and 3 patients with type 1 von Willebrand disease before and after infusion of desmopressin.
Study design
Participating in the study, which was approved by the ethics committee of Vienna University, were 10 healthy volunteers (7 men and 3 women; median age, 29.5 years) and 3 female patients with type 1 von Willebrand disease (mean age, 49.6 years). All participants gave their written informed consent.
Each participant received an infusion of desmopressin (Octostim; Aventis AG, Vienna, Austria) (0.3 μg/kg body weight in 50 mL saline over 30 minutes). Blood was collected before and 1, 2, 6, and 24 hours after the start of infusion. VWF antigen (VWF:Ag), VWF-propeptide, proVWF, collagen-binding activity (VWF:CBA), and the multimeric composition of VWF were determined as described elsewhere.10-12 ADAMTS13 activity was measured according to Gerritsen et al,13 modified by using a purified recombinant VWF (Baxter BioScience, Vienna, Austria)14 as substrate, and a different enzyme-linked immunosorbent assay plate (Exiqon, Vedbaek, Denmark) to measure residual VWF:CBA.15 All samples were tested at dilutions from 1:10 to 1:40, and the mean values were calculated. Statistica statistical software package (StatSoft, Tulsa, OK) was used for statistical analysis. All groups of data were normally distributed as tested with the Kolmogorov-Smirnov test. The results are presented as means ± standard error of the mean (SEM). Paired Studentt test was used to compare values, and Pearson correlation to calculate relations between variables. Pvalues < .05 were considered statistically significant.
Results and discussion
In the healthy volunteers, 1 hour after start of infusion of 0.3 μg/kg desmopressin, VWF:Ag increased 3.7-fold from 0.91 ± 0.10 (mean ± SEM) to 3.34 ± 0.22 U/mL (P < .0001) (Figure 1). This increase was maintained for more than 6 hours and returned to baseline within 24 hours. In parallel, VWF propeptide increased from 4.47 ± 0.3 to 32.12 ± 1.92 nM (P < .0001) and returned to baseline values within 24 hours. Furthermore, traces of proVWF were detected (0.22 ± 0.04 nM), suggesting that unprocessed VWF also is liberated. VWF:CBA increased from 0.82 ± 0.11 to 1.77 ± 0.13 U/mL (P < .0001) and returned to baseline values within 24 hours of infusion. A transient appearance of unusually large VWF multimers was observed 1 and 2 hours after the start of desmopressin infusion (Figure 1). These findings accord with the literature9,16 17 and suggest that desmopressin induces the release of unusually large VWF multimers from endothelial cells.
Effects of desmopressin (DDAVP) on von Willebrand factor antigen levels (VWF:Ag), VWF-cleaving protease activity (ADAMTS13), VWF propeptide (VWF:pp), VWF collagen-binding activity (VWF:CBA), and VWF multimers pattern (VWF:MM).
Healthy volunteers (n = 10) received 0.3 μg/kg DDAVP over 30 minutes. VWF:Ag is indicated by ●; ADAMTS13, ○; VWF:CBA, ▴; and VWF:pp, ▵. Data are presented as means ± standard errors of mean. Presence of unusually large (UL) VWF:MM is indicated by +; absence of UL VWF:MM, −.
Effects of desmopressin (DDAVP) on von Willebrand factor antigen levels (VWF:Ag), VWF-cleaving protease activity (ADAMTS13), VWF propeptide (VWF:pp), VWF collagen-binding activity (VWF:CBA), and VWF multimers pattern (VWF:MM).
Healthy volunteers (n = 10) received 0.3 μg/kg DDAVP over 30 minutes. VWF:Ag is indicated by ●; ADAMTS13, ○; VWF:CBA, ▴; and VWF:pp, ▵. Data are presented as means ± standard errors of mean. Presence of unusually large (UL) VWF:MM is indicated by +; absence of UL VWF:MM, −.
The activity of ADAMTS13 decreased significantly from 1.38 ± 0.2 to 0.66 ± 0.08 U/mL after the infusion of desmopressin (P = .004). It remained reduced for at least 6 hours, returning to baseline values after 24 hours (Figure 1).
Correlation analysis found significant inverse correlations between ADAMTS13 and VWF:CBA, VWF:Ag, and VWF-propeptide before (R = −0.63, P = .03;R = −0.67, P = .02; R = −0.56,P = .05) and 1 hour after start of desmopressin infusion (R = −0.66, P = .02;R = −0.53, P = .05; R = −0.34,P = .17).
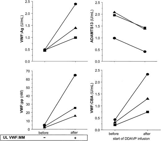
In the 3 patients with type 1 von Willebrand disease, the desmopressin infusion induced an increase of VWF:Ag from 0.47 to 1.59 U/mL, VWF:CBA from 0.32 to 1.46 U/mL, and VWF propeptide from 3.44 to 35.38 nM (mean values). With the exception of the lower baseline values, the time course was similar to that in the healthy subjects. Unusually large VWF multimers appeared 1 hour after the start of infusion, and traces of proVWF (0.17 and 0.26 nM) were detected in 2 of the 3 patients. Mean activity of ADAMTS13 decreased from 1.68 U/mL to 1.08 U/mL after infusion of desmopressin (Figure2).
Effects of desmopressin on von Willebrand factor antigen levels (VWF:Ag), VWF cleaving-protease activity (ADAMTS13), VWF propeptide (VWF:pp), VWF collagen-binding (VWF:CBA), and VWF multimer pattern (VWF:MM) in 3 patients with type 1 von Willebrand disease.
All patients received DDAVP (0.3 μg/kg) over 30 minutes intravenously. Symbols show data of all 3 patients with von Willebrand disease: patient 1, ●; patient 2, ▪; patient 3, ▴. Presence of unusually large (UL) VWF:MM is indicated by +; absence of UL VWF:MM, −.
Effects of desmopressin on von Willebrand factor antigen levels (VWF:Ag), VWF cleaving-protease activity (ADAMTS13), VWF propeptide (VWF:pp), VWF collagen-binding (VWF:CBA), and VWF multimer pattern (VWF:MM) in 3 patients with type 1 von Willebrand disease.
All patients received DDAVP (0.3 μg/kg) over 30 minutes intravenously. Symbols show data of all 3 patients with von Willebrand disease: patient 1, ●; patient 2, ▪; patient 3, ▴. Presence of unusually large (UL) VWF:MM is indicated by +; absence of UL VWF:MM, −.
The inverse correlations between ADAMTS13 activity and the VWF-related parameters in the healthy volunteers are in agreement with the observations of Mannucci et al,8 who found similar correlations between ADAMTS13 and VWF:Ag or VWF:CBA. In contrast, our results differ considerably from the findings of Mannucci et al of unchanged protease values after infusion of desmopressin.8The discrepant data can be explained by differences in the assays used for the determination of ADAMTS13 activity. We used a purified recombinant VWF preparation14 with a defined multimer number of 10-12 as substrate, whereas Mannucci et al8 used normal plasma for the source of VWF, which possibly has a higher multimer number (> 20), and the collagen-binding assay applied15 seems to be more sensitive within that multimer range. A comparison of our assay and the original assay of Gerritsen et al13 showed a more accurate standard curve in the lower range of ADAMTS13 activity when using our recombinant VWF as substrate (data not shown). To exclude the possibility that the high endogenous VWF level might interfere with the assay and that the observed decreased ADAMTS13 activity might be an artifact, all plasma samples were measured in different dilutions.
Our results also are supported by findings of lower activity of ADAMTS13 during acute-phase reactions, such as metastasizing malignancies, liver disease, or after surgery known to be associated with high concentrations of VWF.7,8 One explanation for the drop of ADAMTS13 activity after desmopressin infusion may be that unusually large VWF multimers, once released into the plasma, are immediately cleaved by ADAMTS13 in order to dispose these more platelet-adhesive and agglutinating forms of VWF. We cannot say from our data whether ADAMTS13 activity is thereby exhausted by the excess of substrate or it is consumed and eliminated from plasma. However, this phenomenon would explain the inverse correlations between the protease and its substrate and solve the questions raised in Mannuccis's paper.8 (p2734) The existence of a strong inverse correlation possibly due to some interactions between the 2 proteins is further supported by the observed high ADAMTS13 levels in 2 of the 3 patients with type 1 von Willebrand disease before treatment.
In conclusion, our data confirm that desmopressin induces the release of VWF from endothelial cell storage pools, some of it as unusually large multimers, together with some unprocessed proVWF. Simultaneously, the activity of ADAMTS13 dropped significantly, suggesting a direct interaction between the protease and its substrate at the time of a short-term increase of VWF.
We are grateful for the technical assistance of Brigitte Keil, Jutta Schreiner, Ingrid Neunteufl, and Sylvia Peyrer-Heimstätt (Baxter BioScience, Vienna, Austria), and the editorial assistance of Elise Langdon-Neuner.
Prepublished online as Blood First Edition Paper, September 19, 2002; DOI 10.1182/blood-2002-03-0814.
Supported in part by a grant from the Medizinisch Wissenschaftlicher Fonds des Bürgermeisters der Stadt Wien.
The publication costs of this article were defrayed in part by page charge payment. Therefore, and solely to indicate this fact, this article is hereby marked “advertisement” in accordance with 18 U.S.C. section 1734.
References
Author notes
Paul Knöbl, Department of Medicine 1, University of Vienna, Währinger Gürtel 18-20, A-1090 Vienna, Austria; e-mail:paul.knoebl@akh-wien.ac.at.


This feature is available to Subscribers Only
Sign In or Create an Account Close Modal