To the Editor:
Recent progress in the treatment of AIDS, specifically protease inhibitor combination antiretroviral therapy, has delayed disease progression, improved immune function, and reduced mortality.1 2 These advances prompted us to undertake liver transplantation in a 38-year-old man with moderate hemophilia A, FVIII: C = 0.03 U/mL, HIV infection since 1985, AIDS with a CD4 160/μL, and hepatitis C (HCV) end-stage liver disease. Antiretroviral therapy with lamivudine and stavudine was begun in January 1997, when the CD4 lymphocyte count was 160/μL and HIV RNA polymerase chain reaction (PCR) was 12.0 × 103 copies/mL, and nelfinavir was added 3 months later, when the HIV RNA PCR was 4.8 × 103 copies/mL. Esophageal variceal bleeding in April 1997 and progressive jaundice and hepatic encephalopathy led to transplantation in September 1997.
Laboratory studies revealed ammonia (NH3) 90 μmol/L (normal [nl] range, 9 to 33), platelets 89,000/μL, alanine transaminase 77 IU/L (nl < 40), aspartate transaminase 103 IU/L (nl < 40), bilirubin 4.1 mg/dL (nl, 0.3 to 1.3 mg/dL), and protime (PT) 19.9 seconds. An ultrasound confirmed ascites, splenomegaly, and a small liver, and computerized tomographic (CT) scanning confirmed cirrhosis and portal hypertension. He was anergic, with no response to PPD, mumps, or tricophyton. The anti-HBs, anti-HBc, anti-HCV, anti-HAV, and EBV VCA IgG were positive, and the HBsAg, CMV IgG, EBV ENA, EA, and VCA IgM were negative. The HCV RNA PCR was 128 × 105 Eq/mL. The CD4 lymphocyte count was 156/μL (17%) and the HIV RNA PCR less than 0.4 × 103 copies/mL.
Liver transplantation was performed by standard piggyback placement.3 The donor was positive for CMV IgG and negative for antibodies to HIV 1 and 2, HTLV-1, and HIV antigen, HBsAg, anti-HBc, and anti-HCV. A total of 29 U of packed red cells, 34 U of fresh frozen plasma, 12 U of platelets, and 15,900 U of recombinant factor were infused during the 9-hour procedure. No factor VIII was required after 7 hours. The recipient liver showed pathologic evidence of micronodular cirrhosis and excess iron.
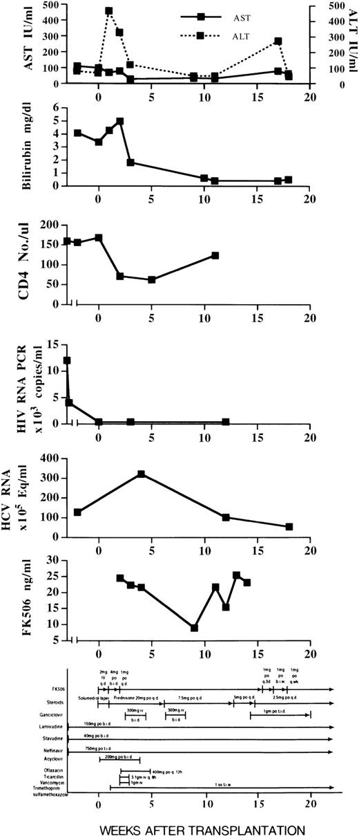
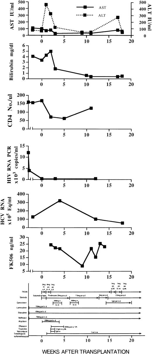
Postoperative medications included antirejection therapy with tacrolimus (FK506) and prednisone, antiretroviral drugs, including nelfinavir, lamivudine, and stavudine, and prophylactic trimethoprim-sulfamethoxazole and acyclovir. The clinical course was complicated by mild respiratory insufficiency from volume overload, an abdominal incisional wound infection responsive to antibiotics, and a petit mal seizure from high FK506 plasma levels, resulting from nelfinavir inhibition of cytochrome P450 3A and resolved when FK506 dosing was reduced to once weekly. Transient CMV antigenemia (pp65+) responded to intravenous oral ganciclovir, with subsequent CMV IgG seroconversion (Fig1). The HIV viral load is persistently negative, and the CD4 was 256/μL by day 210.
Clinical course following transplantation. Liver function, HIV and HCV viral load, and antiviral treatment before and during the first 20 weeks after liver transplantation.
Clinical course following transplantation. Liver function, HIV and HCV viral load, and antiviral treatment before and during the first 20 weeks after liver transplantation.
Although AIDS has been an absolute contraindication to transplantation,4 the better outcome of our patient than past recipients5 suggests transplantation may be safe in AIDS patients receiving highly active antretroviral therapy. Given the potential clinical scenarios, eg, past opportunistic infections, persistently detectable HIV viral load, antiretroviral therapy intolerance due to liver dysfunction, and an unknown durability of immunologic recovery, it is critical to begin prospective clinical trials to determine the safety and efficacy of transplantation in AIDS and end-stage liver disease.
