Introduction: Patients with Acute Myeloid Leukemia (AML) and positive Minimal Residual Disease (MRD) prior to allogeneic transplant are currently considered to be a group at high risk of relapse. Multiparameter flow cytometry is a standard technique to measure MRD, and generally we use a 0.1% threshold for positivity. The clinical significance of those patients with an MRD levels >0% but <0.1% is uncertain and it is recommended to define the prognosis of this subgroup.
Material and methods: We performed a single-center retrospective analysis of 88 patients transplanted between 2012 and 2020. All patients achieved complete remission (CR) with or without hemoperipheral recovery prior to allogeneic transplant. We have divided our cohort into three groups according to MRD state by flow cytometry: Group 1 patients with negative MRD, Group 2 patients with MRD level >0% but <0.1% and Group 3 patients with MRD ≥ 0.1%. The baseline characteristics of each group were compared using the Chi2 test. The survival analysis was performed through Kaplan-Meier method and the risk was calculated with Cox regression. The Overall Survival (OS) was defined as the time from transplantation to death and the Relapse-Free Survival (RFS) as the time from transplantation to either relapse or death. P<0.05 was defined as statistically significant difference.
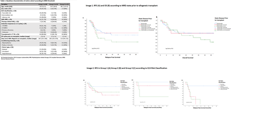
Results: The baseline characteristics of our cohort are reflected in Table 1. We did not find statistical significant differences except for the response to induction. The median follow-up of the entire cohort was 13.5 months (range 6-43.5). The 4-year RFS (4y-RFS) was 47% and the 4-year OS (4y-OS) 50%. The 4y-RFS was 52.5% in Group 1 vs 59% in Group 2 vs 30% in Group 3. The 4y-OS was 60% in Group 1 vs 60% in Group 2 vs 31% in Group 3 (Image 1). The Hazard Ratio (HR) for RFS and OS comparing Group 1 vs Group 2 was 0.9 [95% CI ((0.3-2.5)] and 1.1 [95% CI (0.4-3)] respectively. The HR for the RFS and OS comparing Group 1 vs 3 was 1.2 [95% CI (0.9-1.7)] and 1.2 [95% CI (0.8-1.6)]. We have stratified patients according to the European LeukemiaNet risk classification. In Group 1, the 4y-RFS was 79% in patients with Favorable Risk (FR) vs 55% in those with Intermediate Risk (IR) and 53% in patients with Adverse Risk (AR) [HR 1.2, 95% CI (0.6-2.3)] and the 4y-OS was 79% vs 54% vs 53% respectively [HR 1.3, 95% CI (0.6-2.5)]. In Group 2, the 4y-RFS was 100% in those with FR vs 83% in IR vs 33% in AR [HR 3.9, 95% CI (0.4-30)] and the 4y-OS was 100% vs 82% vs 36% respectively [HR 4, 95% CI (0.5-32%)]. In Group 3, the 4y-RFS in patients with FR was 82% vs 0% in IR vs 0% in AR [HR 2.1, 95% CI (1.1-4.1)] and the 4y-OS was 82% vs 0% vs 0% respectively [HR 1.6, 95% CI (0.8-3.3)] (Image 2).
Conclusions: In our cohort, positive MRD >0.1% prior to transplant identified a group with worse RFS and OS compared to those with negative MRD or positive MRD level >0% but <0.1%. Positive MRD >0.1% is especially relevant in the IR and AR groups of the European LeukemiaNet risk classification. In the AR subgroup even any detectable level of positive MRD could identify patients with unfavorable post-transplant OS and RFS outcomes. We must establish post-transplant strategies in these patients to improve survival.
Garcia-Gutiérrez:Pfizer: Consultancy, Other: Travel, Accommodation, Expenses, Research Funding; Incyte: Consultancy, Other: Travel, Accommodation, Expenses, Research Funding; Bristol-Myers Squibb: Consultancy, Other: Travel, Accommodation, Expenses, Research Funding; Novartis: Consultancy, Other: Travel, Accommodation, Expenses, Research Funding.
Author notes
Asterisk with author names denotes non-ASH members.

