Introduction: Belantamab mafodotin (belamaf), an investigational first-in-class B-cell maturation antigen-binding antibody-drug conjugate, has demonstrated deep and durable responses as a monotherapy in patients with relapsed/refractory multiple myeloma (RRMM) in the DREAMM-2 and DREAMM-3 trials. Two randomized controlled trials (RCTs) exploring the use of belamaf in combination therapy are ongoing in patients with RRMM treated with at least 1 prior line of therapy (2L+). DREAMM-7 is evaluating the efficacy and safety of belamaf in combination with bortezomib and dexamethasone versus daratumumab in combination with bortezomib and dexamethasone. DREAMM-8 is evaluating the efficacy and safety of belamaf in combination with pomalidomide and dexamethasone versus pomalidomide in combination with bortezomib and dexamethasone. The present study aimed to provide real-world context for DREAMM-7 and DREAMM-8 trial results by reporting treatment outcomes of Medicare Fee-for-Service (FFS) patients with characteristics that meet the inclusion/exclusion criteria for each trial.
Methods: A retrospective database analysis was conducted to develop trial-like cohorts (one per trial) using the 100% sample from Medicare FFS administrative claims data spanning 2016-2020. Inclusion/exclusion criteria from each RCT protocol included the presence of an MM diagnosis (based on an ICD-9-CM or ICD-10-CM diagnosis code for MM), ≥1 prior line of therapy (prior lenalidomide treatment required for the DREAMM-8 cohort), and other exclusion criteria related to renal, liver, and cardiovascular function. These criteria were used to identify patients in the Medicare FFS database who would be eligible for trial enrollment. Both RCT protocols restricted the overall study populations to ≤50% of patients with at least 2 prior lines of therapy (3L+). Accordingly, random sampling without replacement was applied across eligible Medicare patient lines of therapy to generate cohorts composed of 50% 2L RRMM patients and 50% 3L+ RRMM patients. Index date was the date the randomized line of therapy was initiated. Overall survival (OS) for each cohort was estimated using time from index date until death. Real-world progression-free survival (rwPFS) for each cohort was estimated as the time from index date until next treatment or death.
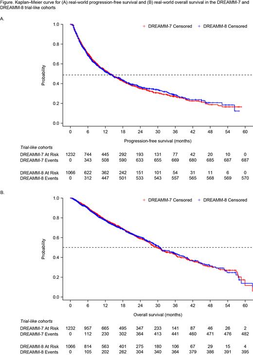
Results: Overall, 1,911 and 1,280 patients met the DREAMM-7 and DREAMM-8 eligibility criteria, respectively. Following random sampling, the analysis cohorts were composed of 1,232 patients (DREAMM-7) and 1,066 patients (DREAMM-8). For the DREAMM-7 trial-like cohort, median rwPFS was 13.6 months and median OS was 29.6 months(Figure). The most commonly used regimens in this cohort were lenalidomide +/- steroids (21.3%), bortezomib +/- steroids (14.4%), and bortezomib + lenalidomide +/- steroids (8.9%). In the DREAMM-8 trial-like cohort, median rwPFS was 13.2 months and median OS was 30.8 months (Figure). In this cohort, the most common regimens were lenalidomide +/- steroids (21.1%), bortezomib +/- steroids (12.9%), and pomalidomide +/- steroids (8.3%). Over a third of patients in the DREAMM-8 trial-like cohort were retreated with lenalidomide.
Conclusions: Real-world outcomes of Medicare FFS patients with RRMM eligible for DREAMM-7 and DREAMM-8 were suboptimal: 57% and 56% died within 3 years of entry into their trial-like cohort, respectively, and median rwPFS was around 1 year for both cohorts. Lenalidomide +/- steroids and bortezomib +/- steroids were most commonly used in each cohort. Retreatment with lenalidomide was common in the DREAMM-8 trial-like cohort. These suboptimal outcomes and frequent retreatment demonstrate a substantial need for new effective treatment modalities to improve patient outcomes and provide further treatment choice in the 2L+ RRMM setting.
Funding: GSK (Study 209838). Drug linker technology licensed from Seagen Inc.; monoclonal antibody produced using POTELLIGENT Technology licensed from BioWa.
Disclosures
McNamara:GSK: Current Employment, Current holder of stock options in a privately-held company. Boytsov:GSK: Current Employment, Current holder of stock options in a privately-held company. Wang:GSK: Current Employment, Current holder of stock options in a privately-held company. Hanna:GSK: Current Employment, Current holder of stock options in a privately-held company. Franco:GSK: Consultancy; Inovalon: Current Employment. Lewing:Inovalon: Current Employment; GSK: Consultancy. Kelly:GSK: Consultancy; Inovalon: Current Employment. Tkacz:Inovalon: Current Employment; GSK: Consultancy.
