Abstract
Background: Close monitoring of renal function is recommended before and during treatment with the iron chelators deferasirox and deferoxamine (DFO), by assessment of serum creatinine (SCr) and estimated creatinine clearance. To identify patients at increased risk for acute kidney injury while on therapy, efforts are focused on protein biomarkers to predict changes in renal function before SCr increases and to understand the pathophysiology involved. Alpha-1 microglobulin (alpha1M), beta-2 microglobulin (beta2M), retinol-binding protein (RBP), and (urinary) cystatin C increases may reflect proximal tubular dysfunction. Changes in kidney injury molecule-1 (KIM-1), lipocalin-2 (also called NGAL), N-acetyl-beta-glucosaminidase (NAG), clusterin, osteopontin, and tissue inhibitor of metalloproteinase-1 (TIMP-1) may reflect localized pathological processes in the renal nephron. KIM-1 is upregulated dramatically upon epithelial injury and is specific for the proximal tubule. Urinary total protein, microalbumin, and immunoglobulin G (IgG) may reflect either glomerular or tubular injury. The current exploratory analysis assessed 19 renal protein biomarkers as early indicators for an increased risk of acute renal dysfunction in chelated, transfusion-dependent patients with β-thal or other anemias. Objectives were to explore: 1) changes in biomarker profiles over time; 2) correlations between baseline biomarker levels and changes in SCr during treatment; 3) the correlation of changes in biomarker levels with changes in SCr during treatment; 4) correlations between early biomarker changes during treatment with subsequent changes in serum creatinine.
Methods: Archived urine samples collected at baseline and every 3-6 months during two deferasirox clinical trials (comparative 1-year 107 study of β-thal patients randomized to deferasirox or DFO; non-comparative 2-year 108 study including β-thal or other anemia [MDS, DBA, rare anemias] patients, excluding SCD) were used. All patients enrolled were aged ≥2 years, received at least 8 blood transfusions/year, and had LIC ≥2 mg Fe/g dw. No patient had baseline SCr >upper limit normal. Patients at risk of acute renal dysfunction were defined as having SCr increased >33% from baseline on ≥2 consecutive visits during the trials. ROC curves were generated by treatment and by underlying disease to determine whether urinary renal markers at baseline (pre-treatment) or change from baseline could predict an increased risk of acute renal dysfunction.
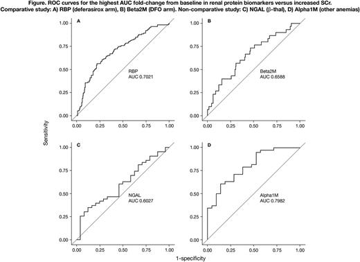
Results: 586 β-thal patient samples were assessed from the comparative trial (n=296 deferasirox, n=290 DFO) and 184 from the non-comparative trial (n=85 β-thal; n=99 other non-β-thal anemias [MDS, n=47; DBA, n=30; other rare anemias, n=22]). No significant progressive changes in any renal biomarkers were observed; including acute renal injury (KIM-1, NGAL) and inflammatory (clusterin, osteopontin) biomarkers. Biomarker levels at baseline showed little/no correlation with changes in SCr. Area under the ROC curve (AUC) values were 0.45-0.60, suggesting limited predictive value for urinary renal biomarkers at baseline (pre-treatment) to predict an increased risk of acute renal dysfunction (1.0 = a perfect test, 0.5 = no better than a random test). Weak, though consistent positive correlations were identified between logged fold-change from baseline for biomarkers of renal protein reabsorption and glomerular filtration (alpha1M, beta2M, RBP, microalbumin, total protein, IgG) versus relative change in SCr from baseline over time (r=0.1-0.3) across patient groups. Better associations were identified in non-β-thal patients. Confirmed increase in SCr had the most association with RBP (Fig 1A) and beta2M (Fig 1B) in deferasirox- and DFO-treated patients, respectively. In the non-comparative trial, AUC values were 0.4-0.6 for β-thal patients; most association with NGAL (Fig 1C). In patients with other anemias, nine renal biomarkers had AUCs >0.6; most association with alpha1M (Fig 1D).
Conclusions: Without definitive associations with SCr, findings do not support the clinical utility of any of the 19 renal protein biomarkers assessed for monitoring kidney function. The absence of progressive renal biomarker changes at the population level indicates that chelation therapy with deferasirox or DFO did not lead to acute/chronic or progressive renal dysfunction in these studies.
Cappellini: Vifor: Honoraria; Celgene: Honoraria; Sanofi-Genzyme: Honoraria, Research Funding, Speakers Bureau; Novartis: Speakers Bureau. Quebe-Fehling: Novartis: Employment. Dieterle: Novartis: Employment. Porter: Bluebird Bio: Consultancy; Agios Pharmaceuticals: Consultancy, Honoraria; Shire: Consultancy, Honoraria; Novartis: Consultancy, Honoraria, Research Funding; Celegene: Consultancy.
Author notes
Asterisk with author names denotes non-ASH members.
