Background
Venous thromboembolism (VTE) is a known complication in patients with acute myeloid leukemia (AML), acute lymphoid leukemia (ALL) and non-Hodgkin's lymphoma (NHL). However, the cumulative incidence, risk factors, rate of subsequent VTE and impact on mortality of upper extremity deep vein thrombosis (UE DVT) in these diseases is not well-described.
Methods
Using the California Cancer Registry, we identified patients with a first primary diagnosis of AML, ALL and NHL from 2005-2014 and linked these patients with the statewide hospitalization and emergency department databases to identify an incident UE DVT event using specific ICD-9-CM codes. Patients with VTE prior to or at the time of malignancy diagnosis or who were not treated with chemotherapy were excluded. We determined the cumulative incidence of first UE DVT, adjusted for the competing risk of death. We also examined the cumulative incidence of subsequent VTE (UE DVT, lower extremity deep vein thrombosis (LE DVT) and pulmonary embolism (PE)) and major bleeding after incident UE DVT.
Using Cox proportional hazards regression models, stratified by tumor type and adjusted for other prognostic covariates including sex, race/ethnicity, age at diagnosis, neighborhood, sociodemographic status and central venous catheter (CVC) placement, we identified risk factors for development of incident UE DVT, the effect of incident UE DVT on PE and/or LE DVT development, and impact of incident UE DVT on cancer specific survival. The association of CVC placement with incident UE DVT was not assessed in acute leukemia patients, as all who undergo treatment were assumed to have a CVC. Results are presented as adjusted hazard ratios (HR) and 95% confidence intervals (CI).
Results
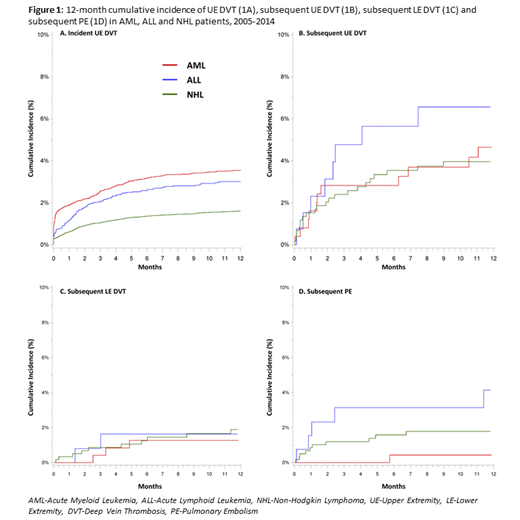
Among 37,282 patients included in this analysis, 6,213 had AML, 3,730 had ALL and 27,339 had NHL. The 3- and 12-month cumulative incidence of UE DVT was 2.6% and 3.6% for AML, 2.1% and 3% for ALL and 1.0% and 1.6% for NHL respectively (Figure 1A). Most (56-64%) incident UE DVT events occurred within the first 3 months of malignancy diagnosis. African Americans (HR 1.66; CI 1.22-2.28) and Hispanics (HR 1.35; CI 1.10-1.66) with NHL had an increased risk of incident UE DVT compared to non-Hispanics Whites. NHL patients with a CVC had over a 2-fold increased risk of incident UE DVT (HR 2.05; CI 1.68-2.51) compared to those without a CVC.
UE DVT was a risk factor for development of PE or LE DVT in ALL (HR 2.53; CI 1.29-4.95) and NHL (HR 1.63; CI 1.11-2.39) but not in AML. The 12-month cumulative incidence of subsequent VTE after an incident UE DVT diagnosis was 6.4% for AML, 12.0% for ALL and 7.6% for NHL. 46-58% of subsequent VTEs occurred within the first 3 months of incident UE DVT diagnosis. The majority of subsequent VTEs were UE DVT which had a 12-month cumulative incidence of 4.6% for AML, 6.6% for ALL and 4.0% for NHL (Figure 1B). The 12-month cumulative incidence of subsequent LE DVT was 1.3% for AML, 1.6% for ALL and 1.9% for NHL (Figure 1C). The 12-month cumulative incidence of subsequent PE was 0.4% for AML, 4.1% for ALL and 1.8% for NHL (Figure 1D).
The 12-month cumulative incidence of major bleeding after an UE DVT diagnosis was 29% for AML, 29% for ALL and 20% for NHL. Common major bleeding events included gastrointestinal (GI) bleeds, epistaxis and intracranial hemorrhage. GI bleeding was the most common major bleeding event among all three malignancies (14.2% in AML, 9.6% in ALL and 12.4% in NHL). The rate of intracranial hemorrhage was 6% in AML, 3.5% in ALL and 1.7% in NHL. A diagnosis of incident UE DVT was associated with an increased risk of cancer-specific mortality in all three malignancies (HR 1.38; CI 1.16-1.65 in AML, HR 2.16; CI 1.66-2.82 in ALL, HR 2.38; CI 2.06-2.75 in NHL).
Conclusions
UE DVT is an important complication among patients with AML, ALL and NHL, with the majority of UE DVT events occurring within the first 3 months of diagnosis. The most common VTE event after an index UE DVT was another UE DVT, although patients also had subsequent PE and LE DVT. UE DVT was a risk factor for development of PE or LE DVT in ALL and NHL, but not in AML. Major bleeding after an UE DVT was high in all three malignancies (>20%), with GI bleeds being the most common. UE DVT in patients with AML, ALL and NHL is associated with increased risk of mortality.
Wun:Janssen: Other: Steering committee; Pfizer: Other: Steering committee.
Author notes
Asterisk with author names denotes non-ASH members.
