Exploration of the Appropriate NT-proBNP Level for AL Amyloidosis Staging

Hana Kim, MD 1, Darae Kim, MD, PhD 2, Jin-Oh Choi, MD, PhD 2, Eun-Seok Jeon, MD, PhD 2, Jung Eun Lee, MD, PhD 3, Ju-Hong Min, MD, PhD 4, Joon Young Choi, MD, PhD 5, Jung-Sun Kim, MD, PhD 6, Seok Jin Kim, MD, PhD 1, Kihyun Kim, MD, PhD 1

1Division of Hematology-Oncology, Department of Medicine, Samsung Medical Center, Sungkyunkwan University School of Medicine, Seoul, Korea

2Division of Cardiology, Department of Medicine, Heart Vascular Stroke Institute, Samsung Medical Center, Sungkyunkwan University School of Medicine, Seoul, Korea

3Division of Nephrology, Department of Medicine, Samsung Medical Center, Sungkyunkwan University School of Medicine, Seoul, Korea

4Department of Neurology, Samsung Medical Center, Sungkyunkwan University School of Medicine, Seoul, Korea

5Department of Nuclear Medicine, Samsung Medical Center, Sungkyunkwan University School of Medicine, Seoul, Korea

6Department of Pathology, Samsung Medical Center, Sungkyunkwan University School of Medicine, Seoul, Korea

The most important factor affecting prognosis of systemic light chain (AL) amyloidosis is severity of cardiac damage. For this reason, cardiac biomarkers are used in European 2015 and Mayo clinic 2012, two representative staging systems for AL amyloidosis. Since the NT-proBNP levels of the existing AL amyloidosis staging systems are different, we tried to find the appropriate NT-proBNP level in our 16-year AL amyloidosis patient cohort.

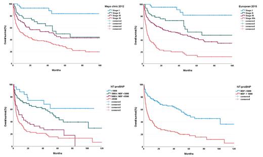
Newly diagnoded AL amylodosis patients between August 2004 and July 2020 were included in this study (n=401). Patients who did not have laboratory results for staging had been exclude (n=86). Among them, 86 patients of stage III and 145 patients of stage IV patients (according to Mayo clinic 2012 stage) were analyzed (n=231). Of the 231 stage III, IV patients, 25, 82, 47, and 77 patients were classified as a group of NT-proBNP ≤1800, 1800 < NT-proBNP ≤5000, 5000< NT-proBNP ≤8000, and NT-proBNP >8000 (ng/L), respectively. The characteristics and overall survival of each group were investigated through statistical analysis.

Age at diagnosis (p=0.016), ECOG (p=0.046), serum creatinine(p=0.001), and Estimated glomerular filtration rate (eGFR) (p=0.003) had statistically significant differences in the groups divided by the NT-proBNP criteria. With 54.4 months of median follow up, the overall survivals analyzed by Mayo clinic 2012 were stage I: not reached, stage II: 49.6 months, stage III: 46.8 months, and stage IV: 11.9months, respectively. As a result of European 2015 analysis, stage I: not reached, stage II: 65.9 months, stage IIIa: 41.4 months, stage IIIb: 4.3 months.)

In our analysis according to NT-proBNP (ng/L) in stage III and IV patients, the overall survival of NT-proBNP ≤1800 group has not yet been reached. The median OS of group 1,800<NT-proBNP ≤5000, 5000< NT-proBNP ≤8000, and NT-proBNP >8000 were 54.8 months, 11.9 months, and 4.5 months, respectively (p <0.001). The Kaplan-Meier's curve for OS had a clear difference at NT-proBNP 5000 value. On the basis of NT-proBNP, the OS of less than 5000 group was 62 months, and the OS of 5000 or more group was 5.9 months. In analysis of factors affecting the OS, statistically significant results were age at diagnosis (p = 0.018), ECOG (p = 0.002), and NT-proBNP 5000 ng/L or higher (p < 0.001). The dFLC included in the Mayo clinic 2012 was found to have a statistically insignificant on the overall survival (p=0.584).

Although disease stage is important in predicting the prognosis of AL amyloidosis, it was revealed that NT-proBNP is the most important factor in predicting survival prognosis. In this study we confirmed that AL amyloid patients with high NT-proBNP of >5000 ng/L may have particularly poor survival rate. When staging AL amyloidosis, it can be considered based on NT-proBNP 5000 ng/L level.

Disclosures

No relevant conflicts of interest to declare.

Sign in via your Institution