Background
Primary plasma cell leukemia (pPCL) is a rare plasma cell neoplasm with a high mortality rate. There have been improvements in multiple myeloma (MM) outcomes with novel induction agents and use of hematopoietic cell transplantation (HCT) with maintenance, but similar progress has not been reported for pPCL. We examined the outcomes of pPCL patients receiving novel agents with autologous (autoHCT) or allogeneic (alloHCT) approaches as reported to the Center for International Blood and Marrow Transplant Research (CIBMTR) in the modern era.
Methods
From 2008 to 2015, 348 pPCL pts underwent HCT (N = 277 - autoHCT and 71 - alloHCT) with 45% and 48% having research level data available, respectively. Cumulative incidences of non-relapse mortality (NRM) and relapse/progression (REL), and probability of progression-free survival (PFS) and overall survival (OS) were calculated. Cox multivariate regression was used to model survival after autoHCT only. Median follow-up in autoHCT and alloHCT was 48 and 60 months, respectively.
Results
AutoHCT Cohort
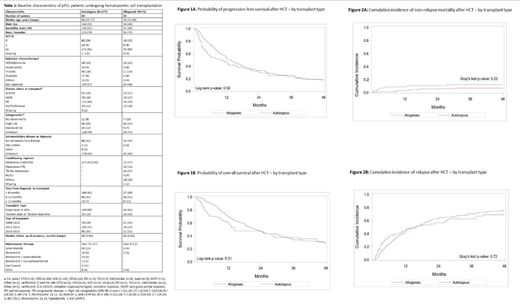
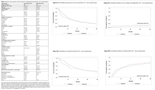
Median age was 60 years and 93% received HCT within 12 months of diagnosis with 76% after a single line of induction (Table 1). 35% had high risk cytogenetics. 23% received bortezomib, doxorubicin, cisplatin, cyclophosphamide, and etoposide (VDPACE). Moreover, 40% received bortezomib (BTZ) and immunomodulatory drug (IMIID)-based triplets. Disease status at HCT was VGPR or better in 47%. 27% received maintenance therapy. At 4 years post-HCT, NRM was 7% (4-11%), REL 76% (69-82%), PFS 17% (13-23%), and OS 28% (22-35%) (Figures 1A, 2A, 2B). Disease status ≥VGPR at HCT and Karnofsky Performance Score >90 significantly predicted superior OS in multivariate analysis.
AlloHCT Cohort
Median age was 53 years and 89% received HCT within 12 months of diagnosis (Table 1). 61% received a single alloHCT, while 39% used auto-alloHCT tandem approach. 42% had high-risk cytogenetics. 61% received total body irradiation with 44% receiving myeloablative conditioning. Use of VDPACE was higher at 41% in this cohort. VGPR status at HCT was similar (48%), while maintenance was used less often (12%). Grade II-IV acute GVHD occurred in 30% and chronic GVHD in 45%. At four years post-HCT, NRM was 12% (5-21%), REL 69% (56-81%), PFS 19% (10-31%), and OS 31% (19-44%) (Figures 1A, 1B, 2A, 2B).
There were no differences in outcomes based on type of HCT. A comparison of post-HCT outcomes of CIBMTR pPCL patients from 1995 to 2006 showed that PFS and OS outcomes are inferior despite lower NRM in this modern cohort (Mahindra et al. Leukemia. 2012). In addition, analysis of SEER (1995-2009) and CIBMTR databases showed that use of HCT increased from 12% (7-21%) in 1995 to 46% (34-64%) in 2009.
Conclusion
More newly diagnosed pPCL patients are receiving modern induction regimens translating into a higher proportion receiving HCT, but without significant further benefit post-HCT. Post-HCT relapse remains the biggest challenge and further survival in pPCL will likely need a combination of targeted and cell therapy approaches. This study provides a benchmark for future HCT studies for pPCL.
Girnius:Takeda: Membership on an entity's Board of Directors or advisory committees, Speakers Bureau; Genentech: Membership on an entity's Board of Directors or advisory committees; Celgene: Membership on an entity's Board of Directors or advisory committees, Speakers Bureau. Dhakal:Takeda: Membership on an entity's Board of Directors or advisory committees; Janssen: Membership on an entity's Board of Directors or advisory committees; Sanofi: Membership on an entity's Board of Directors or advisory committees; Amgen: Membership on an entity's Board of Directors or advisory committees, Research Funding; Celgene: Honoraria. Shah:University of California, San Francisco: Employment; Indapta Therapeutics: Equity Ownership; Genentech, Seattle Genetics, Oncopeptides, Karoypharm, Surface Oncology, Precision biosciences GSK, Nektar, Amgen, Indapta Therapeutics, Sanofi: Membership on an entity's Board of Directors or advisory committees; Celgene, Janssen, Bluebird Bio, Sutro Biopharma: Research Funding; Poseida: Research Funding; Bristol-Myers Squibb: Consultancy, Honoraria, Membership on an entity's Board of Directors or advisory committees; Amgen: Consultancy, Honoraria, Membership on an entity's Board of Directors or advisory committees; Nkarta: Consultancy, Membership on an entity's Board of Directors or advisory committees; Kite: Consultancy, Membership on an entity's Board of Directors or advisory committees; Teneobio: Consultancy, Membership on an entity's Board of Directors or advisory committees. Qazilbash:Amgen: Consultancy, Other: Advisory Board; Bioclinical: Consultancy; Autolus: Consultancy; Genzyme: Other: Speaker. Kumar:Celgene: Consultancy, Research Funding; Takeda: Research Funding; Janssen: Consultancy, Research Funding. D'Souza:EDO-Mundapharma, Merck, Prothena, Sanofi, TeneoBio: Research Funding; Prothena: Consultancy; Pfizer, Imbrium, Akcea: Membership on an entity's Board of Directors or advisory committees. Hari:BMS: Consultancy, Research Funding; Takeda: Consultancy, Honoraria, Research Funding; Celgene: Consultancy, Honoraria, Research Funding; Janssen: Consultancy, Honoraria; Kite: Consultancy, Honoraria; Amgen: Research Funding; Spectrum: Consultancy, Research Funding; Sanofi: Honoraria, Research Funding; Cell Vault: Equity Ownership; AbbVie: Consultancy, Honoraria.
Author notes
Asterisk with author names denotes non-ASH members.
