Background: Non-Hodgkin's lymphoma (NHL) is a malignant hematological tumor that accounts for approximately 90% of lymphoma in China. About 2/3 of NHL patients can be treated or even cure, but still about one-third will die from refractory or relapsed disease, especially high-risk patients. In these cases, continued conventional chemotherapy will not benefit, and may even lead to significant chemo-related toxicity and reduce the quality of life. Allogeneic hematopoietic stem cell transplantation (allo-SCT) is an effective treatment for whom with chemoresistent, recurrence after autologous transplantation or without autologous transplantation indication. However, less than 30% of patients can find HLA-matched relative donors. hematopoietic stem cell transplantation (haplo-HSCT) enables more than 90% of patients to find suitable donors in the shortest time, bringing good news to patients without HLA-matched donors.Therefore, we compare the efficacy of haploidentical stem-cell transplantation (haplo-SCT) for patients with refractory relapsed(R/R) aggressive non-Hodgkin lymphoma (NHL) with those who contemporaneously receiving HLA-matched SCT in myeloablative conditioning settings.
Methods: One hundred and fifty-one patients who had undergone haplo-SCT (n=81) or HLA-matched SCT (n=70, sibling or unrelated) in our center between January 2006 and December2018 were enrolled. A median age at alloSCT was 30(5-59) years old. All patients received a myeloablative conditioning (MAC) consisting of total body irradiation (12 Gy) combined cyclophosphamide or busulphan plus cyclophosphamide,and followed by infusion of granulocyte-colony stimulating factor-primed bone marrow (G-BM) and/or peripheral blood stem cells without in vitro T cell depletion. In the case of haplo-SCT and HLA-matched unrelated donor for SCT, the GVHD prophylaxis consisted of antithymocyte globulin, cyclosporine A, mycophenolate mofetil and a short course of methotrexate. The clinical effect, hematopoietic reconstitution, and transplant-related complications were retrospective analyzed.
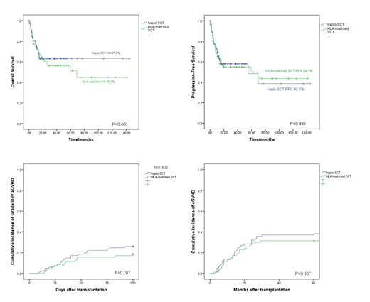
Results: One hundred and forty-five (96%) patients engrafted with a median time to neutrophil and platelet recovery of 12 and 15 days, respectively. At a median follow-up of 20 months, 66 of 151 patients were alive (43.7%) and 67 (44.4%) were dead (39 disease recurrence, 27 transplantation-related mortality (TRM)). Between the haplo-SCT and HLA-matched SCT group, the corresponding progress free survival (PFS) rate was 60.5% and 54.3% (P = .938), respectively; and overall survival (OS) rate were 67.9% and 55.7% (P = .460), respectively. The cumulative incidences of relapse (RI) were 36.6% and 37.7% (P = .836), and those of NRM were 20.0 % and 24.7% (P = .530), respectively. And cumulative incidences of chronic GVHD were 33.3% and 30.0%(P=.407), respectively. These data showed no difference in every major HSCT endpoint between two groups. Multivariate analysis suggested that occurrence of grade Ⅲ-Ⅳ aGVHD had a significant worse outcome, primary chemorefractory was the strongest factors for relapse.
Conclusion: The haplo-SCT group obtained the OS and PFS similar to HLA-matched SCT. And there is no higher incidence of GVHD observed in haplo group. Our results indicate that the outcomes of haplo-SCT are equivalent to HLA-matched SCT, and that MAC followed by haplo-SCT can be an acceptable and feasible alternative for patients with R/R NHL who having no access to a HLA-matched donor.
No relevant conflicts of interest to declare.
Author notes
Asterisk with author names denotes non-ASH members.
